留言板

尊敬的读者、作者、审稿人, 关于本刊的投稿、审稿、编辑和出版的任何问题, 您可以本页添加留言。我们将尽快给您答复。谢谢您的支持!

油菜绿肥还田时期对重庆奉节烟区土壤肥力及烤烟产质量的调控效应

上一篇

下一篇

陈天才, 贾栋森, 姜光平, 等. 油菜绿肥还田时期对重庆奉节烟区土壤肥力及烤烟产质量的调控效应[J]. 植物医学, 2026, 5(1): 75-82. doi: 10.13718/j.cnki.zwyx.2026.01.008
引用本文: 陈天才, 贾栋森, 姜光平, 等. 油菜绿肥还田时期对重庆奉节烟区土壤肥力及烤烟产质量的调控效应[J]. 植物医学, 2026, 5(1): 75-82. doi: 10.13718/j.cnki.zwyx.2026.01.008
CHEN Tiancai, JIA Dongsen, JIANG Guangping, et al. Effects of Green Manure Rape Incorporation Timing on Soil Fertility and Flue-cured Tobacco Yield and Quality in Chongqing Fengjie Tobacco-Growing Areas[J]. PLANT HEALTH AND MEDICINE, 2026, 5(1): 75-82. doi: 10.13718/j.cnki.zwyx.2026.01.008
Citation: CHEN Tiancai, JIA Dongsen, JIANG Guangping, et al. Effects of Green Manure Rape Incorporation Timing on Soil Fertility and Flue-cured Tobacco Yield and Quality in Chongqing Fengjie Tobacco-Growing Areas[J]. PLANT HEALTH AND MEDICINE, 2026, 5(1): 75-82. doi: 10.13718/j.cnki.zwyx.2026.01.008

油菜绿肥还田时期对重庆奉节烟区土壤肥力及烤烟产质量的调控效应

  • 基金项目: 重庆市烟草公司科技项目(B20232NY1306、B20251NY1304)
详细信息
    作者简介:

    陈天才,硕士,高级农艺师,主要从事烟草栽培和管理研究 .

    通讯作者: 尹朝先,农艺师
  • 中图分类号: S572

Effects of Green Manure Rape Incorporation Timing on Soil Fertility and Flue-cured Tobacco Yield and Quality in Chongqing Fengjie Tobacco-Growing Areas

  • 摘要:

    探讨油菜绿肥不同还田时期对重庆烟区土壤肥力及烤烟产质量的影响,为优化绿肥还田技术提供理论依据。2023—2024年在重庆奉节烟区开展田间试验,设置蕾苔期还田(H1)、盛花期还田(H2)、角果发育成熟期还田(H3)、籽粒收获后仅油菜秸秆翻压还田(H4)及冬闲对照(CK)5个处理,测定土壤养分动态、烟叶经济性状、化学成分、协调性及感官品质。H3处理显著提高团棵期和成熟期土壤有机质、水解性氮含量,速效钾增幅为5.57%~48.83%,pH维持稳定;H2处理经济效益最高,每公顷产值达72 882.15元,较对照提高8.45%;H3处理在C3F和B2F等级烟叶中化学协调性及感官品质综合表现最优,氮碱比、糖碱比及施木克值均处于适宜范围。H3处理在改善土壤肥力、维持养分供应稳定性及提升烟叶品质方面综合表现最佳,是适宜重庆奉节烟区的绿肥高效还田时期。

  • 加载中
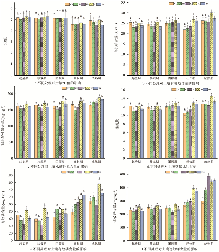
  • 图 1  不同还田时期对烟田土壤的影响

    表 1  油菜不同时期干重以及养分积累量

    时期 干重/(kg·hm-2) 养分积累量/%
    N P K
    蕾苔期 3 662.925 d 2.9 a 0.52 a 4.6 a
    盛花期 1 260.360 c 2.0 b 0.56 a 4.3 a
    角果发育成熟期 15 685.035 a 1.3 c 0.44 b 3.5 b
    籽粒收获后仅油菜秸秆还田 12 035.340 b 1.2 c 0.35 b 2.1 c
    注:同一列不同小写字母表示差异有统计学意义,下同。
    下载: 导出CSV

    表 2  不同还田时期对烟叶产质量的影响

    处理 产量/(kg·hm-2) 上等烟比例/% 均价/(元·kg-1) 产值/(元·hm-2)
    CK 2 015.70 b 71.26 b 33.34 a 67 201.80 b
    H1 2 184.15 a 74.89 a 32.85 b 71 748.45 a
    H2 2 150.55 a 75.81 a 33.89 a 72 882.15 a
    H3 2 105.55 a 72.64 ab 33.68 a 70 914.90 a
    H4 2 079.30 b 70.51 b 32.31 b 67 183.05 b
    下载: 导出CSV

    表 3  不同还田时期对烟叶化学成分含量的影响

    等级 处理 总糖/% 烟碱/% 氯/% 还原糖/% 钾/% 总氮/%
    C3F CK 36.4 a 1.96 b 0.19 b 29.0 a 3.43 a 1.62 b
    H1 36.8 a 2.56 a 0.19 b 33.8 a 3.07 a 2.10 a
    H2 35.3 a 2.34 a 0.22 b 31.0 a 3.46 a 2.31 a
    H3 34.9 a 2.26 a 0.18 b 30.2 a 3.26 a 2.03 a
    H4 34.5 a 1.95 b 0.30 a 32.1 a 3.43 a 1.72 b
    B2F CK 36.2 a 2.90 ab 0.19 b 25.1 b 2.70 a 1.90 a
    H1 37.0 a 2.43 b 0.25 a 31.5 a 1.99 b 1.70 a
    H2 32.4 b 3.76 a 0.17 b 24.1 b 2.44 a 1.75 a
    H3 31.2 b 3.79 a 0.20 a 25.1 b 2.42 a 1.94a
    H4 33.3 b 3.09 ab 0.21 a 25.0 b 2.41 a 1.79 a
    下载: 导出CSV

    表 4  不同还田时期对烟叶化学协调性的影响

    等级 样品代号 钾氯比 糖碱比 氮碱比 施克木值
    C3F CK 18.05 a 18.57 a 0.83 a 3.59 a
    H1 16.16 b 14.38 b 0.82 a 2.80 ab
    H2 15.73 b 15.09 b 0.99 a 2.44 b
    H3 18.11 a 15.44 b 0.90 a 2.75 ab
    H4 11.43 c 17.69 a 0.88 a 3.21 a
    B2F CK 14.21 a 12.48 b 0.66 a 3.50 a
    H1 7.96 c 15.23 a 0.70 a 3.48 a
    H2 14.35 a 8.62 c 0.47 b 2.96 ab
    H3 12.10 b 8.23 c 0.51 b 2.57 b
    H4 11.48 b 10.78 b 0.58 b 2.98 ab
    下载: 导出CSV

    表 5  不同还田时期对烟叶感官质量的影响

    等级 处理 品质指标 特征指标 总分
    香气质 香气量 杂气 刺激性 透发性 柔细度 甜度 余味 浓度 劲头
    C3F CK 6.5 a 6.7 a 6.5 a 6.4 a 6.7 a 6.4 a 6.5 a 6.6 a 6.2 a 6.0 b 64.5 b
    H1 6.5 a 6.4 a 6.6 a 6.4 a 6.5 a 6.5 a 6.5 a 6.4 a 6.1 a 6.0 b 63.9 b
    H2 6.5 a 6.2 a 6.4 a 6.4 a 6.1 b 6.5 a 6.3 a 6.4 a 5.9 a 5.8 b 62.6 b
    H3 6.6 a 6.6 a 6.6 a 6.5 a 6.6 a 6.7 a 6.6 a 6.6 a 6.1 a 6.0 b 64.8 b
    H4 6.4 a 6.6 a 6.2 a 6.4 a 6.7 a 6.5 a 6.5 a 6.5 a 6.1 a 6.0 a 64.0 a
    B2F CK 6.5 a 6.6 a 6.4 a 6.2 a 6.7 a 6.0 a 6.3 a 6.3 a 6.6 a 6.4 a 63.9 a
    H1 6.2 b 6.5 a 6.2 a 6.0 a 6.2 a 6.0 a 6.2 a 6.2 a 6.5 a 6.5 a 62.5 a
    H2 6.5 a 6.5 a 6.2 a 6.0 a 6.4 a 6.3 a 6.3 a 6.0 a 6.5 a 6.3 a 63.0 a
    H3 6.5 a 6.7 a 6.5 a 6.2 a 6.5 a 6.3 a 6.4 a 6.4 a 6.5 a 6.1 a 64.1 a
    H4 6.2 b 6.5 a 6.2 a 6.3a 6.3 a 6.2 a 6.4 a 6.1 a 6.5 a 6.4 a 63.1 a
    下载: 导出CSV
  • [1] 张晓伟, 杨宗云, 倪明, 等. 外源有机肥碳氮比对植烟红壤微环境及烟叶品质的影响[J]. 中国农学通报, 2024, 40(11): 49-54.
    [2] 代先强, 周嵘, 周鑫斌, 等. 重庆市植烟土壤质量评价指标体系的构建与应用[J]. 土壤, 2024, 56(2): 388-397.
    [3] 王智, 杨胜刚, 范业晨, 等. 重庆市石柱县烟田土壤养分空间异质性分布及评价[J]. 西南大学学报(自然科学版), 2023, 45(11): 42-52.
    [4] 王怡针. 绿肥油菜还田时期和施氮量对玉米生长及氮肥利用的影响[D]. 天津: 天津农学院, 2021.
    [5] 国家林业局. 森林土壤氮的测定: LY/T 1228-2015[S]. 北京: 中国标准出版社, 2015.
    [6] 中华人民共和国农业部. 土壤检测第7部分: 土壤有效磷的测定: NY/T 1121. 7-2014[S]. 北京: 中国农业出版社, 2015.
    [7] 中华人民共和国农业部. 土壤速效钾和缓效钾含量的测定: NY/T 889-2004[S]. 北京: 中国标准出版社, 2005.
    [8] 中华人民共和国农业部. 土壤检测第6部分: 土壤有机质的测定: NY/T 1121. 6-2006[S]. 北京: 中国标准出版社, 2006.
    [9] 王萍, 李静超, 郝东, 等. 不同硫水平区硫素施用量对烤烟硫素利用及产质量的影响[J]. 南方农业学报, 2025, 56(3): 760-771.
    [10] 国家烟草专卖局. 烟草及烟草制品感官评价方法: YC/T 138-1998[S]. 北京: 中国标准出版社, 1998.
    [11] 习向银, 晁逢春, 李春俭. 利用15N示踪法研究土壤氮对烤烟氮素累积和烟碱合成的影响[J]. 植物营养与肥料学报, 2008, 14(6): 1232-1236.
    [12] 代晓燕, 郭春燕, 王海波, 等. 钾肥施用方式对豫西烤烟钾含量及产质量的影响[J]. 中国烟草学报, 2012, 18(3): 42-49.
    [13] 王军, 丁效东, 张士荣, 等. 不同碳氮比有机肥对沙泥田烤烟根际土壤碳氮转化及酶活性的影响[J]. 生态环境学报, 2015, 24(8): 1280-1286.
    [14] 宁诗琪. 种植翻压绿肥对贵州黄壤肥力、微生物群落及烤烟产质量的影响[D]. 重庆: 西南大学, 2024.
    [15] 吴元华. 山东烟田绿肥翻压效果研究[D]. 北京: 中国农业科学院, 2009.
  • 加载中
图( 1) 表( 5)
计量
  • 文章访问数:  214
  • HTML全文浏览数:  214
  • PDF下载数:  30
  • 施引文献:  0
出版历程
  • 收稿日期:  2025-09-25
  • 刊出日期:  2026-02-25

油菜绿肥还田时期对重庆奉节烟区土壤肥力及烤烟产质量的调控效应

    通讯作者: 尹朝先,农艺师
    作者简介: 陈天才,硕士,高级农艺师,主要从事烟草栽培和管理研究
  • 1. 中国烟草总公司 重庆市公司奉节分公司,重庆 404600
  • 2. 西南大学 资源环境学院,重庆 400023
基金项目:  重庆市烟草公司科技项目(B20232NY1306、B20251NY1304)

摘要: 

探讨油菜绿肥不同还田时期对重庆烟区土壤肥力及烤烟产质量的影响,为优化绿肥还田技术提供理论依据。2023—2024年在重庆奉节烟区开展田间试验,设置蕾苔期还田(H1)、盛花期还田(H2)、角果发育成熟期还田(H3)、籽粒收获后仅油菜秸秆翻压还田(H4)及冬闲对照(CK)5个处理,测定土壤养分动态、烟叶经济性状、化学成分、协调性及感官品质。H3处理显著提高团棵期和成熟期土壤有机质、水解性氮含量,速效钾增幅为5.57%~48.83%,pH维持稳定;H2处理经济效益最高,每公顷产值达72 882.15元,较对照提高8.45%;H3处理在C3F和B2F等级烟叶中化学协调性及感官品质综合表现最优,氮碱比、糖碱比及施木克值均处于适宜范围。H3处理在改善土壤肥力、维持养分供应稳定性及提升烟叶品质方面综合表现最佳,是适宜重庆奉节烟区的绿肥高效还田时期。

English Abstract

  • 开放科学(资源服务)标识码(OSID):

  • 土壤碳氮比是调控土壤微生物活动的关键环境因子,可通过影响微生物对有机质的分解速率,直接调控多种营养元素的有效性,进而影响烤烟对养分的吸收与利用,最终对烤烟产量和品质的形成起决定性作用[1]。然而,重庆市烟田土壤碳氮比普遍偏低,有机质含量偏低的烟田占比达24.2%[2]。其中,石柱县98.5%的烟田土壤碳氮比处于较低水平[3]。采用绿肥还田方式改善土壤质量及调节碳氮平衡,已在生产中广泛应用。研究表明,与冬闲处理相比,油菜在始花期、蕾苔期和角果成熟期翻压还田,可使土壤有机质质量分数分别提高8.25%、11.14%和3.02%[4]。另有研究报道,施用不同碳氮比的有机肥对土壤质量、微生物群落结构及烟叶产质量存在差异性影响,其中较高碳氮比(10∶1和15∶1)有机肥更有利于提升土壤pH值和肥力,改善团聚体结构与稳定性,增加微生物数量及群落丰度,从而提高烟叶产值和品质。近年来,重庆烟区已大力推广在休闲期种植油菜并还田的技术。油菜在不同生育阶段体内碳氮比存在差异,可能对土壤肥力及烤烟产质量产生不同影响,但目前相关研究仍较为缺乏。因此,本研究通过田间试验,探究油菜不同还田时期对土壤碳氮比、土壤养分及烤烟产质量的影响,以期为建立适宜重庆烟区的绿肥高效还田措施提供理论依据和技术支撑。

  • 烤烟品种:云烟87。绿肥品种油菜:庆油3号。

    供试肥料:对照区肥料包括,烟草专用复合肥(N∶P2O5∶K2O=6∶12∶25)825 kg/hm2,商品有机肥(N∶P2O5∶K2O=4∶1∶1)750 kg/hm2,提苗复合肥(N∶P2O5∶K2O=20∶15∶10)75 kg/hm2,硝酸钾复合肥(N∶P2O5∶K2O=13.5∶0∶44.5)150 kg/hm2,每年烟田总氮磷钾施用量分别为105.75 kg/hm2、117.75 kg/hm2和288.00 kg/hm2

  • 2023—2024年,在重庆市奉节县太和乡石板村进行试验,该地海拔1 258 m,土壤类型为黄壤,选择土地肥力中等、连作30年的地块种植绿肥油菜。2023年9月中旬播种,播种前拔出烟杆,清除杂草和地膜,用微耕机浅耕5~10 cm,采用直播播种,播种密度为37.5万株/hm2,在油菜不同生育期进行翻压还田,设置蕾苔期(H1)、盛花期(H2)、角果发育成熟期(H3)、籽粒收获后仅油菜秸秆翻压还田(H4)及冬闲对照(CK)5个处理,每个处理重复3次,小区面积80 m2。所有处理根据上一年油菜还田的养分积累量(表 1)数据进行施肥,即所有处理在等养分基础上进行。

  • 土壤样品测定方法如下:用pH计(SartoriusPB-10)测定土壤pH值。水解性氮测定参照《森林土壤氮的测定》(LY/T 1228—2015)[5];有效磷测定参照《土壤检测第7部分:土壤有效磷的测定》(NY/T 1121.7—2014)[6];速效钾测定参照《土壤速效钾和缓效钾含量的测定》(NY/T 889—2004)[7];有机质测定参照《土壤检测第6部分:土壤有机质的测定》(NY/T 1121.6—2006)[8]

    烤后烟叶中总氮、氯、总糖、还原糖、烟碱等化学成分的质量分数采用AA3型连续流动化学分析仪(SEAL Analytical)测定[9]。参照《烟草及烟草制品感官评价方法》(YC/T 138—1998)[10],评吸鉴定烤后烟叶的感官质量。统计和计算烤后烟叶产量、均价以及中上等烟的比例,按当地收购价格计算各处理产值。

  • 采用Microsoft Excel 2021进行数据整理,多重比较采用最小显著差异(LSD)法分析。

  • 油菜绿肥不同还田时期对土壤养分质量分数影响显著(图 1)。H3处理表现出优异的综合培肥效果,能显著提升和维持土壤肥力,在烟叶旺长期和成熟期,土壤有机质含量较对照(CK)分别提高3.24%和14.02%,H3处理下土壤碳氮比在成熟期达14.55,为各处理最高;同时,成熟期水解性氮、有效磷和速效钾含量较CK增幅分别为13.94%、43.93%与48.83%。H4处理在速效养分释放方面优势突出,使烟叶旺长期和成熟期速效钾含量较CK显著提高40.07%至53.85%,但养分稳定性相对较差。H2处理的有效磷含量在生育前期均显著低于对照,H1处理的各养分指标多低于对照,培肥效果不显著。综上表明,H3处理更有利于土壤肥力的持续改善与稳定,而H4处理则更适合作为速效养分的快速补充措施。

  • 表 2所示,随着油菜还田时期向后推移,烟叶产量逐步下降,但均高于对照。其中,H1处理产量最高,CK产量最低;上等烟比例先增加后降低,H1、H2、H3 3个处理高于CK;每公顷产值先增加后降低,H2处理产值最高。H3处理和H4处理在上等烟比例方面没有显著差异;H4处理和CK在烟叶产量和经济效益方面没有显著差异。

  • 表 3可以看出,C3F等级烟叶中,H4处理的氯含量最高(0.30%),H1、H2和H3处理的烟碱含量(2.56%、2.34%、2.26%)显著高于CK和H4,钾含量以CK、H2、H4较高。在B2F等级烟叶中,H2、H3处理的烟碱含量(3.76%、3.79%)显著高于CK(2.90%),H1处理的钾含量最低(1.99%)、氯含量(0.25%)则显著高于H2(0.17%)。结果表明,还田时期对烟叶化学成分的影响存在显著差异。H3处理成分波动较为平缓,H1处理则显著降低了2个等级烟叶的钾含量。

  • 表 4可以看出,在C3F等级烟叶中,各处理钾氯比均大于4(燃烧性合格),氮碱比整体接近适宜范围(0.82~0.99)。其中,H3处理综合协调性最优,钾氯比为18.11(合格)、糖碱比为15.44(接近8~14放宽上限)、氮碱比为0.90(接近0.8~1.2核心区间)、施克木值为2.75(处于适宜范围),无显著失衡指标;H2处理氮碱比为0.99(完全符合适宜范围),施克木值为2.44,糖碱比为15.09,与H3处理差异不显著;CK与H4处理组因糖碱比显著偏高(分别为18.57、17.69),存在烟气寡淡问题,H1处理糖碱比为14.38,整体协调性弱于H2和H3处理。

    在B2F等级烟叶中,所有处理钾氯比均大于4(燃烧性合格),但氮碱比普遍低于适宜下限,存在氮素供应不足、烟碱相对过高的问题。其中,H4处理表现最优,其糖碱比为10.78(处于8~12适宜范围)、施克木值2.98(符合2.5~3.5核心区间),最接近适宜值,化学成分协同性优于CK(糖碱比12.48略高、氮碱比0.66偏低、施克木值3.50偏高)及H1、H2、H3处理(H1糖碱比15.23显著偏高,H2和H3氮碱比小于0.55且施克木值偏低)。

    综上,不同等级烟叶化学协调性对各处理的响应存在差异,B2F等级烟叶以H4处理协调性最优,C3F等级烟叶以H3处理协调性最优,且B2F的主要制约因素为氮碱比偏低(氮素不足),C3F的主要制约因素为部分处理糖碱比略高(糖含量偏多)。

  • 表 5可以看出,在C3F等级烟叶中,H3处理品质最均衡,柔细度为6.7,为该等级最高,香气质、香气量等核心指标均稳定在6.6左右;H2总分最低,香气量为6.2,浓度为5.9,劲头为5.8,均为该等级最低值,表现为香气不足、烟气偏弱。在B2F等级烟叶中,各处理总分差异小于C3F,H3处理最优,香气量(6.7)为该等级最高,香气质、余味等指标与浓度劲头协同性好;H1总分最低,香气质(6.2)、刺激性(6.0)、柔细度(6.0)均为该等级最低。

    综上,H3处理对C3F、B2F等级烟叶感官品质的提升具有普适性;H2处理在两等级中均表现较差,H1处理更易降低B2F等级烟叶品质,这可能与各处理下烟叶化学协调性差异直接相关。

  • 油菜作为烟田冬季绿肥,还田时期通过调节残体腐解和土壤养分释放过程,影响烤烟养分利用、产量形成和品质建成。本研究通过分析油菜不同翻压时期对土壤碳氮比、土壤养分及烤烟产质量的影响,阐述不同绿肥油菜还田时期的作用效果,以期为重庆烟区绿肥高效利用提供参考依据。

  • 结果表明,油菜还田时期对烟叶化学成分含量具有显著影响,且该影响因烟叶等级不同表现出明显差异。在B2F等级烟叶中,H2和H3处理的烟碱含量显著高于CK,这可能与油菜翻压促进土壤氮素供应,进而加速了烟碱生物合成有关[11]。在C3F等级烟叶中,H4处理氯含量显著最高,可能与油菜大量还田条件下氯的释放特征有关;H1和H2处理烟碱含量较高,这与还田较早,油菜木质化程度低、腐解较快,烟株前期吸氮量增加有关。总体来看,H3处理在不同等级烟叶中化学成分波动较为平缓,更有利于维持养分的稳定供应;而H1处理则显著降低了B2F级烟叶的钾含量,说明油菜较早还田时生物量较少,不利于土壤钾素释放,从而不利于烟叶品质的形成。因此,选择适宜的还田时期对协调烟叶化学成分、提升内在品质具有重要意义。

    在化学协调性方面,不同还田时期对烟叶化学协调性影响显著,且存在明显的等级差异。值得注意的是,H3处理在两个等级中均表现出优良的协调性,显示出其独特的优势。在B2F等级烟叶中,H4处理的糖碱比(10.78)和施克木值(2.98)处于适宜范围,H3处理的糖碱比(8.23)更接近适宜范围下限,避免了高糖导致的烟气寡淡问题。在C3F等级中,H3处理表现尤为突出,其氮碱比(0.90)接近0.8~1.2的核心适宜区间,施克木值(2.75)处于平衡范围,钾氯比(18.11)显著高于其他处理,表明该处理在促进上部叶化学成分平衡方面具有独特优势。虽然B2F等级烟叶普遍存在氮碱比偏低的现象,但H3处理通过平稳的养分供应方式,在两个等级中都实现了相对较好的化学协调性。这种跨等级的协调性优势使H3处理成为平衡烟叶化学组分的最优选择,为烟田绿肥还田时期的确定提供了重要依据。

  • 感官品质是化学成分协调性的直接体现。H3处理在C3F和B2F等级烟叶均表现较好,这与其糖分、烟碱、钾含量适中,且氯含量较低密切相关。尽管H2处理经济性状较优,但其在C3F等级烟叶中感官评分最低,这与烟碱含量偏低、氮碱比偏高所导致的劲头过大和协调性较差有关,表明高产与优质在某些情况下可能存在矛盾。H1处理在B2F等级烟叶中感官品质最差,这与其钾含量低、燃烧性差以及刺激性物质增多相关[12],进一步凸显了钾素对烟气舒适性的关键作用。

    油菜于角果发育成熟期还田可使烟叶感官评吸质量达到最优,主要原因如下:一方面,适宜碳氮比的外源有机肥能显著提高烤烟生育前期对氮素的吸收与积累,促进前期生长,同时降低后期氮素吸收,使氮代谢及时向碳代谢转化[13],从而提升烟叶产质量与等级结构;另一方面,较高碳氮比(如10∶1、15∶1)的有机肥有助于提高土壤pH值与肥力,改善土壤团聚体结构和稳定性,增加土壤微生物数量及群落多样性,促进烤烟生长发育,进而提高烟叶产值和品质[1]。这与本研究结果一致,即角果发育成熟期(H3处理)能有效改善土壤肥力,维持养分供应稳定,为烤烟生长创造良好的土壤环境。

    本研究进一步验证了绿肥适期还田对改善烤烟产质量的普遍效果[14],并明确了不同生育期油菜还田对土壤改良及烟叶产质量的影响。在实际生产中,还需考虑农事操作的实际可行性。绿肥还田时间应不晚于烤烟移栽前40 d[15]。因此,为获得理想的土壤改良及烟叶产质量效果,应提早播种绿肥。在本研究区域大部分烟田海拔较高的条件下,过晚播种不利于优质烤烟的生产。

  • 本研究通过系统分析油菜不同翻压还田时期对土壤性质及烤烟产质量的影响,表明油菜翻压时期的选择对土壤改良和烤烟生产具有显著影响。H3处理(角果发育成熟期翻压)能够显著提升土壤有机质含量,提高土壤碳氮比,并维持最高水平的水解性氮供应。在烟叶产质量方面,H3处理也表现出最优的化学协调性,C3F等级烟叶施木克值最接近优质烟范围,B2F等级烟叶氮碱比接近理想值。该处理在感官品质方面表现尤为突出,香气质、透发性和余味指标优异。

    综上,油菜角果发育成熟期翻压还田对提升重庆烟叶品质和维持土壤肥力的表现最优,对重庆市烤烟的优质可持续生产具有非常重要的理论和实践意义。

参考文献 (15)

目录

/

返回文章
返回