留言板

尊敬的读者、作者、审稿人, 关于本刊的投稿、审稿、编辑和出版的任何问题, 您可以本页添加留言。我们将尽快给您答复。谢谢您的支持!

三峡库区陡坡耕地格局演变及分区利用模式——以万州区为例

上一篇

下一篇

刘燕, 刘晓瑜, 宇德良, 等. 三峡库区陡坡耕地格局演变及分区利用模式——以万州区为例[J]. 西南大学学报(自然科学版), 2026, 48(4): 139-154. doi: 10.13718/j.cnki.xdzk.2026.04.010
引用本文: 刘燕, 刘晓瑜, 宇德良, 等. 三峡库区陡坡耕地格局演变及分区利用模式——以万州区为例[J]. 西南大学学报(自然科学版), 2026, 48(4): 139-154. doi: 10.13718/j.cnki.xdzk.2026.04.010
LIU Yan, LIU Xiaoyu, YU Deliang, et al. Evolution Pattern and Zoning Utilization Models of Steep-Slope Farmland in the Three Gorges Reservoir Area——A Case Study of Wanzhou District[J]. Journal of Southwest University Natural Science Edition, 2026, 48(4): 139-154. doi: 10.13718/j.cnki.xdzk.2026.04.010
Citation: LIU Yan, LIU Xiaoyu, YU Deliang, et al. Evolution Pattern and Zoning Utilization Models of Steep-Slope Farmland in the Three Gorges Reservoir Area——A Case Study of Wanzhou District[J]. Journal of Southwest University Natural Science Edition, 2026, 48(4): 139-154. doi: 10.13718/j.cnki.xdzk.2026.04.010

三峡库区陡坡耕地格局演变及分区利用模式——以万州区为例

  • 基金项目: 重庆市自然科学基金面上项目(CSTB2024NSCQ-MSX1192)
详细信息
    作者简介:

    刘燕,博士,正高级工程师,主要从事国土空间规划、土地资源管理研究 .

    通信作者: 刘晓瑜,注册城乡规划师,正高级工程师; 
  • 中图分类号: X22

Evolution Pattern and Zoning Utilization Models of Steep-Slope Farmland in the Three Gorges Reservoir Area——A Case Study of Wanzhou District

  • 摘要:

    坡耕地是三峡库区农业生产的基础性资源,也是平衡区域粮食安全与生态安全的关键载体。其中,陡坡耕地面临生态保护与生计保障的双重压力,开展其分类保护利用研究具有重要现实意义。以三峡库区万州区超过15°的陡坡耕地为研究对象,依托2010-2025年多期国土变更调查、数字高程模型(DEM)及社会经济数据,采用坡度细分、动态变化分析、景观格局分析等方法,系统探究陡坡耕地数量变化、空间格局演变及利用转型特征,并进一步构建了差异化分区利用模式。结果表明:① 2010-2025年,万州区陡坡耕地呈现面积减少、占比减少的趋势,陡坡耕地面积累计减少16 054.39 hm2,占全区耕地面积比重从66.21%下降至63.40%,2016-2020年缩减速率最快;②陡坡耕地的布局呈现显著的分级分异特征,超60%分布于400~800 m中海拔区域,约70%集中于15°~25°坡度范围,99%位于距离聚落300 m以内区域;③空间格局整体向“破碎化、离散化”转变,大斑块指数(Large Patch Index,LPI)、平均斑块大小(Mean Patch Size,MPS)、聚集度(Aggregation Index,AI)及平均最邻近距离(Mean Nearest Neighbor Distance,MNN)4项核心景观指数持续下降,且不同海拔区域演变差异明显;④坡耕地土地利用转型发生根本性转变,2010-2015年以建设占用为主导,2016-2020年以农业结构调整为重点,2021-2025年主要变化为林地、园地等用地,以生态修复与生态经济转型为核心。基于上述结果,将万州区陡坡耕地划分为生计保障型、生态经济型、生态保护型3大分区,构建差异化利用模式与管控保障体系。

  • 加载中
  • 图 1  理论分析框架图

    图 2  万州区区位图

    图 3  3×3局部移动窗口示意图

    图 4  坡度计算窗口权重赋值

    图 5  2010-2025年研究区坡耕地动态演变

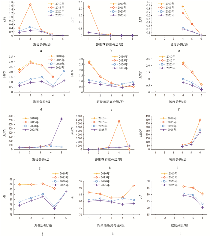
    图 6  各海拔、坡度和距聚落距离分级下坡耕地景观格局指数变化

    图 7  2010-2025年研究区陡坡耕地转出地类示意图

    图 8  不同海拔、坡度、距聚落距离分级下坡耕地转换情况

    表 1  2010-2025年万州区全域水平上的景观格局指数

    年份 LPI MPS MNN AI
    2010 3.036 6 2.964 4 43.769 1 87.157 5
    2015 3.004 0 2.828 9 43.596 1 87.130 8
    2020 0.849 3 1.249 7 35.268 2 81.746 8
    2025 0.379 0 0.969 3 34.608 9 80.786 3
    下载: 导出CSV
  • [1] SHEN Y L, GU J, LIU G, et al. Predicting Soil Erosion and Deposition on Sloping Farmland with Different Shapes in Northeast China by Using 137Cs[J]. Catena, 2023, 229: 107238. doi: 10.1016/j.catena.2023.107238
    [2] ZHANG J L, SHI D M, JIN H F, et al. Characteristics of Cultivated Layer Soil Shear Strength for Sloping Farmland in Response to Soil Erosion in the Three Gorges Reservoir Area, China[J]. Catena, 2022, 215: 106304. doi: 10.1016/j.catena.2022.106304
    [3] XIAO M J, ZHANG Q W, QU L Q, et al. Spatiotemporal Changes and the Driving Forces of Sloping Farmland Areas in the Sichuan Region[J]. Sustainability, 2019, 11(3): 906. doi: 10.3390/su11030906
    [4] 刘云溪, 王学, 张富尧, 等. 中国山区未耕种耕地的空间差异、影响因素与政策启示[J]. 地理研究, 2025, 44(11): 3165-3179.
    [5] 程旭东, 陈美球, 赖昭豪, 等. 山区县耕地"非粮化"空间分异规律及关联因素[J]. 农业工程学报, 2023, 39(2): 203-211.
    [6] 谢花林, 欧阳振益, 陈倩茹. 耕地细碎化促进了耕地"非粮化"吗——基于福建丘陵山区农户的微观调查[J]. 中国土地科学, 2022, 36(1): 47-56.
    [7] 李辉丹, 史东梅, 夏蕊, 等. 基于地理探测器的重庆坡耕地时空格局演变特征及驱动机制[J]. 农业工程学报, 2022, 38(12): 280-290.
    [8] 刘家欣, 杨庆媛, 苏康传, 等. 耕地利用隐性形态耦合协调及驱动力研究——以重庆市为例[J]. 西南大学学报(自然科学版), 2025, 47(4): 41-57. doi: 10.13718/j.cnki.xdzk.2025.04.004
    [9] 陈正发, 李靖, 段青松, 等. 基于USLE模型的云南省坡耕地土壤侵蚀和养分流失评价[J]. 农业工程学报, 2022, 38(16): 124-134.
    [10] 周伟, 石吉金, 范振林. 基于粮食安全和生态安全的耕地生态保护研究[J]. 中国土地科学, 2023, 37(7): 125-134.
    [11] 袁源, 王亚华, 徐萍. "非粮化"治理视角下的耕地用途管制: 应对逻辑与体系构建[J]. 自然资源学报, 2024, 39(4): 942-959.
    [12] 李均力, 姜亮亮, 包安明, 等. 1962-2010年玛纳斯流域耕地景观的时空变化分析[J]. 农业工程学报, 2015, 31(4): 277-285.
    [13] 赵雯欣, 李阳兵, 王清荣, 等. 三峡库区山区乡村功能多元化与坡耕地演变的耦合关系[J]. 生态学报, 2024, 44(7): 2800-2816.
    [14] 夏春华, 李阳兵, 曾晨岑, 等. 三峡库区坡耕地利用转型及其社会经济-生态环境影响——以奉节县为例[J]. 生态学报, 2023, 43(7): 2688-2702.
    [15] 刘东岳, 董文卓, 勾容, 等. 重庆三峡库区耕地利用绿色转型时空格局及驱动因素研究[J]. 西南大学学报(自然科学版), 2025, 47(7): 143-156. doi: 10.13718/j.cnki.xdzk.2025.07.013
    [16] 赵冰琴, 胡鑫凯, 高儒章, 等. 碎石含量对三峡库区坡耕地土壤氮磷流失特征的影响[J]. 农业工程学报, 2024, 40(3): 127-137.
    [17] 顾朝军, 黄立文, 冉玲玲, 等. 三峡库区不同种植制度的坡地水土流失特征[J]. 三峡生态环境监测, 2024, 9(2): 112-116.
    [18] 曾晨岑, 李阳兵, 夏春华, 等. 基于聚落—坡耕地—果园空间耦合的三峡库区腹地人—地—业多样性分析[J]. 中国农业资源与区划, 2023, 44(6): 119-134.
    [19] 梁鑫源, 李阳兵. 三峡库区"耕—果"转换时空变化特征及其启示——以草堂溪流域为例[J]. 自然资源学报, 2019, 34(2): 385-399.
    [20] 蒋笑. 基于地形因子提高土地覆被分类精度的方法及应用[D]. 开封: 河南大学, 2018.
    [21] 程维明, 高晓雨, 马廷, 等. 基于地貌分区的1990-2015年中国耕地时空特征变化分析[J]. 地理学报, 2018, 73(9): 1613-1629.
    [22] 申杨, 龚健, 李晓丹, 等. 武汉城市圈耕地利用变化驱动机制研究[J]. 中国土地科学, 2023, 37(8): 123-133.
  • 加载中
图( 8) 表( 1)
计量
  • 文章访问数:  54
  • HTML全文浏览数:  54
  • PDF下载数:  9
  • 施引文献:  0
出版历程
  • 收稿日期:  2026-02-09
  • 刊出日期:  2026-04-20

三峡库区陡坡耕地格局演变及分区利用模式——以万州区为例

    通信作者: 刘晓瑜,注册城乡规划师,正高级工程师; 
    作者简介: 刘燕,博士,正高级工程师,主要从事国土空间规划、土地资源管理研究
  • 重庆市规划和自然资源调查监测院 自然资源部国土空间规划监测评估预警重点实验室,重庆 400020
基金项目:  重庆市自然科学基金面上项目(CSTB2024NSCQ-MSX1192)

摘要: 

坡耕地是三峡库区农业生产的基础性资源,也是平衡区域粮食安全与生态安全的关键载体。其中,陡坡耕地面临生态保护与生计保障的双重压力,开展其分类保护利用研究具有重要现实意义。以三峡库区万州区超过15°的陡坡耕地为研究对象,依托2010-2025年多期国土变更调查、数字高程模型(DEM)及社会经济数据,采用坡度细分、动态变化分析、景观格局分析等方法,系统探究陡坡耕地数量变化、空间格局演变及利用转型特征,并进一步构建了差异化分区利用模式。结果表明:① 2010-2025年,万州区陡坡耕地呈现面积减少、占比减少的趋势,陡坡耕地面积累计减少16 054.39 hm2,占全区耕地面积比重从66.21%下降至63.40%,2016-2020年缩减速率最快;②陡坡耕地的布局呈现显著的分级分异特征,超60%分布于400~800 m中海拔区域,约70%集中于15°~25°坡度范围,99%位于距离聚落300 m以内区域;③空间格局整体向“破碎化、离散化”转变,大斑块指数(Large Patch Index,LPI)、平均斑块大小(Mean Patch Size,MPS)、聚集度(Aggregation Index,AI)及平均最邻近距离(Mean Nearest Neighbor Distance,MNN)4项核心景观指数持续下降,且不同海拔区域演变差异明显;④坡耕地土地利用转型发生根本性转变,2010-2015年以建设占用为主导,2016-2020年以农业结构调整为重点,2021-2025年主要变化为林地、园地等用地,以生态修复与生态经济转型为核心。基于上述结果,将万州区陡坡耕地划分为生计保障型、生态经济型、生态保护型3大分区,构建差异化利用模式与管控保障体系。

English Abstract

  • 开放科学(资源服务)标识码(OSID):

  • 耕地保护是关乎国家粮食安全与国计民生的重大政治任务,是保障社会稳定、推动农业可持续发展的核心基石。坡耕地作为山地丘陵区农业生产的基础性资源,是指分布于山地区域、地面高差大、水土流失严重、作物产量偏低的耕地[1],其分布广泛且利用方式复杂,既是山地丘陵水土流失的主要策源地,也是山区农户生计的重要依托,在粮食安全保障与生态环境保护中占据关键地位。坡耕地因地形起伏较大、土壤抗蚀性弱,易产生土壤与养分流失,不仅会导致土地生产力持续下降,还会加剧区域生态环境恶化,成为制约山地丘陵区农业高质量发展的重要因素[2-3]

    近年来,坡耕地利用与保护研究已成为研究热点,国内外学者围绕坡耕地开展了多维度深入探讨:一是利用现状与动态变化研究,重点分析坡耕地数量增减[4]、空间分布[5],探讨劳动力转移、城镇化等因素的影响[6];二是功能演变与转型研究[7],分析坡耕地生产、社会功能等的时空变化及转型机制[8];三是生态效应研究,聚焦坡耕地水土流失、土壤肥力退化等问题,量化不同利用方式的生态影响[9-10];四是保护利用模式研究,结合区域条件提出退耕还林、生态梯田等协同发展路径[11]。研究方法上,依托3S技术、景观生态学等学科交叉优势[12],为坡耕地精细化研究提供了技术支撑。

    在三峡库区这一特殊地理单元,坡耕地的战略价值与利用矛盾更为突出:一方面,库区山地广布、平地稀缺,长期以来人地矛盾突出,坡耕地既是库区农户口粮与生计的核心依托,也承载着农户基本生计保障功能,还是区域耕地占补平衡和粮食安全考核的基础支撑[13]。另一方面,作为长江上游重要生态屏障的核心组成部分,坡耕地的利用状况直接关乎库区水土流失防控、生态系统稳定及长江流域生态安全。已有研究证实,三峡库区坡耕地演变受自然、社会经济、政策等多因素协同作用,主要向林地、园地转变[14],耕地绿色转型处于积极发展阶段[15]。有学者深入研究了三峡库区坡耕地水土流失问题[16-17],并明确高程、地形起伏度等自然因素与政策、劳动力转移等人为因素是核心驱动[18]。实践表明,通过因地制宜的利用与布局优化,坡耕地可作为“经果林上山、耕地下山”空间置换策略的重要载体,推动农业结构调整实现土地利用效益最大化,促进生态保护与粮食生产协同发展。随着乡村振兴战略与生态保护红线政策深入实施,坡耕地的生态保护与合理利用成为协调丘陵、山地地区人地关系的关键,直接决定着库区农民生计、粮食安全及生态安全[19]。在当前最严格的耕地保护制度下,三峡库区坡耕地保护面临粮食安全保障与生态环境保护的双重压力。因此,系统开展坡耕地分类保护利用研究,重视坡耕地的生态脆弱性与生产功能性,推动其从“负重发展”向“提质增效”转变,具有重要且紧迫的现实意义。

    尽管现有研究已较为丰富,但针对三峡库区陡坡耕地的研究仍存在一定局限:一是在坡度分级上,多以25°为最高阈值,未对超过25°的陡坡进行精细化分级,且未将15°~25°(本研究用~表示范围时,均表示不包含左端数值,包含右端数值)水土流失敏感区间纳入陡坡范畴,难以支撑差异化决策;二是在演变特征研究上,多聚焦宏观长时序分析,缺乏2010-2025年短周期、高密度时点的动态追踪,难以捕捉政策强化背景下的演变规律;三是在利用模式上,多为单一生态或经济导向,未充分结合分级分异特征与农户生计需求,针对性不足。

    万州区作为三峡库区腹心地带的典型区县,耕地面积位居重庆前列,超过15°的陡坡耕地占区内耕地总面积比例超60%,是三峡库区陡坡耕地分布的重点区域。该区陡坡耕地生态脆弱,且受城镇化、劳动力转移等多重因素影响,利用方式变化显著,生态保护与生计保障矛盾突出,具备典型研究价值。基于此,本研究以万州区超过15°的坡耕地为研究对象,创新构建陡坡耕地坡度细分方法,依托多期国土变更调查数据系统分析其数量、空间及景观格局演变特征,建立科学的分区分类保护利用体系,旨在为西南山区陡坡耕地精细化保护与高效利用提供理论依据和技术支撑。

  • 学界与实践领域普遍将超过25°的耕地界定为陡坡耕地。但从生态保护的全域性与完整性来看,仅以25°作为陡坡耕地的界定标准存在管控盲区。根据《土壤侵蚀分类分级标准》(SL 190—2007),15°~25°区间的耕地在未采取有效水土保持措施的情况下,其水土流失强度较不超过15°耕地呈显著跃升态势,土壤侵蚀达到强烈等级。三峡库区15°~25°坡度范围的耕地占库区耕地总面积的比重达25.61%,是区域水土流失的重要策源地,其生态状况直接关乎长江上游生态屏障的稳固性。同时,15°~25°耕地的耕作难度较高,农业生产效率与生态保护效益的矛盾日益突出,若不采取科学管控措施,将陷入生态保护目标与粮食安全目标难以实现的两难境地。因此,从生态保护的完整性与前瞻性,以及粮食安全的需要出发,15°~25°耕地应纳入陡坡耕地范畴,实施严格保护与管控。

    此外,从三峡库区的实践需求来看,耕地的利用现状凸显了将超过25°的坡耕地进一步细分的必要性。三峡库区山地广布、平地稀缺,人地矛盾突出,部分超过25°的区域经长期梯田改造与水土保持工程建设,形成了耕作条件相对稳定的地块,成为沿线农户不可或缺的口粮田。据统计,三峡库区超过25°的坡耕地面积占区域耕地总面积的18.37%。这些耕地承载着农户基本生计保障功能,若简单按照“一刀切”的禁止性规定强制其退出农业生产,将直接影响农户口粮安全与区域社会稳定。同时,三峡库区超过25°的耕地内部存在显著异质性:靠近聚落、土壤肥力较好、配套水利设施完善的梯田,具备一定生态承载能力与生产可行性;而远离聚落、坡度陡峭、土壤贫瘠的区域,生态敏感性极高,持续耕作将加剧生态退化,不适宜农业生产活动。因此,仅以25°为界的单一划分模式,无法适配库区耕地利用的复杂现实,需进一步细分,将三峡库区坡耕地细分为25°~35°,超过35°两个等级,结合耕作条件、生态敏感性与生计保障需求,实施差异化管控。

  • 三峡库区陡坡耕地演变的核心驱动因素为劳动力结构转型与自然生态演替,整体呈现“功能弱化—属性衰退—形态转型”的演变规律,且坡度等级、区位条件不同的地块演变速率与路径存在显著差异。

    第一阶段,受青壮年劳动力大规模外流影响,三峡库区农村留守劳动力以老人、妇女为主,劳动能力和耕作效率有限,仅能耕种交通便利、立地条件较好的地块。这直接导致区域陡坡耕地耕种频率下降,部分地块出现季节性撂荒,在耕作季处于闲置状态,虽仍保留耕地基本属性,但因耕种不连续、田间管理粗放,土地生产效率与产出稳定性持续下滑,生产功能逐步弱化,且坡度越陡、距聚落越远的地块,功能弱化速率越快。

    第二阶段,随着撂荒周期延长,耕地土壤理化性质不断退化,加之库区雨量充沛、水热条件充足,闲置地块极易快速滋生杂草与灌木,逐步进入乔灌草杂生的自然演替阶段,耕地属性持续衰退,部分区域灌丛化趋势明显。此时,地块不仅面临土壤板结、有机质含量降低等问题,杂草灌木根系盘结还会大幅增加人工清理、土壤改良及生产设施恢复的难度,人力与物力成本显著攀升,季节性撂荒随之向长期撂荒转变。坡度15°~25°的耕地地块因立地条件相对较好,衰退速率略慢于超过25°的地块。

    第三阶段,若长期撂荒状态持续稳定,自然演替进程将进一步加快,地块可能完全被灌丛、乔木覆盖,实现从耕地到林地的生态转化,永久性退出耕地利用范畴,造成耕地资源总量减少;另有部分地块被人为改造为“非粮化”用地,完成耕地生产功能的结构性转型,同时面临因属性变更被调出耕地保护范围的风险,最终造成陡坡耕地功能转型、永久性流出。

  • 为科学推进陡坡耕地的保护与高效利用,破解生态保护与粮食安全之间的协同难题,需立足区域核心需求,结合各类关键影响因素,对陡坡耕地实行分区保护利用并构建差异化模式。开展陡坡耕地保护利用分区,核心是围绕守护粮食安全底线、筑牢生态安全屏障两大目标,综合考量多重因素,实现陡坡耕地可持续利用。

    地形是陡坡耕地分区划分的基础,其中坡度、海拔直接决定了土地利用的适宜性和生态承载力。一般来说,坡度越高、海拔越高,土壤侵蚀风险越大,耕作越困难,生态也越敏感。坡度和海拔不仅决定了不同区域在粮食安全和生态安全中的功能定位,更是分区划分的核心科学依据。从粮食安全来看,保障农户基本生计和区域粮食供给是陡坡耕地利用的底线,因此分区时需优先考虑耕作条件、农户管理便捷性,明确适合重点发展粮食生产的生计保障型区域;从生态安全来看,长江上游生态屏障的稳固离不开陡坡耕地的生态保育作用,分区时需严格关注区域生态敏感性、土壤侵蚀风险等关键因素,划定生态保护型区域。

    除了上述两类核心导向的考量,分区划分还需兼顾粮食安全与生态安全的协同发展,重点关注地形处于中间梯度、既有一定耕作条件又有生态价值的生态经济型区域。这类区域的划分,核心是考虑其过渡衔接作用,既要避免因片面追求粮食产量而过度开垦、加剧生态退化,也要防止因单纯强调生态保护而完全放弃耕作、影响农户生计和粮食供给。因此,需结合区域特色产业发展潜力,推动坡耕地利用与特色产业深度融合,在保护生态的前提下实现适度生产,这也是平衡双重安全、协调人地关系的关键体现。研究理论框架见图 1

  • 万州区地处三峡库区腹心区域(图 2),位于30°24′-31°15′N、107°55′-108°53′E,辖区面积3 457 km2。区域地貌以山地、丘陵为主,地势起伏剧烈,海拔跨度为175~1 766 m,陡坡地貌占比高,为典型的库区区县。气候属亚热带季风湿润气候,年平均气温17.7 ℃,年降水量达1 200~1 400 mm,且降水集中、强度较大。特殊的气候与地形条件叠加,导致区域陡坡耕地极易发生水土流失,生态敏感性突出。全区耕地总面积位列重庆市各区县第三,其中陡坡耕地占比超60%,是区域农业生产与生态保护的核心载体。2010-2025年间,万州区农业人口占比从45.3%降至32.1%,城镇化与劳动力转换趋势显著。该区域传统农业以粮食种植为主,2015年后受乡村产业结构调整与生态保护政策双重驱动,柑橘、脆李等特色经果林种植面积逐步扩大,乡村旅游、特色农业等新业态快速兴起,直接推动陡坡耕地利用结构发生根本性转变。作为三峡库区的交通枢纽与核心经济区,万州区陡坡耕地的利用演变不仅关乎区域自身粮食安全与生态稳定,更对整个三峡库区的生态屏障建设及农业可持续发展具有重要示范与影响,具备开展陡坡耕地专项研究的典型性与代表性。

  • 1) 土地利用数据:结合全国统一开展的国土变更调查结果与优于1 m分辨率的遥感影像,通过严格的质量控制获取全国陆地国土利用的精准信息,其中耕地地类的现状调查结果为开展坡耕地演变特征研究提供了重要数据基础。本研究采用第二次全国土地调查及其变更调查数据、第三次全国国土调查及其变更调查数据。数据包含地类图斑、坡度、权属等信息。

    2) 地形数据:DEM来源于地理空间数据云平台,分辨率30 m,用于提取坡度、海拔等地形因子。

    3) 社会经济数据:2011-2026年万州区人口、GDP、农业产值、政策文件等统计数据,来源于重庆统计年鉴(https://tjj.cq.gov.cn/zwgk_233/tjnj/)、万州区国民经济和社会发展统计公报(https://www.wz.gov.cn/bmjz_89642/bm/tjj/zwgk_94960/fdzdgknr_94962/tjxx/sjfb/tjgb/)及相关政府部门公开资料。

  • 本研究中15°以下、15°~25°耕地坡度直接采用国土变更调查中耕地坡度等级划分结果。考虑到国土变更调查未对超过25°的陡坡耕地进行细分,本研究采用《国土调查坡度分级图制作技术规定》(TD/T 1072—2022)的坡度细分模型对超过25°的的耕地坡度进行进一步细分。细分方法如下:

    首先,基于1∶5 000 DEM数据,采用3×3局部移动窗口模式,通过计算xy方向偏导数获取单像元坡度值,计算公式如下:

    式中:$ \frac{\partial z}{\partial x}$$ \frac{\partial z}{\partial y}$分别表示xy方向的偏导数;P为坡度。

    然后,采用3×3局部移动窗口模式(图 3),图中e代表不同位置的高程点,G代表两个相邻测点之间的水平距离(格网间距)。中心单元8个邻接单元的权重赋值结果见图 4

  • 采用陡坡耕地利用动态度来分析不同时段数量变化速率,反映区域陡坡耕地数量变化剧烈程度。参考相关研究[21]提出的土地利用动态变化指数模型,陡坡耕地利用动态变化分析公式如下:

    式中:S为研究时段内陡坡耕地利用动态度;Si为检测开始时坡耕地的总面积;ΔSi-j为研究时段流失坡耕地面积;ΔSj-i为研究时段新增坡耕地面积;t为研究时段。

    利用土地利用转移矩阵分析各时段陡坡耕地与其他土地利用类型的转换关系,公式如下:

    式中:Lij为从第i类土地利用类型转换为第j类土地利用类型的面积(hm2),ij=1,2,…,nn为土地利用类型总数。

  • 景观格局指数可系统凝练区域土地利用的空间结构信息,为定量揭示万州区陡坡耕地时空演变特征与内在规律提供可靠支撑。采用ArcGIS空间分析工具,将提取的陡坡耕地景观图与海拔、坡度、距聚落距离等要素进行空间叠加及栅格化处理,生成对应分级的景观分析数据集。结合研究区山地丘陵广布、陡坡耕地空间异质性显著的实际情况,借鉴已有研究成果[12, 22],选取大斑块指数(Large Patch Index,LPI)、平均斑块大小(Mean Patch Size,MPS)、聚集度(Aggregation Index,AI)及平均最邻近距离(Mean Nearest Neighbor Distance,MNN)4大指数,通过Fragstats 4.2软件完成指数测算,分别从斑块规模、集聚程度、离散特征等维度,对研究区陡坡耕地景观格局的动态变化进行定量化解析。

  • 综合考虑区域生态安全格局、农户生计保障需求、地块自然条件及“非粮化”管控等现实因素,将陡坡耕地划分为生计保障型、生态经济型、生态保护型3种类型,通过科学划定与动态优化实现生态保护与农业生产的协调。具体步骤为:首先,以生态优先和底线管控为原则,将超过35°生态敏感区域、15°~25°、25°~35°退耕还林范围及地质灾害高发区纳入生态保护红线严格管控,优先实施生态修复与退耕还林,强化自然恢复与人工修复结合,严控人为耕作干扰,筑牢长江上游生态屏障;其次,在保障生计与适度生产的前提下,对15°~25°、25°~35°中靠近聚落、耕作条件较好的地块保留基础生产功能,确保农户口粮安全,避免因过度退出导致生计风险;最后,结合地块演变阶段、政策调整及空间置换需求,动态优化分区边界与利用模式,提高分区方案的灵活性与可持续性,实现陡坡耕地利用的精细化管理。

  • 2010-2025年,万州区陡坡耕地呈现面积、比例均减少的趋势。2010年陡坡耕地总面积为81 042.08 hm2,2015年增加至81 195.58 hm2,2020年降低至67 690.20 hm2,2025年进一步缩减至64 987.69 hm2,15年间累计减少16 054.39 hm2。陡坡耕地占比呈持续下降趋势,2010年陡坡耕地占全区耕地面积的66.21%,2025年减少至63.40%。2015-2020年,陡坡耕地缩减速率明显加快,期间净减少13 505.38 hm2,动态变化度为12.91%。这一演变轨迹与新一轮退耕还林、国土空间整治等国家宏观战略高度契合,标志着区域发展导向已从“耕地数量扩张”转向“生态优先”。然而,随着易治理耕地的率先退出,剩余陡坡耕地多分布于地形破碎或权属复杂的深山区,治理难度显著上升,致使2020年后面积缩减趋势虽持续但增速明显趋缓。

  • 陡坡耕地面积随海拔增加呈先增后减的变化趋势(图 5)。各时间点的陡坡耕地均主要集中在海拔400~800 m的区域,占比介于66.30%~67.20%;其次分布在海拔0~400 m区域,占比为17.14%~18.01%;海拔800~1 200 m区域分布较少,占比为14.76%~15.01%;超过1 200 m区域分布最少,占比仅为0.64%~0.85%。这一变化与人口聚落的空间分布高度耦合,400~800 m海拔区域是万州区乡村聚落的核心分布区,人口密度较高,对耕地的需求大,且该区域地形相对适宜耕作、分布范围广,是陡坡耕地的主要载体;同时也体现了高海拔区域的限制,高海拔区域因气候寒冷、土壤贫瘠及耕作条件恶劣,开发难度较大,且远离人口聚落,农户耕作意愿低,陡坡耕地分布较少。

    根据距聚落距离分级的统计结果(图 5)可知:陡坡耕地主要集中在≤100 m、100~300 m距离级,面积占比98.98%~99.52%。随着距聚落距离增加,陡坡耕地急剧减少。远离聚落的陡坡耕地因劳动力投入不足、耕作半径过大,多被撂荒或转为生态用地。

    根据坡度分级的统计结果(图 5)可知:15°~25°坡度级占比最高且最为稳定,2010-2025年维持在68.18%~71.37%之间;25°~35°坡度级占比次之,且呈缓慢下降趋势,从2010年的30.44%降至2025年的27.14%;超过35°坡度级占比最低,仅在1.34%~1.48%之间轻微波动。结合耕作适宜性与生态政策要求分析,15°~25°及25°~35°坡度区域地形起伏度相对平缓,土壤条件与耕作便利性较好,仍具备基础耕作条件,契合农户耕作需求;超过35°坡度区域地形陡峭,水土流失风险极高,且耕作难度大、成本高昂,农户耕作意愿极低,同时受生态保护政策严格管控,其耕地规模始终维持在极低水平,占比长期处于低位。

  • 2010-2025年,万州区陡坡耕地景观格局演变态势显著,其LPIMPSAIMNN 4项核心景观指数整体均呈持续下降趋势,且变化过程表现出明显的阶段性差异,直观反映出研究区陡坡耕地景观由集中连片状态向破碎分散格局快速转变的核心特征(表 1)。

    2010年,万州区陡坡耕地分布呈现出高度集中的特点,LPIMPSAI均处于整个研究时段的最高水平,分别达到3.036 6、2.964 4和87.157 5,斑块连片集中化程度较高,空间分布上主要集中于北部、中部的山地丘陵区域。

    2015年,各项景观格局指标呈现小幅波动变化,未出现显著突变。其中,LPI降至3.004 0,MPS缩减至2.828 9,AI为87.130 8,MNN为43.596 1,整体维持着相对稳定的空间格局。

    2020年,万州区陡坡耕地分布范围进一步收缩,各核心景观指数均出现大幅下降,陡坡耕地景观破碎化进程明显加快。此时,LPIMPSAI分别降至0.849 3、1.249 7、81.746 8,MNN降至35.268 2,斑块分布更趋零散,空间集聚特征显著弱化。

    2025年,研究区陡坡耕地景观破碎化程度进一步加剧,4项核心指数延续下降态势且维持在较低水平表示LPIMPSAI分别为0.379 0、0.969 3、80.786 3,MNN为34.608 9。该阶段区域内仅少数乡镇保留少量分散的陡坡耕地斑块,且剩余斑块主要集中在交通便利、距离居民聚落较近的区域。

    从各项指数的变化意义来看,LPIMPS的持续下降,表明万州区陡坡耕地的优势斑块不断萎缩,单个斑块的规模持续减小,大面积集中连片的陡坡耕地被逐步分割,斑块完整性遭到破坏;AI的持续下降,反映出陡坡耕地的空间集聚程度不断降低,斑块在区域内的分布逐渐趋于离散,连片分布特征进一步弱化;MNN的持续下降,意味着剩余斑块间的平均空间距离不断缩短,在整体景观破碎化的大背景下,剩余陡坡耕地呈现出局部邻近、小范围集聚的分布特征。这一变化与“斑块主要集中在交通便利、距离聚落较近的区域”的研究结论相互印证,进一步佐证了陡坡耕地空间格局的演变规律。

  • 海拔分级是决定万州区陡坡耕地利用变化差异的核心因素。2010-2025年,该区陡坡耕地景观格局演变呈现显著的海拔分异特征(图 6)。

    结合海拔分级分析可知,各海拔区域的LPIMPSMNNAI 4项核心景观指数变化态势虽存在差异,但整体均呈现破碎化加剧的一致趋势。其中低、中海拔区域耕作条件优越,受人类活动影响更为显著,景观指数变化幅度较大;高海拔区域受自然条件制约,景观格局演变幅度相对平缓,但破碎化程度始终处于较高水平。

    0~400 m低海拔区域,陡坡耕地斑块规模中等,其景观格局演变呈现清晰的阶段性特征。与2010年相比,2015年各项景观指标仅出现小幅波动,整体格局保持稳定;与2015年相比,2020年MPSAI大幅下降、MNN明显缩短,斑块破碎化进程快速加剧;与2020年相比,2025年恶化态势持续延续,MPSAI进一步走低,剩余斑块分布更趋零散,空间集聚性不断弱化。

    400~800 m中海拔区域是万州区陡坡耕地的核心分布区,各项景观指数绝对值均为4个海拔区域中最高,其演变趋势与区域总体特征高度契合。2010年,该区域斑块连片集中程度达到最高;与2010年相比,2015年各项指数小幅回落,景观格局未发生显著突变;与2015年相比,2020年各项核心指数出现断崖式下降,破碎化进程急剧加快;与2020年相比,2025年指数持续走低,核心优势斑块不断萎缩,连片分布特征基本消失。

    800~1 200 m中高海拔区域,陡坡耕地斑块规模中等,相较于其他海拔区域,其景观格局演变幅度相对平缓。与2010年相比,2015年各项景观指标基本持平,格局稳定性较强;与2015年相比,2020年MPSAI明显下降、MNN大幅缩短,斑块破碎化程度逐步加剧;与2020年相比,2025年区域景观持续调整,斑块规模进一步缩小,空间分布更趋离散。

    超过1 200 m高海拔区域表示陡坡耕地分布极少、斑块规模小,破碎化程度始终最高。

  • 2010-2025年,万州区陡坡耕地转出地类涵盖林地、草地、园地、建设用地及其他农用地等类型,不同时段与不同海拔分级的转换特征差异显著(图 7)。根据现有转换监测数据,2010-2015年研究区陡坡耕地总转出面积为413.75 hm2,2021-2025年总转出面积达4 553.46 hm2

    从功能转换视角来看,2010-2015年陡坡耕地转换以生产功能向生活与建设功能转变为核心特征。该时段建设用地类转换占比高达95.12%,其中交通运输用地、城市、建制镇、村庄为主要转出方向,向生态功能类(林地、草地)转换面积仅12.69 hm2,占比3.07%,其余转换流向为其他农用地。2021-2025年,陡坡耕地功能转型方向发生明显转变,生产功能向生态功能、生态经济功能转换占据主导。向林地、草地转出面积合计2 852.15 hm2,占该时段总转换面积的62.64%;向园地转出面积912.69 hm2,占该时段总转换面积的20.04%;向生活与建设功能、其他农用地转出面积分别占该时段总转换面积的11.86%、5.46%。

    分时段转换特征与驱动因素差异明显。2010-2015年,陡坡耕地转出面积413.75 hm2,转换以城镇开发、村庄建设与交通设施建设占用为绝对主导,生态类用地转换规模小,反映该阶段区域城镇化与基础设施建设对陡坡耕地的占用作用显著。2021-2025年,转出面积攀升至4 553.46 hm2,林地转换占据主体,园地转换规模同步大幅增加,生态保护修复与特色农业发展成为核心驱动。乡村振兴战略落地与生态经济发展导向下,陡坡耕地生态化、产业化转型特征尤为突出。

  • 空间上,低海拔、近聚落、15°~25°坡度区域始终是转换核心区,高海拔、远聚落、超过35°坡度区域受自然条件与区位限制,转换活动平稳;时序上,从早期以建设占用为主导,逐步过渡到中后期以生态修复与生态经济转型为核心,林地、园地成为主流转出地类(图 8)。

    从海拔分级视角来看,各海拔梯度陡坡耕地转换格局分化明显。2010-2015年,不超过800 m的低海拔区域是陡坡耕地转出的核心区域,高海拔分级转出面积微乎其微,且转出地类以建设用地为主,契合低海拔区域城镇化、交通建设快速推进的特征。2021-2025年,400~800 m海拔区域转出面积最大,林地、园地为核心转出地类;0~400 m海拔区域建设用地、园地、林地转出均保持较高规模;800~1 200 m海拔区域以林地转换为主,建设用地、园地转出规模次之;超过1 200 m高海拔区域转出面积较小,转换类型相对单一,进一步体现出自然条件与开发强度对陡坡耕地转换的约束作用。

    从坡度梯度的整体演变规律来看,15°~25°坡度区域始终是陡坡耕地转出的核心区域,2010-2015年、2016-2020年、2021-2025年转出面积分别达到360.96 hm2、19 799.10 hm2、2 572.36 hm2,在同期总转出面积中均占据主导地位,承接了城镇化建设、生态修复、特色农业发展等多重功能转换需求;25°~35°坡度区域在研究中后期成为生态功能转型的重要区域,2010-2015年仅转出51.78 hm2,2016-2020年、2021-2025年转出面积大幅提升至11 923.14 hm2、1 840.09 hm2,转出规模与生态转换占比显著提升;超过35°坡度区域因坡度大、耕作与开发条件差,研究期间转出规模始终处于低位,2010-2015年、2016-2020年、2021-2025年转出面积分别仅为1.02 hm2、755.96 hm2、141.00 hm2,始终以生态转换为主,建设占用与农业产业化转换规模极小。研究时段内,陡坡耕地转出从早期低坡度区域的建设占用主导,逐步转变为全坡度分级的生态保护与生态经济功能转型主导,2010-2015年15°~25°坡度区域建设类用地转换占比超90%,而2016-2020年、2021-2025年各坡度分级林地、园地转换合计占比均超过80%。

    从与距聚落距离的整体演变来看,结合3个时段转出数据及距聚落距离特征,可总结规律如下:一是离聚落越近,耕地转出量越多,且主要受交通及建设占用驱动。距聚落距离不超过300 m的近聚落区域是转出核心区,2010-2015年、2016-2020年、2021-2025年转出面积占比分别达99.70%、99.15%、96.90%,远高于距聚落距离超过300 m的远聚落区域。二是转出地类随时段呈现明显转型,且近聚落区域的转出导向尤为突出。2010-2015年,近聚落陡坡耕地转出以交通运输用地、城市及建制镇用地为主,占比81.78%,契合城镇扩张与交通建设的占用需求;2016-2020年转向林地的面积激增,占比68.51%,生态退耕成为主导方向,即便如此,近聚落区域仍是转出集中区;2021-2025年转出规模回落,因生态保护政策持续发力,林地仍为主要去向。三是距聚落距离超过300 m的远聚落区域转出规模极小且集中于低强度用地类型,因远离城镇与交通干线,建设占用需求极低,耕地转出规模较小。

  • 结合万州区陡坡耕地演变特征、资源禀赋差异及粮食安全、产业发展、生态保护协同等需求,构建生计保障型、生态经济型、生态保护型3类分区利用模式,实现坡耕地科学利用。

  • 主要分布于15°~25°坡度级、海拔0~800 m及距聚落距离不超过100 m的区域,集中在农户聚居点周边、地形相对平缓的区域,如熊家镇、小周镇等粮食主产乡镇的近郊区域。该区域土壤肥力较高、灌溉条件相对便利,耕作可达性强,且涉及农户口粮保障需求,耕地保护意愿强烈。以保障区域口粮安全为核心,维持陡坡耕地的基本生产功能,在生态承载范围内适度开展农业生产。在严格落实耕地保护制度、优先划入永久基本农田储备区并坚决遏制“非农化”、防止“非粮化”的基础上,将提高耕地质量和农业综合生产能力作为核心目标。治理上采取工程措施与农艺措施协同强化的策略:一方面,以国土整治、高标准农田建设等项目为依托,大力推进坡改梯等工程,并系统配套坡面截排水沟、蓄水池等小型水保工程,构建一体化的径流调控体系;另一方面,深入推广等高耕作、沟垄种植、秸秆覆盖等保护性耕作技术,结合测土配方施肥、增施有机肥、种植绿肥等土壤培肥方式,持续提升土壤有机质含量、蓄水保肥能力和抗蚀性。同时,建立健全耕地质量与生态状况长期定位监测网络,对土壤肥力、侵蚀模数等进行动态监测与评价。在政策层面,进一步加大对该区域种粮农户的补贴力度,优化耕地地力保护补贴、农机购置与应用补贴等政策导向,鼓励家庭农场、专业合作社等适度发展规模经营,并加强生态友好型农业技术的培训与推广。

  • 集中在25°~35°坡度级、海拔400~1 200 m及距聚落距离100~600 m的区域,涵盖河谷丘陵及低山区域,如甘宁镇、龙沙镇等特色农业主产区。该区域地形条件适中,交通相对便利,产业基础较好,且生态敏感性中等,适合发展生态经济型产业。以空间功能置换为核心,实施空间功能优化,对现有耕地,重点引导其从传统粮食生产向生态经济型特色林果业转型。因地制宜规模化发展具有水土保持功能的特色经果林,如柑橘、脆李等,并配套建设必要的节水灌溉设施、田间道路和产后处理设施。严格推行等高植物篱笆、果园生草覆盖等水土保持种植模式,严禁顺坡耕作和全面清耕,推广病虫害绿色防控并用有机肥替代部分化肥,保障产品生态品质。鼓励在条件适宜区域,结合经果林基地,依法依规、合理利用林下空间,适度发展林下种植、养殖或森林景观利用,打造集生态采摘、休闲观光于一体的农旅融合项目,但必须严格控制建设规模和人为扰动强度。对土层瘠薄、地块破碎、水源短缺或灾害风险高的区域,应优先纳入退耕还林还草计划,稳妥有序实施生态恢复。

  • 主要位于超过35°坡度级、海拔不低于1 200 m及距聚落距离超过600 m的区域,集中在中山、深山区,如梨树乡、普子乡等生态敏感区域。该区域海拔高、坡度陡,水土流失风险极高,生态承载力弱,不适宜农业生产活动。以生态保护为首要目标,退出农业生产功能,恢复林草植被,筑牢三峡库区生态安全屏障。全面落实退耕还林还草政策,严格遵循自然恢复为主、人工修复为辅的原则,以封山育林育草为主要手段,辅助以人工点播、补植乡土树种(如马尾松、柏木)和优质牧草(如紫花苜蓿),促进快速自然演替,构建稳定、多样、高效的林草复合生态系统。退耕后地块主要界定为生态空间,其主导功能明确为水源涵养、水土保持等生态服务,并可在依法依规严格监管下,利用其形成的森林、草原景观开展远观式生态旅游、自然教育和科普活动,但严禁进行可能破坏植被和地表的开发建设。建立长效管护与生态补偿机制建立措施包括:一是完善退耕农户直补政策,探索市场化、多元化的生态补偿渠道;二是开发生态护林员等公益性岗位,引导当地农户参与后期管护;三是运用遥感、物联网等技术加强植被恢复成效、水土流失状况、森林草原火灾和病虫害的动态监测;四是强化执法监督,依法严厉打击任何形式的非法复垦、盗伐林木、破坏植被等行为。

  • 本研究以三峡库区万州区超过15°的陡坡耕地为研究对象,依托2010-2025年多期国土变更调查、DEM及社会经济数据,采用坡度细分、动态变化分析、景观格局分析等方法,系统探究陡坡耕地数量变化、空间格局演变及利用转型特征,并构建差异化分区利用模式,得出以下主要结论。

    1) 数量变化呈现总量、占比均缩减的整体态势,且具有显著分级分异特征。2010-2025年,万州区陡坡耕地总面积累计减少16 054.39 hm2,其占全区耕地面积的比重从66.21%下降至63.40%,其中2015-2020年缩减速率最快(动态变化度为12.91%)。分级来看,海拔上主要集中在400~800 m中海拔区域,坡度上以15°~25°等级为核心,区位上主要分布在距聚落距离不超过300 m的近聚落区域,高海拔、高坡度、远聚落区域陡坡耕地分布极少且持续萎缩。

    2) 空间格局整体向“破碎化、离散化”转型,且存在明显海拔分异。2010-2025年,陡坡耕地LPIMPSAIMNN 4项核心景观指数持续下降,从集中连片分布逐步转变为零散分布;低中海拔(0~800 m)区域受人类活动影响显著,景观破碎化演变幅度较大,高海拔(>1 200 m)区域破碎化程度始终较高但演变平缓,400~800 m中海拔核心区演变趋势与区域总体特征高度契合。

    3) 利用转型实现根本性转变,时序差异与分级分异特征突出。2010-2015年,陡坡耕地转换以建设占用为主,建设用地转换占比95.12%,核心是生产功能向生活、建设功能转型;2021-2025年,转型以生态修复与生态经济发展为主,林地、园地转换合计占比超80%,生产功能向生态功能、生态经济功能转型成为主导。空间上,低海拔、近聚落、15°~25°坡度区域始终是转换核心区,高海拔、远聚落、超过35°坡度区域转换活动温和且以生态转换为主。

    4) 基于演变特征与区域需求,构建了3种差异化分区利用模式。结合万州区陡坡耕地资源禀赋、生态敏感性及农户口粮保障需求,划分出生计保障型、生态经济型、生态保护型3类区域,分别对应生计保障优先、生态与经济双赢、生态保护优先的核心导向,形成了符合区域实际、可操作的陡坡耕地精细化保护利用体系。

  • 本研究虽系统揭示了万州区陡坡耕地的演变特征与分区利用路径,但仍存在一定局限:一是数据层面,主要依托国土变更调查与统计数据,对农户耕作意愿、地块土壤肥力动态变化等微观数据的获取不足,难以量化微观主体行为对陡坡耕地演变的影响;二是研究尺度层面,聚焦万州区全域,未针对不同乡镇、不同地貌类型开展更精细化的对比研究,对区域内部演变差异的解析仍有提升空间;三是模式优化层面,构建的分区利用模式侧重于宏观导向,对模式落地的具体技术参数、政策保障细节(如生态补偿标准、土地流转机制)探讨不够深入。

    基于以上局限,未来可从3个方面开展进一步研究:一是补充微观调研数据,通过农户访谈、地块采样等方式,量化农户耕作意愿、农业技术应用对陡坡耕地演变的影响,完善驱动机制研究;二是细化研究尺度,聚焦不同地貌类型、不同乡镇的陡坡耕地,开展对比分析,揭示区域内部演变差异及形成机制;三是优化分区利用模式,结合实地调研结果,细化各分区的技术路径与政策保障措施,明确生态补偿标准、土地流转流程等具体内容,增强模式的可操作性与可持续性。同时,可结合气候变化背景,探讨极端气候对陡坡耕地利用的影响,为模式动态优化提供支撑。

参考文献 (22)

目录

/

返回文章
返回