Message Board

Dear readers, authors and reviewers,you can add a message on this page. We will reply to you as soon as possible!

2025 Volume 47 Issue 12
Article Contents

CAI Fucheng, PENG Shuangyun, FENG Xingqiang, et al. The Impact of Two-Dimensional and Three-Dimensional Landscape Patterns on Land Surface Temperature from a Multi-Scale Perspective[J]. Journal of Southwest University Natural Science Edition, 2025, 47(12): 166-181. doi: 10.13718/j.cnki.xdzk.2025.12.015
Citation: CAI Fucheng, PENG Shuangyun, FENG Xingqiang, et al. The Impact of Two-Dimensional and Three-Dimensional Landscape Patterns on Land Surface Temperature from a Multi-Scale Perspective[J]. Journal of Southwest University Natural Science Edition, 2025, 47(12): 166-181. doi: 10.13718/j.cnki.xdzk.2025.12.015

The Impact of Two-Dimensional and Three-Dimensional Landscape Patterns on Land Surface Temperature from a Multi-Scale Perspective

More Information
  • Corresponding author: PENG Shuangyun ; 
  • Received Date: 22/02/2025
    Available Online: 20/12/2025
  • MSC: X321; P461

  • The dramatic change of landscape pattern caused by rapid urbanization has a profound impact on urban thermal environment. Research on the multi-scale effects of urban 2D and 3D landscape patterns on surface temperature (LST) remains limited. Taking Kunming City as an example, this study quantitatively evaluated the impact of landscape pattern on LST at different spatial scales by constructing a comprehensive index system including 2D and 3D landscape indicators. The results show that: ① The spatial distribution and variation characteristics of LST showed significant scale dependence: at small scale (100-300 m), the LST distribution was highly heterogeneous, dominated by Green_LSI and IS_CA; At large scale (500-1 000 m), LST tended to be homogeneous, and the effects of Green_AI, Water_LPI and THsum were more significant. ② The regulation effect of 2D and 3D landscape indexes on LST showed nonlinear marginal effect and threshold characteristics: the cooling effect of green space area and shape complexity on LST was more significant in the low value range, but the effect tended to be saturated after exceeding the threshold value. Among the three dimensional indexes, the tree height sum (THsum) and the mean tree height (THmean) showed a continuous and stable cooling effect on all scales, which reflected the scale robustness of tree vegetation in thermal environment regulation. ③ The effect of impervious surface and water body was significantly different. The warming effect of impervious surface was more prominent at small scale, while the cooling effect of water body was mainly reflected at large scale. This study reveals the multi-scale complexity and nonlinear characteristics of the effects of two-dimensional and three-dimensional urban landscape patterns on LST, emphasizes the importance of multi-scale analysis in thermal environment research, and provides theoretical basis and practical guidance for the mitigation of urban heat island effect.

  • 加载中
  • [1] HU J Y, ZHANG J X, LI Y Q. Exploring the Spatial and Temporal Driving Mechanisms of Landscape Patterns on Habitat Quality in a City Undergoing Rapid Urbanization Based on GTWR and MGWR: The Case of Nanjing, China[J]. Ecological Indicators, 2022, 143: 109333. doi: 10.1016/j.ecolind.2022.109333

    CrossRef Google Scholar

    [2] JIMENEZ M P, OKEN E, GOLD D R, et al. Early Life Exposure to Green Space and Insulin Resistance: An Assessment from Infancy to Early Adolescence[J]. Environment International, 2020, 142: 105849. doi: 10.1016/j.envint.2020.105849

    CrossRef Google Scholar

    [3] 刘洛甫, 张伟. 城市湿地的小气候调节功能及其空间梯度效应[J]. 西南大学学报(自然科学版), 2024, 46(4): 133-142. doi: 10.13718/j.cnki.xdzk.2024.04.013

    CrossRef Google Scholar

    [4] 宋云帆, 闵文彬, 彭骏. 成都城市下垫面变化对地表热场的影响[J]. 西南大学学报(自然科学版), 2022, 44(7): 197-206. doi: 10.13718/j.cnki.xdzk.2022.07.021

    CrossRef Google Scholar

    [5] 林之强, 彭双云, 施双富, 等. 滇中城市群地表温度时空演变及其与LULC的响应[J]. 水土保持学报, 2025, 38(6): 253-272.

    Google Scholar

    [6] GAO J, GONG J, YANG J X, et al. Measuring Spatial Connectivity Between Patches of the Heat Source and Sink (SCSS): A New Index to Quantify the Heterogeneity Impacts of Landscape Patterns on Land Surface Temperature[J]. Landscape and Urban Planning, 2022, 217: 104260. doi: 10.1016/j.landurbplan.2021.104260

    CrossRef Google Scholar

    [7] 黄潞, 谷达华, 刘勇, 等. 重庆市中心城区不透水面扩张及驱动力分析[J]. 西南大学学报(自然科学版), 2023, 45(11): 155-165. doi: 10.13718/j.cnki.xdzk.2023.11.015

    CrossRef Google Scholar

    [8] DING N, ZHANG Y, WANG Y C, et al. Effect of Landscape Pattern of Urban Surface Evapotranspiration on Land Surface Temperature[J]. Urban Climate, 2023, 49: 101540. doi: 10.1016/j.uclim.2023.101540

    CrossRef Google Scholar

    [9] WU Z F, YAO L, ZHUANG M Z, et al. Detecting Factors Controlling Spatial Patterns in Urban Land Surface Temperatures: A Case Study of Beijing[J]. Sustainable Cities and Society, 2020, 63: 102454. doi: 10.1016/j.scs.2020.102454

    CrossRef Google Scholar

    [10] IMRAN H M, HOSSAIN A, SHAMMAS M I, et al. Land Surface Temperature and Human Thermal Comfort Responses to Land Use Dynamics in Chittagong City of Bangladesh[J]. Geomatics, Natural Hazards and Risk, 2022, 13(1): 2283-2312. doi: 10.1080/19475705.2022.2114384

    CrossRef Google Scholar

    [11] SUN X, TAN X Y, CHEN K L, et al. Quantifying Landscape-Metrics Impacts on Urban Green-Spaces and Water-Bodies Cooling Effect: The Study of Nanjing, China[J]. Urban Forestry & Urban Greening, 2020, 55: 126838.

    Google Scholar

    [12] MIRZAEI M, VERRELST J, ARBABI M, et al. Urban Heat Island Monitoring and Impacts on Citizen's General Health Status in Isfahan Metropolis: A Remote Sensing and Field Survey Approach[J]. Remote Sensing, 2020, 12(8): 1350. doi: 10.3390/rs12081350

    CrossRef Google Scholar

    [13] LI X R, YANG B S, LIANG F X, et al. Modeling Urban Canopy Air Temperature at City-Block Scale Based on Urban 3D Morphology Parameters-A Study in Tianjin, North China[J]. Building and Environment, 2023, 230: 110000. doi: 10.1016/j.buildenv.2023.110000

    CrossRef Google Scholar

    [14] MIRZAEE S, ÖZGUN O, RUTH M, et al. Neighborhood-Scale Sky View Factor Variations with Building Density and Height: A Simulation Approach and Case Study of Boston[J]. Urban Climate, 2018, 26: 95-108. doi: 10.1016/j.uclim.2018.08.012

    CrossRef Google Scholar

    [15] TOPARLAR Y, BLOCKEN B, MAIHEU B, et al. The Effect of an Urban Park on the Microclimate in Its Vicinity: A Case Study for Antwerp, Belgium[J]. International Journal of Climatology, 2018, 38(S1): e303-e322.

    Google Scholar

    [16] 王志浩, 贺竹, 朱鹏坤, 等. 利用ECOSTRESS探究昆明市局地气候分区昼夜热环境特征[J]. 材料导报, 2024, 38(S2): 128-134.

    Google Scholar

    [17] LI C B, LU L L, FU Z T, et al. Diverse Cooling Effects of Green Space on Urban Heat Island in Tropical Megacities[J]. Frontiers in Environmental Science, 2022, 10: 1073914. doi: 10.3389/fenvs.2022.1073914

    CrossRef Google Scholar

    [18] 孙琳苒, 石力匀. 植物配置设计对城市绿地生态服务功能的影响——以郑州市为例[J]. 西南大学学报(自然科学版), 2025, 47(3): 141-149. doi: 10.13718/j.cnki.xdzk.2025.03.012

    CrossRef Google Scholar

    [19] WU Q, LI Z Y, YANG C B, et al. On the Scale Effect of Relationship Identification Between Land Surface Temperature and 3D Landscape Pattern: The Application of Random Forest[J]. Remote Sensing, 2022, 14(2): 279. doi: 10.3390/rs14020279

    CrossRef Google Scholar

    [20] BASU T, DAS A. Urbanization Induced Degradation of Urban Green Space and Its Association to the Land Surface Temperature in a Medium-Class City in India[J]. Sustainable Cities and Society, 2023, 90: 104373. doi: 10.1016/j.scs.2022.104373

    CrossRef Google Scholar

    [21] EJIAGHA I R, AHMED M R, HASSAN Q K, et al. Use of Remote Sensing in Comprehending the Influence of Urban Landscape's Composition and Configuration on Land Surface Temperature at Neighbourhood Scale[J]. Remote Sensing, 2020, 12(15): 2508. doi: 10.3390/rs12152508

    CrossRef Google Scholar

    [22] CHEN J Z, WANG L, MA L, et al. Quantifying the Scale Effect of the Relationship Between Land Surface Temperature and Landscape Pattern[J]. Remote Sensing, 2023, 15(8): 2131. doi: 10.3390/rs15082131

    CrossRef Google Scholar

    [23] 金燕, 晏红明, 何雨芩, 等. 昆明城市降雨特性变化及城市热岛效应的可能影响[J]. 地理科学, 2024, 44(11): 2039-2050.

    Google Scholar

    [24] YANG J, HUANG X. The 30 m Annual Land Cover and Its Dynamics in China from 1990 to 2019[J]. Earth System Science Data Discussions, 2021, 13(8): 3907-3925. doi: 10.5194/essd-13-3907-2021

    CrossRef Google Scholar

    [25] LANG N, JETZ W, SCHINDLER K, et al. A High-Resolution Canopy Height Model of the Earth[J]. Nature Ecology & Evolution, 2023, 7(11): 1778-1789.

    Google Scholar

    [26] CHE Y Z, LI X C, LIU X P, et al. 3D-GloBFP: The First Global Three-Dimensional Building Footprint Dataset[J]. Earth System Science Data, 2024, 16(11): 5357-5374. doi: 10.5194/essd-16-5357-2024

    CrossRef Google Scholar

    [27] POTTER C, ALEXANDER O. Impacts of the San Francisco Bay Area Shelter-in-Place During the COVID-19 Pandemic on Urban Heat Fluxes[J]. Urban Climate, 2021, 37: 100828. doi: 10.1016/j.uclim.2021.100828

    CrossRef Google Scholar

    [28] ZHU X L, DUAN S B, LI Z L, et al. Reconstruction of Land Surface Temperature under Cloudy Conditions from Landsat 8 Data Using Annual Temperature Cycle Model[J]. Remote Sensing of Environment, 2022, 281: 113261. doi: 10.1016/j.rse.2022.113261

    CrossRef Google Scholar

    [29] 张昊, 高小红, 史飞飞, 等. 基于Sentinel-2 MSI与Sentinel-1 SAR相结合的黄土高原西部撂荒地提取——以青海民和县为例[J]. 自然资源遥感, 2022, 34(4): 144-154.

    Google Scholar

    [30] WU W, LI L D, LI C L. Seasonal Variation in the Effects of Urban Environmental Factors on Land Surface Temperature in a Winter City[J]. Journal of Cleaner Production, 2021, 299: 126897. doi: 10.1016/j.jclepro.2021.126897

    CrossRef Google Scholar

    [31] LIU L, CAI Y H, JIN L, et al. Landscape Pattern Optimization Strategy of Coastal Mountainside Greenway from a Microclimatic Comfort View in Hot and Humid Areas[J]. Urban Climate, 2022, 46: 101297. doi: 10.1016/j.uclim.2022.101297

    CrossRef Google Scholar

    [32] ZENG P, SUN F Y, LIU Y Y, et al. The Influence of the Landscape Pattern on the Urban Land Surface Temperature Varies with the Ratio of Land Components: Insights from 2D/3D Building/Vegetation Metrics[J]. Sustainable Cities and Society, 2022, 78: 103599. doi: 10.1016/j.scs.2021.103599

    CrossRef Google Scholar

    [33] FENG Q, XIA W K, DAI G X, et al. The Aging Features of Thyrotoxicosis Mice: Malnutrition, Immunosenescence and Lipotoxicity[J]. Frontiers in Immunology, 2022, 13: 864929. doi: 10.3389/fimmu.2022.864929

    CrossRef Google Scholar

    [34] XUE Y Y, PYONG K H, OH S S, et al. Analysis of the Impacts on the Psychological Changes of Chinese Returning College Students after the Outbreak of the 2019 Coronavirus Disease[J]. Frontiers in Public Health, 2022, 10: 916407. doi: 10.3389/fpubh.2022.916407

    CrossRef Google Scholar

    [35] YU Y, ZHU J J, GAO T, et al. Evaluating the Influential Variables on Rainfall Interception at Different Rainfall Amount Levels in Temperate Forests[J]. Journal of Hydrology, 2022, 615: 128572. doi: 10.1016/j.jhydrol.2022.128572

    CrossRef Google Scholar

    [36] ZHANG M X, JIANG D, YANG M, et al. Influence of the Environment on the Distribution and Quality of GentianaDahurica Fisch[J]. Frontiers in Plant Science, 2021, 12: 706822. doi: 10.3389/fpls.2021.706822

    CrossRef Google Scholar

    [37] BASU T, DAS A. Urbanization Induced Degradation of Urban Green Space and Its Association to the Land Surface Temperature in a Medium-Class City in India[J]. Sustainable Cities and Society, 2023, 90: 104373. doi: 10.1016/j.scs.2022.104373

    CrossRef Google Scholar

    [38] AYALEW D A, DEUMLICH D, ŠARAPATKA B, et al. Quantifying the Sensitivity of NDVI-Based C Factor Estimation and Potential Soil Erosion Prediction Using Spaceborne Earth Observation Data[J]. Remote Sensing, 2020, 12(7): 1136. doi: 10.3390/rs12071136

    CrossRef Google Scholar

    [39] IMRAN H M, HOSSAIN A, SHAMMAS M I, et al. Land Surface Temperature and Human Thermal Comfort Responses to Land Use Dynamics in Chittagong City of Bangladesh[J]. Geomatics, Natural Hazards and Risk, 2022, 13(1): 2283-2312. doi: 10.1080/19475705.2022.2114384

    CrossRef Google Scholar

    [40] KANG Z, LIU H, LU Y X, et al. A Novel Approach to Examining the Optimal Use of the Cooling Effect of Water Bodies in Urban Planning[J]. Building and Environment, 2023, 243: 110673. doi: 10.1016/j.buildenv.2023.110673

    CrossRef Google Scholar

    [41] KWAN C, JIM C Y. Differential Cooling Effects of Landscape Parameters in Humid-Subtropical Urban Parks[J]. Landscape and Urban Planning, 2019, 192: 103651. doi: 10.1016/j.landurbplan.2019.103651

    CrossRef Google Scholar

    [42] YANG S W, WANG L Z, STATHOPOULOS T, et al. Urban Microclimate and Its Impact on Built Environment-A Review[J]. Building and Environment, 2023, 238: 110334. doi: 10.1016/j.buildenv.2023.110334

    CrossRef Google Scholar

    [43] LI Q R, SAMIMI C. Sub-Saharan Africa's International Migration Constrains Its Sustainable Development under Climate Change[J]. Sustainability Science, 2022, 17(5): 1873-1897. doi: 10.1007/s11625-022-01116-z

    CrossRef Google Scholar

    [44] LIU J, ZHANG L, ZHANG Q P, et al. Predicting the Surface Urban Heat Island Intensity of Future Urban Green Space Development Using a Multi-Scenario Simulation[J]. Sustainable Cities and Society, 2021, 66: 102698. doi: 10.1016/j.scs.2020.102698

    CrossRef Google Scholar

    [45] RAO Y X, DAI J Y, DAI D Y, et al. Effect of Urban Growth Pattern on Land Surface Temperature in China: A Multi-Scale Landscape Analysis of 338 Cities[J]. Land Use Policy, 2021, 103: 105314. doi: 10.1016/j.landusepol.2021.105314

    CrossRef Google Scholar

    [46] HE J J, SHI Y J, XU L H, et al. Exploring the Scale Effect of Urban Thermal Environment Through XGBoost Model[J]. Sustainable Cities and Society, 2024, 114: 105763. doi: 10.1016/j.scs.2024.105763

    CrossRef Google Scholar

    [47] 计涵. 城市绿地二维和三维景观格局与地表温度的多尺度关系研究[D]. 上海: 上海师范大学, 2024.

    Google Scholar

    [48] XU H C, LI C L, HU Y M, et al. Quantifying the Effects of 2D/3D Urban Landscape Patterns on Land Surface Temperature: A Perspective from Cities of Different Sizes[J]. Building and Environment, 2023, 233: 110085. doi: 10.1016/j.buildenv.2023.110085

    CrossRef Google Scholar

    [49] XIAO R, CAO W, LIU Y, et al. The Impacts of Landscape Patterns Spatio-Temporal Changes on Land Surface Temperature from a Multi-Scale Perspective: A Case Study of the Yangtze River Delta[J]. Science of the Total Environment, 2022, 821: 153381. doi: 10.1016/j.scitotenv.2022.153381

    CrossRef Google Scholar

    [50] CHEN J K, ZHAN W F, JIN S G, et al. Separate and Combined Impacts of Building and Tree on Urban Thermal Environment from Two-and Three-Dimensional Perspectives[J]. Building and Environment, 2021, 194: 107650. doi: 10.1016/j.buildenv.2021.107650

    CrossRef Google Scholar

    [51] YAO L, LI T, XU M X, et al. How the Landscape Features of Urban Green Space Impact Seasonal Land Surface Temperatures at a City-Block-Scale: An Urban Heat Island Study in Beijing, China[J]. Urban Forestry & Urban Greening, 2020, 52: 126704.

    Google Scholar

    [52] MORABITO M, CRISCI A, GUERRI G, et al. Surface Urban Heat Islands in Italian Metropolitan Cities: Tree Cover and Impervious Surface Influences[J]. Science of the Total Environment, 2021, 751: 142334. doi: 10.1016/j.scitotenv.2020.142334

    CrossRef Google Scholar

    [53] GAO Y, PAN H F, TIAN L. Analysis of the Spillover Characteristics of Cooling Effect in an Urban Park: A Case Study in Zhengzhou City[J]. Frontiers in Earth Science, 2023, 11: 1133901. doi: 10.3389/feart.2023.1133901

    CrossRef Google Scholar

    [54] LIAO W, CAI Z W, FENG Y, et al. A Simple and Easy Method to Quantify the Cool Island Intensity of Urban Greenspace[J]. Urban Forestry & Urban Greening, 2021, 62: 127173.

    Google Scholar

    [55] YIN Z, ZHANG Y X, ZHANG R, et al. Structure of an Urban Green Space Indirectly Affects the Distribution of Airborne Particulate Matter: A Study Based on Structural Equation Modelling[J]. Urban Forestry & Urban Greening, 2022, 72: 127581.

    Google Scholar

    [56] ZHAO K X, NING Z K, XU C, et al. How Do Driving Factors Affect the Diurnal Variation of Land Surface Temperature Across Different Urban Functional Blocks? A Case Study of Xi'an, China[J]. Sustainable Cities and Society, 2024, 114: 105738. doi: 10.1016/j.scs.2024.105738

    CrossRef Google Scholar

    [57] LIU Y F, ZHANG W J, LIU W K, et al. Exploring the Seasonal Effects of Urban Morphology on Land Surface Temperature in Urban Functional Zones[J]. Sustainable Cities and Society, 2024, 103: 105268. doi: 10.1016/j.scs.2024.105268

    CrossRef Google Scholar

    [58] YANG H H, XU W Z, YU J, et al. Exploring the Impact of Changing Landscape Patterns on Ecological Quality in Different Cities: A Comparative Study among Three Megacities in Eastern and Western China[J]. Ecological Informatics, 2023, 77: 102255. doi: 10.1016/j.ecoinf.2023.102255

    CrossRef Google Scholar

  • 加载中
通讯作者: 陈斌, bchen63@163.com
  • 1. 

    沈阳化工大学材料科学与工程学院 沈阳 110142

  1. 本站搜索
  2. 百度学术搜索
  3. 万方数据库搜索
  4. CNKI搜索

Figures(8)  /  Tables(1)

Article Metrics

Article views(1019) PDF downloads(96) Cited by(0)

Access History

The Impact of Two-Dimensional and Three-Dimensional Landscape Patterns on Land Surface Temperature from a Multi-Scale Perspective

    Corresponding author: PENG Shuangyun ; 

Abstract: 

The dramatic change of landscape pattern caused by rapid urbanization has a profound impact on urban thermal environment. Research on the multi-scale effects of urban 2D and 3D landscape patterns on surface temperature (LST) remains limited. Taking Kunming City as an example, this study quantitatively evaluated the impact of landscape pattern on LST at different spatial scales by constructing a comprehensive index system including 2D and 3D landscape indicators. The results show that: ① The spatial distribution and variation characteristics of LST showed significant scale dependence: at small scale (100-300 m), the LST distribution was highly heterogeneous, dominated by Green_LSI and IS_CA; At large scale (500-1 000 m), LST tended to be homogeneous, and the effects of Green_AI, Water_LPI and THsum were more significant. ② The regulation effect of 2D and 3D landscape indexes on LST showed nonlinear marginal effect and threshold characteristics: the cooling effect of green space area and shape complexity on LST was more significant in the low value range, but the effect tended to be saturated after exceeding the threshold value. Among the three dimensional indexes, the tree height sum (THsum) and the mean tree height (THmean) showed a continuous and stable cooling effect on all scales, which reflected the scale robustness of tree vegetation in thermal environment regulation. ③ The effect of impervious surface and water body was significantly different. The warming effect of impervious surface was more prominent at small scale, while the cooling effect of water body was mainly reflected at large scale. This study reveals the multi-scale complexity and nonlinear characteristics of the effects of two-dimensional and three-dimensional urban landscape patterns on LST, emphasizes the importance of multi-scale analysis in thermal environment research, and provides theoretical basis and practical guidance for the mitigation of urban heat island effect.

  • 开放科学(资源服务)标识码(OSID):

    城市化作为21世纪全球范围内最为显著的社会经济现象之一,正以空前的速度和规模重塑着地球表面的景观格局[1]。截至目前,全球已有约50%的人口居住在城市地区,且预计到2050年,这一比例将攀升至70%[2]。城市化进程在推动经济发展、改善人类生活质量的同时,也伴随着一系列严峻的环境挑战,其中城市热环境变化尤为引人关注[3]。城市热岛是指城市地区由于其独特的下垫面特征、人为热排放以及植被覆盖减少等因素,形成的有别于周边乡村地区的热力状况[4]。地表温度(Land Surface Temperature,LST)是描述城市热环境的重要物理量之一,反映了地表与大气之间能量交换的直接结果,是量化城市热环境的重要指标[5]。除受自然气候因素影响外,LST还受到城市地表覆盖类型和空间配置等景观格局特征的影响。因此,深入理解城市景观格局与LST之间的复杂关系,对于建设可持续、健康、宜居的城市环境具有至关重要的意义[6]

    长久以来,城市热环境的研究主要集中在二维景观组成和配置对LST的影响上。大量研究表明,城市中不透水表面(如建筑物、道路、停车场等)面积比、绿地和水体的面积以及景观的空间配置(如斑块大小、形状、连接度)等因素均对LST具有显著的影响[7-9]。如不透水表面由于其低反照率和高热容量,能够吸收并存储大量的太阳辐射,导致其表面温度和周围环境温度升高[10]。相比之下,绿地和水体则可以通过蒸腾作用、遮阴效应以及较高的热容量有效地降低局地温度[11-12]

    随着遥感技术和地理信息系统的快速发展以及对城市三维形态重要性认识的不断深入,越来越多的学者开始关注城市垂直结构对热环境的影响[13]。城市的三维形态,特别是建筑物和植被的高度及其空间分布,能够显著改变城市内部的辐射平衡、通风状况以及热量存储[14]。例如,高层建筑密集的“城市峡谷”会阻碍长波辐射的散失,并在白天多次反射太阳辐射,从而加剧热量的积累[15-16]。此外,植被的三维结构,尤其是树木的高度和冠幅,具有显著的降温效应[17]。较高的树木不仅可以通过蒸腾作用降温,其宽大的树冠还能提供更大的遮阴面积,有效减少到达地表的太阳辐射[18]。然而,尽管已有很多关于二维和三维景观指标对LST影响的研究,但仍缺少系统探讨其在多个空间尺度下综合影响的研究。

    更重要的是,景观格局与LST之间的关系并非一成不变,而是表现出显著的尺度依赖性[19]。这意味着在某一尺度下观察到的规律可能并不适用于其他尺度,影响LST的主导因素也可能随尺度的变化而发生改变。例如,在较小的空间尺度(如街区或社区尺度)下,绿地的形状、大小和连通性可能对局地温度的调节起着关键作用[20];而在较大的空间尺度(如城市或区域尺度)下,不透水表面面积比以及大型水体(如湖泊、河流)的存在与否成为影响LST的主要因素[21]。此外,不同类型的景观指标,其作用的有效尺度范围也可能各不相同[22]。因此,只有采用多尺度的视角,才能全面、准确地揭示城市景观格局与热环境之间的复杂关系,进而为制定科学、合理的城市规划和管理策略提供依据。

    为弥合当前研究在综合分析城市二维与三维景观格局对热环境多尺度影响方面的不足,本研究选取昆明市作为案例区,旨在定量揭示不同空间尺度(100 m、200 m、300 m、500 m、800 m、1 000 m)下,二维和三维景观指标与LST之间的关联性及其尺度效应。昆明市作为云南省的省会城市,近年来经历了快速的城市化进程,尺度效应日益凸显[23]。本研究构建了包含绿地、水体、不透水表面、建筑高度和树高等在内的多维景观指标体系,采用Pearson相关性分析法、多元线性回归以及增强回归树模型,系统分析各景观指标在不同尺度下对LST的相对重要性及其边际效应的尺度依赖性。具体而言,旨在实现以下3个目标:①定量评估不同空间尺度下二维和三维景观格局对LST的影响;②识别不同尺度下对LST影响最显著的景观因素,分析其相对重要性和主导作用在不同尺度下的变化规律;③定量刻画关键景观要素与LST之间的非线性响应和阈值效应,揭示其边际效应的尺度依赖性。

1.   研究区与数据来源
  • 昆明市位于中国西南地区,是云南省省会、滇池流域的中心城市,是西南地区的重要经济、文化和交通枢纽。昆明市地处云贵高原,属于典型的亚热带高原气候,年均气温为15.5℃,夏季温暖潮湿,冬季寒冷干燥。全年7月最热,平均气温为19.7℃。昆明市年均降水量约为1 000 mm,日照时数约为2 250 h。根据气象统计数据,昆明市的气温在近年来出现了缓慢上升的趋势,尤其是近年来随着城市化进程的加速,气温逐年上升,表现出明显的气候变化特征。

    随着昆明市的城市化不断推进,人口密度不断增大,工业化带来热排放,使得城市热岛效应日益显著。昆明市三环核心区作为城市发展中心区域,经济和人口密集,城市功能高度集中、异质性明显,城市热岛效应显著。因此,选择昆明市三环核心区作为研究对象(图 1)。

  • 本研究使用武汉大学杨杰和黄昕教授团队于2021年在Earth System Science Data(ESSD)发表的中国1990-2019年土地覆盖数据集[24]。该数据集可从Zenodo数据库(https://zenodo.org/records/12779975)获取。为探讨不同土地覆盖类型下景观格局指标对LST的响应关系,根据研究区实际情况将原始数据集中的9种土地利用类型重分类为绿地、水体和不透水表面3类。重分类结果见研究区概况图(图 1)。

  • 为探究植被三维空间特征对城市LST的影响,使用了2020年全球森林冠层高度数据集[25]。该数据集(https://doi.org/10.3929/ethz-b-000609802)融合了全球生态系统动态调查卫星的激光雷达高度数据和Sentinel-2的多光谱影像,通过概率深度学习模型,生成了全球范围内10 m分辨率的森林冠层高度图。图 2a展示了研究区植被冠层高度空间分布情况。

  • 建筑高度采用了中山大学刘小平教授发布的全球建筑高度数据集(3D-GloBFP)[26],该数据集(https://doi.org/10.5281/zenodo.11397015)利用XGBoost回归方法,针对全球不同区域开发了建筑高度估算模型。经验证,该模型在全球范围内表现出良好的估算精度,决定系数(R2)范围为[0.66,0.96],均方根误差范围为1.9~14.6 m。研究区建筑高度分布如图 2bc所示。

2.   研究方法
  • 本研究选用了美国地质调查局(USGS)提供的Landsat 8 TIRS数据(获取地址:https://earthexplorer.usgs.gov)来反演LST。Landsat 8卫星搭载的热红外传感器在10.6~12.5 μm波段提供100 m空间分辨率的热红外影像,是当前广泛应用于城市热环境监测的中高分辨率遥感数据之一[27]。考虑到云量、气象条件以及单景影像在时空覆盖方面的局限性,未采用单日或单景影像进行分析,而是基于Google Earth Engine(GEE)平台筛选研究区2019-2021年夏季(6-8月)的高质量、无云Landsat 8影像进行像元级时间序列合成。具体而言,对所有符合条件的热红外波段数据进行逐像元平均处理,生成反映研究区典型夏季热环境的合成LST数据,作为2020年代表性热状况输入。该方法在近年来多个区域尺度热岛效应研究中被广泛采用,可有效减弱极端天气(如短时强降雨、冷锋、热浪等)对遥感反演结果的干扰,提高LST数据的稳定性与空间连续性[28-29]。本研究以分析LST与土地利用、建筑形态、植被覆盖等地表因子的空间关系为核心,重点关注LST的空间分布格局与尺度变化特征。因此,该合成策略更可靠地反映了研究区夏季热环境的空间特征,满足城市热岛空间异质性分析的研究需求。

    这个过程如下:

    将热红外波段的原始灰度值(DN)转换为辐射亮度值(Lλ):

    式中:Lλ是传感器处热红外波段的辐射亮度值;gain和bias是热红外波段的特定参数;DN是图像的原始灰度值。

    将辐射亮度值转换为地表亮度温度值(TB):

    式中:TB是地表亮度温度值;K1K2是校准参数,具体数值取决于使用的传感器类型。

    将地表亮度温度值转换为地表温度值(LST):

    式中:LST是地表温度值;λ是热红外波段的中心波长,对于TM数据λ=11.5 μm,对于OIL数据λ=10.8 μm;ε是地表发射率,根据NDVI阈值法计算得到。

    地表发射率的计算公式为:

    式中:PV是植被覆盖度;NDVI是归一化植被指数;NDVIsoil是裸土或无植被覆盖区域的NDVI值;NDVIveg是完全被植被覆盖的像素的NDVI值。经验上的NDVIveg值为0.70,NDVIsoil值为0.05。

  • 城市景观格局的空间异质性、结构复杂性以及垂直特征对LST的分布具有显著影响[30]。二维景观指标从水平方向上刻画城市景观的组成和配置特征,这些指标与局地小气候密切相关[31]。三维景观指标则强调城市垂直维度的复杂性,这些指标通过改变近地表气流、辐射和热交换过程影响城市热环境[32]。因此,本研究选取了6个二维景观指标和9个三维景观指标,以综合评估昆明市主城区二维和三维景观格局对LST的影响。在二维指标方面,重点关注了城市绿地、水体和不透水表面的组成和配置特征;在三维指标方面,分别从建筑物和树木两个方面,选取了反映其垂直特征的关键指标,如建筑高度、建筑体积和平均树高等(表 1)。

    景观格局指标对LST的影响表现出显著的空间尺度依赖性。不同空间尺度下,各景观格局指标和LST的值之间关系的差异有统计学意义。小尺度的分析有助于捕捉局域性的景观特征及其对微气候的影响,从而精细化地解析城市热岛效应的局部差异;而较大尺度的分析则侧重于揭示城市整体空间结构对区域热环境的宏观调控作用。昆明市主城区景观格局的复杂性和异质性决定了单一尺度的分析无法全面揭示景观格局与热环境之间的相互作用。因此,在借鉴了多尺度分析理论框架的基础上,以100 m、200 m、300 m、500 m、800 m和1 000 m作为格网单元的大小,探讨不同空间尺度下城市二维与三维景观格局指标对LST的影响。

  • 本研究结合Pearson相关性分析法、多元线性回归分析和增强回归树模型,以不同格网尺度下的地表温度(LST)为因变量,以选取的景观格局指标作为自变量,探讨二维和三维景观格局指标与LST之间的复杂关系。

    首先,利用Pearson相关系数分析LST与各景观指标之间的线性关系,以揭示不同尺度下与LST相关性最强的景观特征。Pearson相关系数用于定量描述两个变量之间的线性依赖程度,相关性越强,系数越接近±1[33]。在此基础上,采用多元线性回归分析[34],分别探讨不同尺度下二维和三维景观指标及其组合对LST的解释能力。多元回归分析通过估计各景观指标的回归系数,评估其对LST的直接影响,从而识别最具预测能力的变量。最后,应用增强回归树模型,进一步分析不同尺度下二维与三维景观指标对城市热环境的相对影响和边际效应。增强回归树模型是一种集成学习方法,通过多次迭代和加权组合决策树,能够捕捉变量之间的非线性关系,并提供每个变量对模型输出的贡献度[35]。此方法不仅能揭示景观指标与LST之间的复杂互动,还能评估各指标的边际效应,即当其他因素保持不变时某一变量对LST的单独贡献。

3.   结果与分析
  • 为量化不同尺度格网单元内的LST,使用不同大小的格网对分辨率为30 m的LST影像提取平均值,采用格网单元内LST的平均值进行表征(图 3)。多尺度分析结果清晰地揭示了LST空间分布的尺度依赖性及其空间格局特征。结果显示,LST的空间分布模式随空间尺度的变化呈现出显著的动态特征。具体而言:在小尺度(100~ 300 m)下,LST呈现出高度异质的斑块状分布,高温与低温区域交错镶嵌;随着尺度的增大(500~1 000 m),LST的空间分布逐渐趋于均质化,细部纹理逐渐消失,高、低温区域的对比也显著减弱。表明小尺度下的温度差异在大尺度格网单元内被平均化,极端值被平滑。同时,原先分散的高温热点和低温冷点被逐渐融合,形成更大范围的连续性区域。这种由斑块状向连续性变化的格局演变,反映了尺度效应对LST空间分布模式的调控作用,也体现了不同尺度下LST与下垫面特征之间耦合关系的差异。

  • Pearson相关分析结果表明(图 4),在所有选取的尺度上,景观格局指标与LST均显著相关(p<0.05)。二维景观格局方面,绿地景观形状指数(绿地_LSI)与LST呈显著正相关(r接近0.6),表明绿地斑块形状越复杂,LST值越高。不透水表面聚合度指数(不透水表面_AI)和面积比(不透水表面_CA)与LST也表现出显著正相关(r>0.4),表明不透水表面空间格局的聚合程度和面积比例是影响城市热岛效应的重要因素。相反,水体面积比(水体_CA)和最大斑块指数(水体_LPI)与LST呈显著负相关(r接近-0.6,尤其在较大尺度下),表明水体面积越大、连通性越好,其降温效果越明显。三维景观格局方面,建筑高度和平均建筑高度与LST呈正相关,但相关性较弱(r<0.4)。而平均树高和树高总和与LST呈显著负相关(在100~500 m尺度下,r接近-0.4;在800~1 000 m尺度下,r接近-0.6),反映了植被高度在降低LST中的重要作用,其中r表示相关性大小。

    总的来说,LST与二维、三维景观指标之间存在显著的相关性,且相关性强度和方向表现出一定的尺度依赖性。在小尺度(100~300 m)下,绿地景观形状、不透水表面面积比等二维指标对LST的影响更为突出;而在大尺度(500~1 000 m)下,水体面积、植被高度等对LST的作用更加显著。这些结果表明,城市景观格局与热环境之间存在复杂的多尺度关联,在定量分析两者关系时需要综合考虑二维和三维景观特征。

  • 为定量评估二维和三维景观指标对LST的影响及其尺度依赖性,利用MLR模型,结合普通最小二乘法估计,分析了不同空间尺度下二维和三维指标对LST的解释力(图 5)。

    结果显示,二维景观格局指标对LST的解释力随空间尺度的变化而呈现出显著的波动。在小尺度(100 m和200 m)下,二维指标表现出相对较好的解释力,调整后的R2值分别约为0.38和0.43。表明在精细尺度下,水平向的景观特征(如地表覆盖类型和空间配置),对局部LST的变异具有较强的解释力。然而,随着尺度的增大二维指标的解释力呈现先下降后上升的趋势,在500 m尺度下降至最低(R2值约为0.11),随后在800 m和1 000 m尺度下回升显著,R2值分别达到0.47和0.63。反映了在不同尺度下,影响LST的主导性二维景观因素发生了改变。相比之下,三维景观格局指标在各个尺度下的解释力相对稳定,但总体低于二维指标和联合模型的解释力,其R2值除800 m尺度外均在0.20至0.33之间波动,表明垂直方向的景观特征(如建筑高度和平均树高),在不同尺度下对LST的影响相对较为一致,其单独解释力有限,反映出LST的变化是多种因素综合作用的结果。

    值得注意的是,联合二维和三维景观格局指标构建的模型在所有分析尺度下均表现出最优的解释能力,尤其是在较大尺度800 m和1 000 m下,模型的R2值分别高达0.58和0.57,显著高于单独使用二维或三维指标的情况。反映了综合考虑景观的水平和垂直特征对全面理解LST驱动机制的重要性。城市景观格局对热环境的影响是多维度、多尺度的,忽略任一维度或尺度都可能导致对这种复杂关系的片面理解。

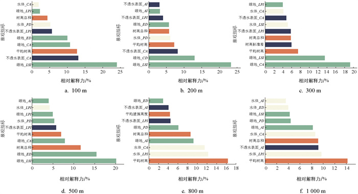
  • 为进一步揭示二维和三维景观指标对LST的相对重要性及其尺度依赖性,本研究采用BRT模型,定量评估了各景观指标在不同空间尺度下对LST的相对影响力[36](图 6)。

    结果显示,绿地景观指标如绿地_LSI、绿地_CA在小尺度(100~300 m)下对LST表现出最强的影响力,其相对解释力在10%以上,这表明在社区或街区尺度下,绿地的形状复杂度和面积比例是影响LST分布的关键因素[37]。然而,随着尺度的增大,绿地指标的重要性逐渐下降,在500 m以上的尺度,其相对解释力降至10%以下,这可能是由于在较大尺度下,绿地空间分布的离散性增加,其对区域热环境的调节作用显著削弱[38]。与绿地指标相反,不透水表面指标如不透水表面_CA、不透水表面_AI在小尺度下对LST的影响力相对较弱,但随着尺度的增大而逐渐上升,这一结果表明在局地尺度下,不透水表面的热环境效应可能被其他因素(如绿地、水体等)所掩盖,而在大尺度下,不透水表面的高热导性和热容量则成为影响LST分布的主导因素[39]。水体指标如水体_LPI、水体_CA对LST的影响在不同尺度下的差异有统计学意义。在小尺度下,水体指标的相对解释力较低(小于10%),但在800 m和1 000 m尺度下相对解释力急剧上升,这表明大面积水体(如湖泊、河流)对区域热环境的调节作用主要体现在大尺度下,而在小尺度下水体的降温效应可能受到其面积和空间分布的限制[40]

    在三维指标中,平均树高和树高总和在各个尺度下对LST均表现出较为稳定的影响力,这表明树冠层的三维指标对LST的调节作用具有一定的尺度不变性,无论是局地还是区域尺度,较高的乔木覆盖能够显著改善热环境[41]。相比之下,建筑高度指标对LST的影响力则相对较弱,这可能是由于建筑垂直特征对LST的影响主要体现在局部微气候环境上,而在较大尺度下其效应可能被其他因素所掩盖[42]

    总的来说,BRT模型的结果进一步说明了二维和三维景观指标对LST影响的尺度依赖性。在小尺度下,绿地形状和面积比例是影响LST分布的主要因素,而在大尺度下,不透水表面和水体的作用则更为显著。同时,树冠层的三维指标对LST的调节效应在各个尺度下均表现出相对稳定的解释力。这些发现表明在分析景观格局与LST的关系时,需要综合考虑不同类型景观要素在不同尺度下的相对重要性以准确理解城市热环境形成的驱动机制。

  • 为进一步揭示不同尺度下主导景观指标对LST的调控机制,从小尺度组(100~300 m)和大尺度组(500~1 000 m)分别分析主导景观指标的边际效应及阈值效应。边际效应显示了当其他变量保持不变时,某一景观指标变化对LST的影响,而阈值则反映了景观指标对LST影响的临界点[43]

    在100~300 m小尺度组中(图 7),绿地_LSI、绿地_CA、不透水表面_LPI、不透水表面_CA和平均树高的边际效应曲线均呈现出明显的非线性特征和阈值效应。绿地_LSI在100~300 m尺度下的阈值分别为2.1、3.5、4.5。在100 m和200 m尺度,绿地_LSI小于阈值时与LST呈正相关,当超过阈值后,LST趋于稳定,不再显著变化。在300 m尺度,绿地_LSI与LST的关系呈现出更为复杂的模式:在[0,1.4)区间呈负相关,表明在该尺度下,较低的形状指数可能更有利于形成连片的绿地,发挥降温作用;在[1.4,4.5]区间转为正相关;最终在超过4.5后趋于平缓。绿地_CA、不透水表面_LPI和不透水表面_CA在小尺度组内也表现出阈值效应。当这些指标低于各自的阈值时,与LST呈现显著的正相关。表明在小尺度下,绿地面积的增加、不透水表面斑块的增大以及不透水表面面积比的提高均与LST升高有关。相反,当超过这些阈值后,这些指标对LST的正向影响减弱,表明其增温效应存在饱和点。与其他指标不同,平均树高在小尺度组均与LST呈显著负相关,且阈值相对稳定(在100~300 m尺度下阈值分别为20.4、18.7、20.6),说明在小尺度下提高乔木覆盖度对降低LST具有持续的积极作用。

    在500~1 000 m大尺度组(图 8),绿地_AI、绿地_PD、水体_LPI、树高总和和平均树高的边际效应曲线同样呈现出非线性特征,但与小尺度相比,阈值特征有所不同。绿地_AI总体上与LST呈负相关,但低于阈值时其对LST的影响较弱,表明在大尺度下绿地斑块高度聚集能够显著改善区域热环境。相反,绿地_PD在低于阈值时与LST呈正相关,但超过阈值后其对LST的影响逐渐减弱,表明在区域尺度上过于破碎化的绿地格局不利于缓解热岛效应[44]。水体_LPI、树高总和和平均树高超过各自的阈值后,其降温效果趋于饱和,表明在大尺度下水体面积比例、乔木覆盖度和树冠高度的增加在一定范围内能够有效缓解热岛效应,但超过一定范围后降温效果显著减弱。

4.   结论与展望
  • 本研究结果表明,昆明市二维和三维景观格局对LST的分布格局具有显著影响,且这种影响具有明显的尺度效应。在所有尺度下,二维和三维景观指标的组合均能解释LST大部分变异,表明城市景观格局的水平异质性和垂直复杂性是影响城市热环境形成的关键因素。这一发现与既有研究结果一致。例如文献[45]在中国338个城市的多尺度景观分析中表明,景观组成和配置指标可解释LST变异的大部分,且在不同尺度下差异有统计学意义;文献[46]在上海市的多尺度景观格局演变对LST的影响研究中也表明,影响城市热环境的因素在城市和中心城市尺度下存在差异,且存在最佳解释尺度。这些研究共同印证了城市景观格局与热环境之间存在显著的多尺度关联,表明城市景观规划和管理需要在多个空间尺度下统筹考虑,才能有效缓解城市热岛效应。

    进一步研究发现,二维和三维景观指标对LST的解释力在不同尺度下呈现非线性特征,在500 m尺度下出现明显的低谷,而在800 m和1 000 m尺度下解释力相对较高。这表明城市景观格局与热环境的关系可能存在尺度阈值效应,即在特定尺度范围内,景观格局对热环境的影响较为显著,而在该范围以外,其影响可能被其他因素所掩盖。类似的尺度阈值效应在其他研究中也有报道。例如,文献[47]在上海市的研究中发现,夏季绿地二维和三维景观指标与LST的相关性总体呈现上升趋势,但在540 m和810 m尺度下解释力有所下降;文献[48]在北京、石家庄、沧州3个不同规模的城市研究中也发现,下垫面组成对LST的影响在北京大规模城市的尺度下则较为显著,而沧州小规模城市的尺度下显著减弱。产生这种尺度阈值效应的原因有多方面。一方面,在较小尺度下,城市下垫面类型的高度异质性和破碎化特征掩盖了景观格局的热环境效应,而在较大尺度下,下垫面组成的热力学特性在区域尺度下得以充分显现。另一方面,中等尺度(如500 m)是城市小气候效应(如热力循环、冷气流等)发生的临界尺度,这些小气候过程在一定程度上削弱了下垫面景观格局对LST的影响。这些结果表明,城市景观格局与热环境的关系是一个具有多尺度复杂性的问题,不同驱动因子在不同尺度下的相对重要性可能发生改变,因此在探讨城市景观格局与生态过程的关系时,需要综合考虑多个尺度下的驱动机制,以准确把握城市复杂系统的结构和功能关系。

  • BRT模型分析发现,对LST影响最大的5个景观指标在不同尺度组(100~300 m,500~1 000 m)差异有统计学意义。在小尺度组(100~300 m)中,绿地_LSI、绿地_CA以及不透水表面_LPI是影响LST的主要因子;而在大尺度组(500~1 000 m)中,绿地_AI、绿地_PD以及水体_LPI的相对重要性则更为突出。这一结果与前人研究结论基本一致。例如,文献[49]在长三角城市群的研究中发现,尺度变化影响了景观尺度变化与LST变化之间的关系。随着尺度的扩大,不同景观尺度变化与LST变化的相关性持续增强,其中面积相关指标对LST变化的影响最为显著,呈正相关关系。文献[50]在南京市的研究中也表明,当空间尺度增加时建筑物和树木对LST的影响通常更为显著。

    产生上述尺度依赖性的原因可能与不同尺度下的景观生态过程密切相关。在小尺度下,景观斑块的形状复杂程度会显著影响其与周围环境的物质和能量交换,进而影响局地小气候环境。例如,形状复杂的绿地斑块具有更长的边界,可以与周围建设用地产生更多的冷热交换,从而增强其降温效应[51];而高度聚集的不透水表面则会阻碍热量的扩散,加剧热量在局地的积聚[52]。相比之下,在大尺度下,景观斑块的空间聚集程度和连通性可能成为影响区域热环境的主导因素。例如,高度聚集分布的绿地和水体可以形成区域冷岛,通过冷气流和蒸腾作用有效缓解整个区域的热岛效应[53];而破碎化分布的绿地斑块则难以形成区域降温效应,其生态功能也被削弱。

    此外,各景观指标与LST之间均表现出非线性的边际效应曲线,且存在明显的阈值效应。表明景观格局对热环境的调节服务存在临界值或拐点,即当景观指标达到某一临界值后,其生态效应会发生质的改变。例如,在小尺度下,绿地形状指数和面积比例在超过某一阈值后,其降温效应趋于饱和,这意味着过高的绿地密度和破碎化程度并不能进一步改善局地热环境。类似地,在大尺度下,绿地聚合度只有在超过某一临界值后才与LST呈现显著的负相关关系,表明只有当绿地斑块高度聚集时,才能形成有效的区域冷岛效应。这些结果丰富了我们对城市景观过程非线性动力学和阈值响应的理解,表明城市生态系统服务的提供存在临界点,超过该临界点后,服务功能会发生突变。因此,在制定城市绿地规划时,需要充分考虑关键景观指标的阈值效应,将其作为规划设计的重要依据,以实现城市景观格局优化与生态系统服务提升的协同。

  • 本研究结果对于指导城市景观规划和制定热岛缓解策略具有重要的启示意义。首先,在城市总体规划层面,应充分考虑城市景观格局的多尺度效应,完善由区域尺度的绿地基础设施网络和局地尺度的城市冷岛斑块组成的多层级规划体系,以发挥不同尺度景观要素的协同降温作用[54];其次,在城市绿地系统规划中,应注重提高关键景观指标(如绿地)的配置,将其作为规划目标和管控指标纳入规划编制和管理考核体系,并识别各指标的阈值范围,以实现规划成效的量化评估和动态监测;再次,在街区和社区尺度的城市设计中,应加强对局地微气候环境的营造,优化小尺度绿地的空间布局(如增加绿地边缘长度和提高景观异质性),合理控制不透水表面的规模(如降低其聚集度),并结合立体绿化手段塑造城市绿量,以改善行人尺度的热舒适性[55];最后,在城市更新和存量规划中,应结合本研究提出的多尺度分析框架,评估建成城区景观格局的热环境效应,识别关键景观指标的短板,并制定针对性的景观优化策略,以实现城区热环境品质的提升。

  • 尽管本研究取得了一些有益的成果,但仍存在一些不足之处。首先,受数据获取的限制,仅分析了夏季白天的热环境特征,未能考虑全天候和全年尺度的时空动态变化,未来研究应综合利用地面观测数据和多时相遥感影像,深入分析城市热岛强度的日变化和季节变化规律及其形成机制[56-57];其次,案例城市为地处我国西南地区的昆明市,其特殊的地理环境和气候条件可能影响研究结论的普适性,未来研究有必要选取不同气候带、不同发展阶段、以及具有不同自然和人文地理背景的城市进行对比,从而更深入地理解景观格局与热环境的关系在不同区域的差异和共性[58]

Figure (8)  Table (1) Reference (58)

Catalog

    /

    DownLoad:  Full-Size Img  PowerPoint
    Return
    Return