-
开放科学(资源服务)标识码(OSID):

-
受自然因素和不合理的农业生产活动等影响,土壤酸化在全球范围内普遍发生,已成为制约农业可持续发展的重要因素之一。据报道,从20世纪80年代到21世纪初,我国主要农田土壤pH值下降了约0.5个单位[1]。目前,全国pH值低于6.5的酸性土壤面积已达311.1万km2[2]。农田土壤酸化不仅抑制作物根系生长与养分吸收,导致产量下降,还会加剧重金属活性和土传病害发生,影响农产品品质,甚至威胁人体健康[3-5]。因此,土壤酸化治理及酸性土壤改良已成为环境与土壤科学领域共同关注的热点,对维护土壤健康、促进农业可持续发展具有重要意义。
在各类改良措施中,施用土壤调理剂被广泛认为是缓解酸性土壤障碍的有效途径之一[2, 6-7]。这类材料可通过调节土壤物理结构、化学性质及微生物群落,改善作物根区生长环境[6-7]。在我国南方,黄壤和红壤是两类典型的酸性土壤。黄壤主要分布于湿润亚热带地区,其酸化特征以盐基离子大量淋失、交换性Al3+显著积累为主,随着酸化程度加剧,活性铝含量急剧升高,对植物产生铝毒害;红壤则广泛分布于热带与亚热带区域,酸化过程常伴随铁铝氧化物的富集,造成磷的有效性降低,同时,由于H+和Al3+的共同作用,土壤pH值常降至4.5以下,形成“酸、瘦、板”等典型障碍特征[8-9]。
石灰作为传统的酸性土壤调理剂,虽能有效提升土壤pH值[10-11],但大量研究也表明其改良效果多集中于表层土壤,过量施用易引起钾、镁等养分淋失,长期连续使用甚至可能导致土壤板结与次生酸化问题[2, 6]。因此,开发利用新型酸性土壤调理剂,并根据不同地区的土壤、气候和作物特性匹配调理剂的施用技术,成为酸性土壤改良的主要研究方向之一。
硅钙镁调理剂是一种以含硅、钙、镁的矿石为主要原料,经过高温煅烧或熔融后生产的矿物源土壤调理剂,其成分除硅、钙、镁等碱性元素外,还可能含有铁、锌、硼、钼等微量元素。近年来,初步研究显示这种调理剂在提升土壤pH值、改善土壤团聚结构与活化养分方面具有潜力,能够促进油菜、甘薯、甘蔗等作物的生长[12-14]。相较于传统石灰类调理剂以酸碱调节为主的功能局限,硅钙镁调理剂表现出多功能协同改良的优势。然而,其对不同酸性土壤类型(如黄壤与红壤)的改良效应及适宜用量尚缺乏系统研究,其在典型酸性土壤中的持续效果、铝毒缓解能力及养分释放动态亦有待明确。基于此,本研究以贵阳开磷化肥有限公司生产的硅钙镁调理剂为材料,通过室内土壤培养试验,系统分析不同用量处理下土壤酸度、活性铝含量及养分有效性的动态变化,比较该调理剂对黄壤与红壤的改良效果,以期为该类产品在酸性土壤区域的合理施用提供理论依据。
全文HTML
-
培养试验用的黄壤取自贵州省遵义市湄潭县多年种植的茶园,红壤取自云南省临沧市耿马县多年种植的甘蔗地,均属于当地典型作物生产系统的强酸性土壤。供试土壤的基本化学性质如表 1所示。
-
试验所用硅钙镁调理剂为贵阳开磷化肥有限公司提供,系采用天然白云矿石高温煅烧而成的商业产品,呈粉末状,pH值为9.1(250倍稀释),含水率0.08%,养分含量为SiO2 38.57%、CaO 41.35%、MgO 3.08%、P2O5 2.89%、Fe2O3 0.10%、Al2O3 2.85%,重金属含量为Cd 0.01 mg/kg、Hg 0.1 mg/kg、Pb 1 mg/kg、Cr 7 mg/kg,As含量未达检出限。
-
培养试验于2023年7月20日至9月18日在西南大学国家农业科学北碚观测实验站进行。每种土壤均设置6个调理剂用量处理:0.0%(对照)、0.5%、1.0%、1.5%、2.0%和2.5%(即每千克土壤分别添加0、5、10、15、20和25 g调理剂)。该梯度设计旨在系统评估调理剂用量的剂量效应,其用量范围参考了前人研究中关于矿物源土壤调理剂的常用剂量[15]。每个处理设20次重复,分别称取过2 mm筛的黄壤或红壤风干土样200 g,与对应处理所需的调理剂充分混匀后装入黑色塑料培养瓶中,随后加纯水调节并维持土壤含水量为70%,瓶口用保鲜膜封口。所有培养瓶在室温下随机排列于培养架中进行培养。
-
试验过程中,分别在7月25日(培养5 d)、7月30日(培养10 d)、8月9日(培养20 d)、8月19日(培养30 d)和9月18日(培养60 d)分批取样。每次取样时,各处理随机取4个培养瓶中的全部土样,置于干燥通风处自然风干后研磨备用。
土壤测定指标及方法:pH值采用电位法测定,土水比1∶5;交换性H+、交换性Al3+和交换性酸总量采用KCl交换-NaOH中和滴定法测定;活性铝采用草酸铵浸提-ICP法测定;交换性钙和镁采用NH4OAc交换-原子吸收分光光度法测定;有效磷采用NH4F-HCl浸提-钼酸铵比色法测定;有效硅采用柠檬酸浸提-硅钼蓝比色法测定。具体分析方法及操作步骤参考鲍士旦主编的《土壤农化分析(第三版)》[16]。
-
使用Microsoft Excel 2019和SPSS 27.0进行数据整理和分析,采用Origin 2025进行图形绘制。
1.1. 供试土壤
1.2. 供试调理剂
1.3. 试验设计
1.4. 样品采集与分析
1.5. 数据分析
-
土壤活性酸度以pH值表示,是反映土壤酸度的强度因素,pH值越低,表明土壤活性酸度越强。由图 1可知,施用硅钙镁调理剂可快速提升两种土壤的pH值,施用5 d即可使土壤pH值发生显著变化,并在60 d的培养时间内使pH值基本保持稳定。到培养结束时,与不施调理剂的对照相比,施用0.5%、1.0%、1.5%、2.0%和2.5%的调理剂使黄壤的pH值分别提高1.44、2.67、3.08、3.58和3.62个单位,增幅分别为32.5%、60.2%、69.4%、80.7%和81.6%,使红壤pH值分别提高1.26、2.50、3.26、3.73和3.62个单位,增幅分别为31.1%、61.4%、80.2%、91.8%和89.0%。
-
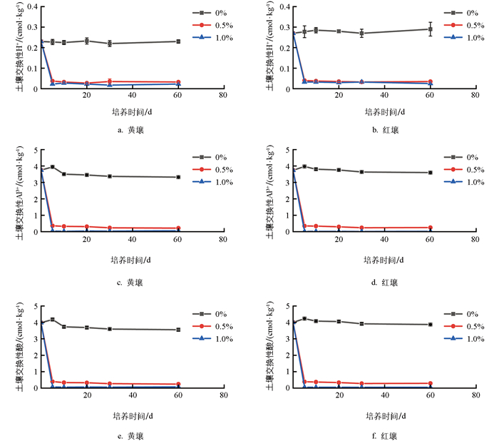
土壤潜性酸度用交换性酸表示,包括交换性H+和交换性Al3+,反映土壤酸度的容量因素。当硅钙镁调理剂用量高于1.0%时,由于两种土壤的交换性酸总量极低,因此主要测定调理剂用量≤1.0%时交换性酸的变化(图 2)。不施调理剂时,两种土壤的交换性Al3+含量明显高于交换性H+。施入调理剂5 d后,两种土壤的交换性H+、Al3+含量大幅度降低,并在之后基本稳定不变。与对照相比,调理剂施入60 d后,0.5%和1.0%调理剂处理的黄壤交换性酸总量分别降低至0.24 cmol/kg和0.08 cmol/kg,下降幅度分别为93%和98%;红壤的交换性酸总量分别下降至0.29 cmol/kg和0.05 cmol/kg,下降幅度分别为93%和99%。
-
土壤活性铝含量与土壤酸度密切相关。从图 3可知,不施调理剂时,黄壤和红壤的活性铝含量分别保持在2 106.93 mg/kg和1 705.16 mg/kg左右。施入硅钙镁调理剂5 d后,两种土壤的活性铝含量明显下降,且调理剂用量越高活性铝含量越低,此后活性铝含量都保持较为稳定。到培养60 d时,与对照相比,0.5%、1.0%、1.5%、2.0%、2.5%调理剂处理下黄壤的活性铝含量下降幅度分别为12.9%、15.6%、22.7%、26.5%和31.4%,红壤的活性铝含量下降幅度分别为14.0%、19.1%、24.5%、26.1%和29.9%。
-
交换性钙镁含量表征土壤钙镁的有效性,也是交换性盐基离子的重要组成部分。与对照相比,施用硅钙镁调理剂的处理均显著提高了两种土壤的交换性钙和镁的含量,调理剂用量越高,交换性钙镁含量增加越多(图 4)。与不施调理剂相比,施入不同用量的调理剂60 d后,黄壤的交换性钙含量提升至14.35~41.29 cmol/kg,增加了1.4~5.9倍,交换性镁含量升高至3.50~4.24 cmol/kg,增幅为16.8%~41.7%;而红壤交换性钙含量增加至12.11~45.06 cmol/kg,增加了3.7~16.3倍,交换性镁含量增加至3.22~4.34 cmol/kg,增幅为21.4%~63.7%。
-
硅钙镁土壤调理剂施用能显著提高黄壤和红壤的有效磷和有效硅含量,调理剂施用量越大,有效磷和有效硅含量越高,且促进有效磷释放的后效较长(图 5)。施入调理剂5 d后,与对照相比,0.5%、1.0%、1.5%、2.0%和2.5%调理剂处理分别使黄壤有效磷含量增加到5.42、7.06、11.39、16.50和25.23 mg/kg,使红壤有效磷含量分别增加到7.73、9.07、12.03、19.34和27.49 mg/kg。此后,施用调理剂的土壤有效磷含量整体随培养时间增加而持续升高,到培养结束时黄壤有效磷含量分别增至8.83、13.27、15.63、33.94和45.62 mg/kg,红壤有效磷含量分别增至9.65、13.04、21.26、32.72和39.94 mg/kg。同样,有效硅含量在施入调理剂5 d后迅速提升,此后保持相对稳定水平。培养60 d后,与不施调理剂相比,0.5%、1.0%、1.5%、2.0%和2.5% 处理黄壤有效硅含量分别升高至594.05、1 117.21、1 351.49、1 445.92和1 567.37 mg/kg,红壤有效硅含量分别升高到425.97、942.58、1 291.35、1 447.23和1 543.76 mg/kg。
-
相关性分析结果表明,黄壤与红壤的土壤酸度及养分含量指标之间存在显著关联。在黄壤中(图 6a),土壤pH值与活性铝含量呈极显著负相关(r=-0.96,p<0.001),而与交换性钙(r=0.96,p<0.001)、有效硅(r=0.99,p<0.001)及有效磷(r=0.79,p<0.001)呈极显著正相关;活性铝则与交换性酸总量显著正相关(r=0.42,p<0.001),与交换性钙(r=-0.96,p<0.001)、有效磷(-0.83,p<0.001)和有效硅(-0.96,p<0.001)呈极显著负相关。在红壤中(图 6b),土壤pH值与交换性酸(r=-0.91,p<0.001)及活性铝(r=-0.96,p<0.001)呈极显著负相关,而与交换性钙(r=0.99,p<0.001)、交换性镁(r=0.95,p<0.001)、有效磷(r=0.91,p<0.001)和有效硅(r=0.97,p<0.001)呈极显著正相关。综合分析表明,在两种土壤中,土壤pH值的升高均有助于降低交换性酸与活性铝含量,同时促进交换性钙、交换性镁、有效磷和有效硅含量,从而缓解铝毒胁迫并改善土壤养分状况。值得注意的是,黄壤与红壤在主要酸度及养分指标间的相关趋势基本一致,反映出硅钙镁调理剂对两类酸性土壤化学性质的改良机制具有普遍性与规律性。
2.1. 土壤活性酸度变化
2.2. 土壤潜性酸度变化
2.3. 土壤活性铝含量变化
2.4. 土壤交换性钙镁含量变化
2.5. 土壤有效磷和有效硅含量变化
2.6. 相关性分析
-
活性酸度(pH值)和潜性酸度(交换性H+和交换性Al3+)分别反映了土壤酸度的强度和容量因素。本研究表明,在强酸性黄壤与红壤(初始pH值<4.5)中施用硅钙镁调理剂,可同时降低其活性酸度与潜性酸度,且改良效果随调理剂用量增加而增强(图 1和图 2)。这一结果与杨金康等[17]的研究一致,均表明硅钙镁类调理剂能有效提升土壤pH值。本研究中,施入调理剂5 d后,两种酸性土壤的pH值迅速提升1.0~3.5个单位,此快速反应特性可能与调理剂煅烧产物的高反应活性有关[18]。总体而言,施用0.5%~1.5%的调理剂即可将两种土壤pH值调节至5.3~7.5,该pH值范围已被多项研究证实为多数作物根系生长与养分吸收的适宜区间[19-22]。同时,0.5%~1.0% 的调理剂用量即可显著降低交换性H+和交换性Al3+含量,且效果长期稳定,表明硅钙镁调理剂具有良好的酸度调控能力。
从土壤化学过程来说,土壤酸性主要来自H+的积累、盐基离子的损耗及铝的活化[23]。硅钙镁调理剂本身呈碱性,施入土壤后能迅速中和土壤溶液中的H+,使土壤pH值在短期内显著上升,从而降低活性酸度,这与冀建华等[24]提出的碱性改良剂中和机制相符。此外,该调理剂富含硅、钙、镁等元素,可通过多重途径降低潜性酸度:硅可与铝结合形成铝硅酸盐,减少交换性Al3+含量;而Ca2+和Mg2+作为盐基离子,可置换土壤胶体上吸附的H+和Al3+,提高盐基饱和度,改善土壤胶体表面性质。尽管土壤胶体中的潜性酸持续释放,调理剂中的碱性物质会随时间消耗,但其带入的Ca2+和Mg2+能够增强土壤的酸缓冲能力,从而使pH值在较长时间内维持在较高水平。
-
铝作为土壤中含量最丰富的金属元素,通常以对植物没有毒性的难溶性铝硅酸盐或氧化铝形态存在。然而,在酸性条件下(尤其是pH值<5.0时),含铝矿物的晶体结构被破坏,晶体铝逐渐释放并转化为活性铝。土壤中的活性铝主要包括交换性Al3+、单聚体羟基铝[Al(OH)2+、Al(OH)2+]、酸溶无机铝[Col-Al(OH)3]以及腐殖酸铝(Al-HA)等,其中交换性Al3+和单聚体羟基铝活性高、毒性强,尤其以交换性Al3+对植物的毒害作用最为显著[25]。植物铝毒害主要表现为抑制根系生长发育,高浓度的Al3+会破坏植物细胞内的线粒体和叶绿体膜结构,干扰正常代谢过程,最终导致作物减产[3]。研究表明,一般当土壤交换性Al3+含量高于2 cmol/kg时,植物易出现铝毒害症状[26]。当土壤pH值<4.5时,以交换性Al3+为主的活性铝含量会急剧增加[27-28]。此外,活性铝易与磷酸根离子形成难溶性的磷酸铝,降低土壤和肥料中磷的生物有效性[29]。因此,降低活性铝含量对缓解植物铝毒害胁迫、促进养分吸收具有重要意义。本研究显示,施用硅钙镁调理剂可显著降低两种土壤中活性铝含量(当调理剂用量≥1.0%时,其中交换性Al3+含量降低至0.1 cmol/kg以下),有效减轻铝毒害风险。其作用机制推测主要有两方面:其一,调理剂中的硅酸盐组分能够与铝反应生成硅铝化合物并沉淀,从而降低土壤活性铝总量;其二,调理剂所含的Ca2+、Mg2+可置换土壤胶体表面的H+和Al3+,提高土壤pH值,促使高活性Al3+向低毒或无毒的形态转化,如Al(OH)4-、Al(OH)3、有机/无机铝配合物等。未来研究需结合植物培养试验,进一步解析硅钙镁调理剂对土壤活性铝组分动态及其生物毒性的影响机制。
-
本研究所用的钙镁硅土壤调理剂兼具降低土壤酸度与补充钙、镁、硅等养分的双重功能。结果表明,该调理剂可在短期内显著提高土壤交换性钙、镁含量,并在60 d培养期内保持相对稳定。值得注意的是,在试验设置的用量范围内,每增施0.5%的调理剂,黄壤交换性钙含量分别增加335.2、367.2、230.0、257.2和222.8 mg/kg,红壤交换性钙含量分别增加380.4、466.4、338.0、345.2和168.0 mg/kg。两种土壤交换性钙的增加量均高于0.5%调理剂本身所能带入的钙含量(295.36 mg/kg),说明除直接输入外,调理剂还可能通过改善土壤酸度环境,促进土壤中原有钙的活化与释放。这是因为该调理剂以白云石为原料高温煅烧制成,其主要成分为CaO和MgO。施入土壤后,CaO和MgO遇水发生反应生成Mg(OH)2和Ca(OH)2,进而与土壤中的H+发生中和反应,并逐步释放钙、镁养分。研究表明,Ca(OH)2和Mg(OH)2的溶解速率直接决定钙、镁养分的释放速度,而Ca(OH)2和Mg(OH)2溶解速率又取决于MgO和CaO的总量及其水化作用;MgO和CaO总量越高,水化作用越强,Ca(OH)2和Mg(OH)2溶解释放OH-与钙、镁养分的速率越快,其碱度越大,钙、镁养分有效性也越高[30]。由此可见,硅钙镁土壤调理剂在调节土壤酸度的同时,能够快速、同步地提高交换性钙、镁的供应。
土壤磷的有效性受pH值影响显著。当pH值低于6.5时,磷酸根易与铁、铝等离子结合形成难溶性的磷酸铁、磷酸铝等磷酸盐,导致磷被固定[29]。此外,酸性条件下磷酸根也易被土壤黏粒吸附,降低其植物有效性[9]。随着土壤pH值升高,铁、铝对磷的固定作用减弱,磷酸盐溶解度提高,磷的有效性随之上升。然而,当土壤pH值超过7.5时,磷酸根又易与钙离子形成沉淀,降低其有效性[29]。因此,将土壤pH值维持在5.5~7.0的范围内,有利于大多数作物对磷的吸收利用。本研究中,施用0.5%~1.5%的硅钙镁调理剂可将两种酸性土壤的pH值提升至5.3~7.5的范围,不仅减轻了土壤黏粒和铁、铝离子对磷的固定,还直接带入部分磷源,从而使土壤有效磷含量不同程度提高。尽管更高用量(2.0%和2.5%)的调理剂可进一步大幅提升有效磷水平,但这也可能导致土壤有效磷水平超过环境安全阈值,增加水溶性磷的流失风险[31]。
硅虽非植物必需营养元素,但对水稻、甘蔗等作物具有显著的促生与抗逆作用,有助于植物抵御病虫害、盐害、干旱、重金属毒害等生物与非生物胁迫[32-33],属于有益元素。本试验所用的硅钙镁调理剂中含丰富的硅养分(SiO2含量38.57%),施用后显著提高了两种土壤中的有效硅含量。后续研究可进一步探讨钙调理剂在缓解植物胁迫方面的效应,以及硅营养改善在其中所起的作用。
-
综上所述,硅钙镁调理剂可有效改良黄壤与红壤的酸度障碍,显著提高土壤pH值、交换性钙镁、有效磷及有效硅含量,同时显著降低交换性酸与活性铝水平,从而整体提升土壤肥力。在试验条件下,调理剂施用量在0.5%~1.5%范围内对两种典型酸性土壤较为适宜。未来研究可结合具体土壤改良目标与作物生长响应,进一步探究不同条件下的推荐施用量。
下载: