-
开放科学(资源服务)标识码(OSID):

-
眼球运动主要分为平滑追踪(追随)、快速眼跳(扫视)和注视3种类型[1]。在网球这项高速、高对抗性的运动中,运动员需要迅速从对手的站位、引拍、挥拍击球等一系列复杂动作中准确追踪网球的运动轨迹并做出反应,以便更好地控制球的方向和速度,实现对来球方向、速度、落点及弹跳等要素的精准预判[2-3],从而在比赛中取得优势。这一过程高度依赖于运动员的视觉搜索效率和眼球运动轨迹的精确性[4]。然而,传统的人工观察或机械记录法不仅耗时费力,且难以实时、准确地捕捉运动员在比赛中的眼球运动细节。
为实现高效、准确的眼球运动轨迹捕捉,诸多学者展开了分析。例如,研究多人情景下眼球视觉搜索特征的捕捉方法,通过采集目标人物眼睛图像,使用通光孔—角膜反射法计算眼球角膜外表面的普尔钦斑,并依据亮光点与瞳孔中心的向量关系估算眼球运动轨迹[5]。但在多人情况下光线环境存在差异,该方法的眼球运动轨迹捕捉精度欠佳。在眼动追踪技术研究方面,前期学者通过采集引航作业人员眼动数据,计算眼动范围、扫描时间和平均注视时间等参数,获得眼球运动轨迹捕捉结果[6]。然而,追踪过程中眼球存在微颤和漂移现象,使得捕捉到的轨迹不平滑不连续,影响准确性。为了探讨以用户视线为线索的眼动追踪方法,研究人员通过采集用户眼动数据,使用逻辑回归模型进行预测,得到眼球运动轨迹结果[7]。但是模型在处理速度上存在延迟,影响追踪效果。同时,也有研究者尝试基于深度学习的标记点序列预测补全方法,利用双向长短期记忆网络和时间反演对称性,通过组合损失函数约束人体运动[8]。该方法的缺点是人体运动的复杂性和多样性导致数据质量参差不齐,低质量数据增加了处理难度。
由于网球比赛视频环境复杂,背景干扰多和运动员移动速度快,深度学习模型难以识别网球运动员的眼球区域,进而无法捕捉眼球的运动轨迹。而视频图像阈值分割方法能够有效分割出目标区域和背景区域[9-10]。通过眼球区域和背景区域在灰度级上存在的差异,将目标区域从背景区域分离。使得后续针对目标区域的捕捉操作可以更加直接、高效地进行,避免了在整个图像中盲目搜索目标区域所带来的时间和资源浪费。因此,使用视频图像分割技术处理网球运动员的视频图像,并将其作为深度学习模型的输入,可以有效提高眼球运动轨迹捕捉的准确性和实时性。通过分析眼球运动轨迹捕捉结果,帮助运动员赛后复盘,优化训练计划,提升竞技水平。
全文HTML
-
视频图像阈值分割下网球运动员眼球运动轨迹捕捉。
-
网球运动员眼球运动轨迹捕捉实验于2024年9月至12月在漳州市奥体中心网球场完成。
-
以闽南师范大学体育学院网球运动员作为实验对象。在运动员进行网球训练和比赛过程中,使用GoPro HERO12 Black运动相机采集网球运动员视频图像。采集环境如图 1所示。
网球运动员视频图像采集过程中所使用的相机参数如表 1所示。
由此可得如图 2所示的网球运动员视频图像。
如图 2所示,借助GoPro HERO12 Black高性能运动相机,采集到了网球运动员的视频图像。这些图像具备高清画质,能流畅记录动态画面,并拥有宽广视角,可精准捕捉运动员的细微动作及周围环境细节。通过先进的色彩校正和曝光控制技术,画面色彩自然真实,即便在复杂光线条件下也能保持色彩平衡和细节层次。此外,相机的超级防抖功能确保了视频画面的稳定性,为运动员个人技术分析、教练训练计划制定以及比赛回顾提供了高质量的影像资料。
-
眼球运动包括平滑追踪(追随)、快速眼跳(扫视)和注视。平滑追踪可以帮助运动员更好地跟踪飞行中的网球,从而提高运动员对球的落点和速度的预判准确性。快速眼跳可以帮助运动员提升在不同视觉目标间切换的速度和准确性,有利于运动员更快地评估全场态势,做出更及时的战术调整。注视则可以帮助运动员在注视网球的过程中随时关注对手的击球姿势和站位,进而有效提升运动员在比赛过程选择对战术和预判对手运动的准确性。
-
主要观察指标包括:①网球运动员眼球运动捕捉轨迹;②真实运动轨迹;③深度学习模型损失值的变化。
-
在现实网球比赛过程中,由于运动员注意力的高度集中,其眼球的变化较为迅速和细微。为避免环境造成的网球运动员视频图像干扰,在采集网球运动员视频图像时,选择清晰度较高、帧率较快的设备。但该方法仅能降低比赛现场环境造成的误差,无法直接展示运动员的眼球轨迹。同时考虑到眼球在所采集的整个图像中所占的面积比例,直接使用视频图像阈值分割技术会导致所分割的图像中眼球的展示模糊不清。而Tsallis相对熵可以根据图像中的灰度值,通过图像中不同区域的灰度差,有效地分割出眼眶所在区域[11]。由此,更便于识别眼球运动的特征。
然而,眼球的运动特征较为复杂,无法通过数据直接表明不同特征。卷积神经网络可以通过学习运动员的眼球运动轨迹数据,不断迭代,以提高卷积神经网络在眼球运动特征识别过程中的准确性。引入注意力机制,使得眼球中的运动特征可以被更准确地识别,以保证眼球运动特征的识别效果。此外,考虑到卷积神经网络和注意力机制结合使用过程中会增加算法的复杂性,导致运行过程中出现过拟合现象,影响眼球运动轨迹捕捉的准确性。正则化可以通过损失函数优化卷积神经网络和注意力机制在处理眼球运动特征过程中的复杂度,有效降低算法出现过拟合现象的概率,不仅保证了算法对现有眼球运动图像的识别准确性,还可提高算法对未知图像的处理能力,保证算法的有效性。
-
多阈值分割方法根据图像的不同区域设置不同的阈值,适应不同光线条件、背景干扰等复杂场景,从而更准确地分割出眼球区域[12-13]。Tsallis相对熵作为多阈值分割方法中一种独特的度量方式,用于衡量两个概率分布之间的差异,且该度量具有非对称特性[14-15]。图像中的像素灰度值具有一定的分布规律,不同的灰度值在图像中的出现频率有所不同。因此,在图像分割的具体操作流程中,将图像中像素的灰度值视为一个概率分布。
通过计算不同区域之间的Tsallis相对熵,将图像中不同部分(如眼球区域和其他背景区域)的像素灰度值看作不同的概率分布,进而计算眼球区域像素灰度值概率分布与其他背景区域像素灰度值概率分布之间的Tsallis相对熵[16]。通过上述方式,能够更加细致、准确地将眼球区域从复杂的图像中区分出来。Tsallis相对熵实现网球运动员视频图像多阈值分割的详细运算过程如下:
令
$\boldsymbol{A}=\left(a_{1}, a_{2}, \cdots, a_{n}\right) 、\boldsymbol{E}=\left(e_{1}, e_{2}, \cdots, e_{n}\right)$ 分别表示网球运动员视频图像内两个离散概率向量,计算这两个离散概率向量的Tsallis相对熵测度$\varPhi(\boldsymbol{A} \mid \boldsymbol{E})$ ,其表达式如下:式中:
$q$ 为网球运动员视频图像内离散概率向量总数。在网球运动员视频图像的一维分布直方图内 [17],Tsallis相对熵的灰度等级
$i$ 的类概率表示为:式中:
$\sigma_{j}$ 为Tsallis相对熵的灰度等级$i$ 属于类别$j$ 的方差,$\mu$ 为Tsallis相对熵的灰度等级$i$ 的分布均值。通过计算T sallis相对熵的灰度等级
$i$ 的类概率 [18],建立Tsallis相对熵的灰度等级$i$ 的概率分布矩阵$\boldsymbol{R}$ 。令
$U$ 表示网球运动员视频图像灰度等级直方图分布,将$R$ 和$U$ 代人到公式(1)内,得到关于$R$ 和$U$ 的Tsallis相对熵测度$\varPhi(U \mid R)$ ,在此基础上,计算网球运动员视频图像多阈值分割的最佳阈值$\xi$ ,其表达公式如下:使用公式(3)计算得到的最佳阈值对网球运动员视频图像进行多阈值分割。最终得到网球运动员视频图像的前景图像,以清晰展示运动员的轮廓和动作。由此可见,通过运用Tsallis相对熵实现视频图像多阈值分割,可以更快定位网球运动员的眼球区域,减少不必要的计算和数据处理量,有助于提高捕捉系统的整体效率,使其能够更快地响应并实时记录眼球运动轨迹。
-
多阈值分割虽然能够细致地划分图像中的不同区域,但眼球运动轨迹数据包含大量信息,如注视点位置、注视时长、眼跳幅度等,且这些数据在不同情境下(如不同比赛场景、不同运动员状态)具有高度的复杂性和多样性[19-20],导致分割结果可能出现边缘模糊、区域重叠或遗漏等问题,难以准确识别出网球运动员的轮廓和特征。
卷积神经网络(Convolutional Neural Networks,CNN)作为一种强大的深度学习模型(图 3),在数据处理领域发挥着重要作用。CNN的核心运算为卷积运算,能够从原始数据中自动挖掘并提炼出有效的特征[21-22]。当运动员观察不同目标或者场景时,眼球运动轨迹会呈现出不同模式,CNN能够从复杂的轨迹数据中发现规律,进而提取出与运动员视觉注意力焦点以及认知状态相关的特征。
网球运动员在比赛过程中,眼球的运动轨迹会随网球的运动轨迹而变化。当网球平移时,眼球也相应进行小幅度的平移;当网球距离运动员较近时,运动员的眼球会更加聚焦于网球,使得眼球出现旋转和缩放等现象。这些细小的运动变化会增加卷积神经网络的学习时长,影响眼球运动轨迹捕捉的实时性。而注意力机制作为一个重点选择器,可以专注于众多眼球运动特征中的重要部分,以提高运动特征的提取效率,并计算不同眼球运动特征的权重,有效筛选出对眼球运动轨迹捕捉过程中更为关键的特征,从而提高运动轨迹捕捉的实时性。由此,将网球运动员连续动作前景图像作为输入,由卷积神经网络和注意力机制组成深度学习神经网络模型捕捉网球运动员眼球运动轨迹。
当网球运动员的连续动作前景图像输入到深度学习神经网络模型时,CNN通过局部感受野的方式对输入图像的局部区域进行感知,并使用多个卷积核对输入图像进行卷积,从而提取图像中的局部特征。
输入为网球运动员连续动作分割后得到的前景图像序列,图像尺寸为
$W \times H \times C$ ,其中$W$ 是宽度,$H$ 是高度,$C$ 是颜色通道数。使用多个卷积核$K_{i}$ 对输入图像进行卷积操作,每个卷积核尺寸为$k_{w} \times k_{h} \times C$ ,其中$k_{w}$ 和$k_{h}$ 分别是卷积核的宽度和高度。卷积操作公式为:式中:
$I$ 是输入图像;$Y_{i}$ 是第$i$ 个卷积核的输出特征图;$b_{i}$ 是偏置项。对卷积层的输出特征图进行池化操作,以减少特征图的尺寸并降低计算量。即在特征图上使用滑动窗口,选择窗口内的最大值作为输出。将卷积层和池化层提取的特征图展平,输入到全连接层中,进行特征融合和分类。将网球运动员眼球位置轨迹通过编码转换成统一长度后 [23],输出网球运动员眼球位置轨迹特征向量,由
$\left(v_{1}, v_{2}, \cdots, v_{n}\right)$ 表示。将卷积神经网络得到的结果输入到深度学习神经网络模型的注意力机制内[24]。注意力机制负责动态调整深度学习神经网络模型,使深度学习神经网络模型在每个时间步均可依据当前运算需求关注输入网球运动员眼球位置轨迹特征向量的不同部分,同时输出网球运动员眼球运动轨迹捕捉结果。注意力机制网络运行过程为:
将
$\left(v_{1}, v_{2}, \cdots, v_{n}\right)$ 输入到注意力机制网络内,该网络在不同通道上对$\left(v_{1}, v_{2}, \cdots, v_{n}\right)$ 进行挤压操作,将输入特征图的高维信息整合到低维空间中,从而提高计算效率 [25]。由此,生成含有注意力的网球运动员眼球运动轨迹特征$\varphi$ ,其表达公式如下:式中:fsq表示Squeeze压缩变换函数。
将公式(5)结果输入到注意力机制网络的2个全连接层并通过全连接层拟合不同通道网球运动员眼球运动轨迹特征,得到网球运动员眼球运动轨迹特征的权重,使得模型在面对不同场景和条件时,能够更加准确地识别网球运动员的眼球运动轨迹。网球运动员眼球运动轨迹特征的权重H表达公式如下:
式中:
$f_{\text {ex }}$ 表示轨迹函数;$\tilde{\omega}$ 为网球运动员眼球运动轨迹特征在通道内的宽度。结合公式(5)、(6)得到最终的网球运动员眼球运动轨迹特征
$Z$ ,其表达公式如下:式中:fscale为Scale操作函数。
Scale操作函数可以将数据按比例缩放至特定范围。考虑到不同的眼球运动轨迹特征具有不同的量纲和取值范围,通过Scale操作可以将不同的眼球运动轨迹特征转换到相同的尺度上,从而消除量纲对数据分析和建模的影响,以提高算法的性能和收敛速度。
将公式(7)结果输入到注意力机制网络的全连接层内[26-27]并通过softmax函数输出网球运动员眼球运动轨迹捕捉结果y,其公式如下:
式中:
$\tilde{\omega}^{\prime} 、b$ 为全连接层权重和偏置。综上所述,该方法通过CNN的局部感受野和多个卷积核对输入图像进行特征提取,利用池化操作减少特征图尺寸并降低计算量。将提取的特征图展平并输入到全连接层中进行特征融合和初步分类。在此基础上,引入注意力机制,通过动态调整模型对不同部分的关注程度,使模型能够依据当前运算需求关注输入特征向量的关键部分,从而提高眼球运动轨迹捕捉的准确性和鲁棒性。
-
提取网球运动员的眼球运动轨迹特征后,能够实现网球运动员的眼球运动轨迹捕捉。但是,深度学习网络模型在实际应用过程中,随着训练样本数量的逐步增多以及训练次数的不断增加,模型的复杂度呈现上升趋势,容易引发过拟合。在捕捉网球运动员眼球运动轨迹时,过拟合会降低捕捉结果的准确性[28-29]。正则化是深度学习中防范过拟合的重要手段,通过向损失函数中添加正则化项,可以限制模型参数的取值范围,避免模型对训练数据过度拟合[30]。对于由卷积神经网络和注意力机制组成的深度学习网络模型,在正则化处理时,会约束模型参数的范数,进而降低深度学习网络模型处理网球运动员眼球运动轨迹特征的复杂度,提高特征提取的实时性。
令
$p(\theta)$ 表示深度学习神经网络模型的损失函数,$\theta$ 为模型内所有参数,$J\left(\tilde{\omega}^{\prime}\right)$ 表示深度学习神经网络模型的复杂度函数,$\tilde{\omega}^{\prime}$ 为模型权重,正则化是对$p(\theta)$ 和$J\left(\tilde{\omega}^{\prime}\right)$ 进行综合优化,同时使用L1正则化和L2正则化约束,优化深度学习神经网络模型的复杂度和损失函数。其中:L1正则化通过引人权重的绝对值之和作为惩罚项,促使模型产生稀疏的权重矩阵,有助于特征选择并降低模型对训练数据的依赖;L2正则化则通过引入权重的平方和作为惩罚项,使模型产生平滑的权重,提高模型的稳定性和鲁棒性。这种组合正则化方法不仅有助于模型在训练过程中更加关注对输出有显著影响的特征,还能有效降低模型的复杂度,防止过拟合,从而提高模型的泛化能力。正则化参数的选择对模型性能有着关键影响:若取值过大,模型的复杂度会被过度抑制,可能导致模型欠拟合,无法充分学习数据中的有效特征,使得对网球运动员眼球运动轨迹捕捉的准确性下降;若取值过小,难以对模型参数进行有效约束,过拟合问题依旧存在。在实际应用中,需通过实验调试,采用交叉验证等方法,在训练集和验证集上反复测试不同的正则化参数组合,在捕捉网球运动员眼球运动轨迹任务中探索最优泛化能力的参数设置,确保模型在面对新数据时能够稳定、准确地输出眼球运动轨迹捕捉结果。深度学习神经网络模型复杂度和损失函数优化函数的表达式如下:式中:
$|P(\theta)|_{1} 、\left|J\left(\tilde{\omega}^{\prime}\right)\right|_{2}$ 分别为L1正则化和L2正则化算子;$\hbar$ 为深度学习神经网络模型复杂度导致的损失占总损失的比重。利用公式(9)实现深度学习神经网络模型复杂度和损失函数的优化,使其输出的网球运动员眼球轨迹捕捉结果更加精准。基于上述处理,可以实现深度学习神经网络模型的优化,有效避免模型在运行过程中由于特征的复杂性导致的过拟合,降低模型对现有眼球运动轨迹数据的依赖程度,提高了模型捕捉运动员眼球运动轨迹的实时性和精准度。
1.1. 实验名称
1.2. 时间及地点
1.3. 实验对象及实验环境
1.4. 眼球运动的类型
1.5. 主要观察指标
1.6. 研究方法
1.6.1. 网球运动员视频图像多阈值分割
1.6.2. 网球运动员眼球运动轨迹特征提取
1.6.3. 眼球运动轨迹捕捉优化
-
在现有案例的基础上,采用所提方法对网球运动员眼球运动轨迹捕捉过程进行优化。实验过程中使用的计算设备如表 2所示。
实验步骤如下:
步骤1:数据采集。利用高速摄像机(如GoPro HERO12 Black,4K分辨率,120 fps)记录20名网球运动员在多种不同比赛场景(包括硬地、草地等不同场地类型,以及单打、双打等不同比赛形式)和训练环节(如日常基础训练、模拟对抗训练等)下的运动情景。同时使用Tobii Pro Glasses 3眼动仪采集眼球运动数据,将其作为精确的对比基准数据。选取的运动员涵盖了不同年龄阶段、不同性别、不同比赛经验水平以及不同惯用手的个体差异,最大程度地保证数据能够反映网球运动员群体在各类场景下的真实表现,从而增强后续研究结果在整个网球运动员群体中的普适性。
步骤2:数据预处理。
1) 视频帧提取:使用OpenCV库从视频中提取图像帧。
2) 数据标注:利用专业软件对部分数据进行人工标注,标记眼球位置和运动轨迹。
3) 数据增强:通过旋转、缩放、添加噪声等方法扩充数据集。
步骤3:数据集划分。将数据集按6:2:2的比例划分为训练集、验证集和测试集。
步骤4:多阈值分割。
1) 实现Tsallis相对熵计算函数,根据公式(1)和(2)计算图像的灰度等级概率分布。
2) 利用公式(3)计算最佳阈值。
3) 使用确定的最佳阈值对网球运动员视频图像进行多阈值分割,得到前景图像。
步骤5:深度学习模型构建阶段。
1) 设计CNN架构,包括卷积层、池化层和全连接层。实现公式(1)描述的卷积操作。
2) 实现注意力机制,包括Squeeze操作(公式(3))和Excitation操作(公式(4))。集成Scale操作(公式(5))和最终的softmax输出层(公式(6))。
步骤6:模型优化。实现L1和L2正则化(公式(7))。
设置实验过程中算法的参数如表 3所示。
在上述设置的基础上,对网球运动员视频图像进行多阈值分割,获取网球运动员视频图像的前景是捕捉网球运动员眼球运动轨迹的基础。以某帧网球运动员视频图像作为实验对象,使用本文方法对其进行多阈值分割,结果如图 4所示。
如图 4所示,所提方法在网球运动员视频图像的处理过程中,能够精准地区分运动员与复杂多变的背景,有效提取运动员打网球时的清晰前景图像,并保留了关键的运动细节和轮廓信息。这是因为所提方法采用Tsallis相对熵方法进行视频图像多阈值分割,相比单一阈值分割能够更精细地处理图像中的不同灰度级,使得分割出的前景图像更加清晰,同时保留了关键的运动细节和轮廓信息。该方法能够自适应地确定多个阈值,从而更准确地分割出网球运动员与复杂多变的背景,充分验证了本文方法的高效性与准确性,为后续深入分析提供了高质量的图像素材。精确的前景分割能够减少背景噪声干扰,提升眼球运动轨迹捕捉的准确性。
-
以4帧国际赛事网球运动员视频图像作为分析对象,使用本文方法捕捉图像内运动员的眼球运动轨迹,捕捉结果如图 5所示。本文方法在网球运动员视频图像中成功捕捉到眼球,并准确地标记出网球运动员眼球中的网球,直观展示了运动员的视线变化。这是因为本研究能够利用CNN多层卷积和池化操作逐步实现从低级特征(如边缘、纹理)到高级特征(如眼球的形状和位置)的提取。这种层级特征提取方式非常适合捕捉眼球在图像中的复杂表现。同时,池化操作赋予了CNN平移不变性,使其能够识别出位于图像任意位置的眼球,这对于追踪运动中的眼球至关重要。
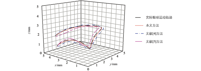
连续性网球运动员眼球运动轨迹捕捉结果如图 6所示。从图 6中可以看出,本文方法捕捉到的眼球运动轨迹与真实的网球运动员眼球运动轨迹高度吻合。这是因为本文方法通过Tsallis相对熵方法进行多阈值分割,有效地将运动员(前景)与背景分离。通过该步骤,能够提高后续分析的针对性和准确性,使得模型专注于包含眼球运动信息的关键区域。结合CNN和注意力机制的模型能够自适应地处理不同的场景、光照条件和眼球运动速度,提高模型在各种比赛或训练情况下的表现。因此,本研究方法的精确度较高,在实际应用中能够精准捕捉眼球运动的轨迹。
为验证本文方法对深度学习神经网络模型的优化能力,以深度学习神经网络模型训练过程中的损失值作为衡量指标,测试不同训练代数情况下深度学习神经网络模型损失值变化情况,测试结果如图 7所示。
分析图 7可知,本文方法使用Tsallis相对熵方法进行多阈值分割,不仅有效分离了前景(运动员)和背景,还保留了更多细节信息。这种高质量的预处理为深度学习模型提供了更清晰和更相关的输入数据,大大减少了模型需要学习的噪声和无关信息,从而加速训练过程并提高模型收敛速度。通过引入正则项,解决了深度学习模型可能出现的过拟合问题。因此,本文方法的损失值会随训练代数的增加而降低并逐渐趋于0。在3种方法中,本文方法将深度学习神经网络模型损失值降至最低所需的训练代数最少。
为验证本文方法在捕捉网球运动员眼球运动轨迹方面的效果,以误差率为指标,测试结果如表 4所示。
由表 4可知,在5个不同的实验视频测试中,本文方法在捕捉网球运动员眼球运动轨迹方面的误差率较低,平均误差率仅为3.2%,且误差率标准差为0.15,表明其在不同视频中的误差波动较小,稳定性高。这是因为本文方法采用Tsallis相对熵进行多阈值分割,能够减少背景干扰对眼球运动轨迹捕捉的影响。基于卷积神经网络和注意力机制构建的深度学习模型能够自动挖掘和提炼眼球运动轨迹的有效特征,并根据不同场景动态调整对特征的关注程度,提高了特征提取的准确性和鲁棒性。因此,本文方法在网球运动员眼球运动轨迹捕捉方面展现出较好的性能,有效降低了误差率。
2.1. 实验设置
2.2. 结果分析
-
网球运动员在比赛过程中产生的眼球运动轨迹是运动员在比赛过程中获得胜利的关键。因为细微的眼球运动可以帮助运动员精准捕捉到运动的网球,进而让运动员选择更加适合的比赛战术,以提高比赛获胜的概率。然而,现有研究中,对网球运动员眼球运动轨迹的捕捉研究较少,无法为运动员提供更有效的数据来支持运动员修改和提升训练计划,为此,提出视频图像阈值分割下的网球运动员眼球运动轨迹捕捉优化方法。相较于传统的基于简单阈值分割或单一模型的眼球运动轨迹捕捉方法,本文将Tsallis相对熵多阈值分割技术与卷积神经网络、注意力机制以及正则化优化相结合。Tsallis相对熵[31]能够更为精准地处理图像中复杂的灰度分布,为后续深度学习模型提供高质量的输入。卷积神经网络[32]与注意力机制适用于处理具有高度复杂性和动态性的数据特征,能够使模型在复杂多变的网球比赛场景下自适应地提取眼球运动的关键特征。该方法为运动视觉领域的研究提供了新的技术思路,有助于深入理解网球运动员视觉认知与决策机制。
实验结果表明,所提方法可以有效地分割出网球运动员视频图像中的目标,并捕捉到清晰的网球运动员眼球运动轨迹。这是因为所提方法利用视频图像分割技术中的Tsallis相对熵,基于图像不同区域的灰度差,较为精确地分割出所采集图像中的运动员眼眶部分,并将其输入至卷积神经网络中,提取眼球运动轨迹。同时,利用注意力机制提高眼球运动特征的清晰程度,以保证眼球运动特征的提取效果。在此基础上,采用正则化技术降低算法的复杂度,保证运动轨迹捕捉的实时性。
此次研究存在一些局限性:在数据采集方面,虽然选择了特定型号运动相机并设置了相关参数,但仍未涵盖所有复杂的网球运动场景和运动员个体差异情况。例如:强光直射或极低光照对图像采集质量会产生不良影响;不同水平或风格运动员的眼球运动特征多样性未被充分挖掘。实验对象仅选取了闽南师范大学体育学院网球运动员,样本范围相对较窄,可能存在一定的样本偏差,无法完全代表所有网球运动员群体的特征,对研究结果的普遍性有一定影响。此外,在模型构建方面,尽管当前的深度学习模型在性能上表现出色,但面对极端复杂场景下的网球运动员眼球运动,模型的泛化能力仍有待提升。同时,Tsallis相对熵计算过程较复杂,在一定程度上影响了处理速度,这在实时性要求极高的场景中可能成为限制因素。
未来研究可从以下方面展开。在数据采集方面,进一步探索更先进的图像采集设备和技术,能够适应更广泛的环境条件,获取更高质量、更全面的运动员视频图像数据,同时结合多种传感器获取更多维度的信息,以更精准地同步记录眼球运动与身体动作等相关数据,为更深入的研究提供丰富的数据支持。后续研究可引入迁移学习技术,利用大规模跨领域视觉数据对模型进行预训练,使其能够更好地适应不同场景。对于Tsallis相对熵计算复杂度高的问题,可以采用并行计算技术提高整体处理效率。还可拓展应用领域,将该方法用于其他球类运动项目中,研究不同运动项目运动员眼球运动特征差异及其与运动表现的关系,建立更通用的运动员视觉行为模型,为体育训练和竞技提供更广泛的理论支持和技术指导。同时,也可探索将眼球运动轨迹捕捉技术与虚拟现实、增强现实技术相结合,为运动员模拟训练、技能提升提供更沉浸式、个性化的训练环境和反馈机制。
下载: