-
开放科学(资源服务)标识码(OSID):

-
菊花(Chrysanthemum morifolium)为多年生宿根草本植物,既是我国传统的观赏花卉,也是重要的药食同源植物[1]。作为大宗中药材之一,菊花具有“散风清热、平肝明目、清热解毒”之功效[2]。据记载,菊花起源于中国,经自然环境和长期人工选择,形成固定产地,成为道地药材[3]。然而,在菊花种植过程中,受环境因素的影响和田间管理不当等原因,加重了害虫的发生为害,滥用化学杀虫剂的现象较为普遍,农残超标风险较大,严重影响作为药用和食用菊花的产量和品质安全[4-5]。
近年来,国内许多地区开展了菊花害虫种类的调查工作,例如安徽[6-7]、湖北武汉[8-9]、重庆[10]、广东[11-12]、陕西西安[13]、山西太原[14]、浙江嘉兴[15]和云南昆明[16]。蒋细旺等[17]通过调查我国菊花主产地和大型花卉市场,结合相关文献资料,编制了菊花害虫名录。此外,国内外学者还对菊花主要害虫如菊花瘿蚊[18]、菊小筒天牛[19]、菊小长管蚜[20-21]、西花蓟马(Frankliniella occidentalis)[22-23]、斜纹夜蛾(Spodoptera litura)[24]和二斑叶螨(Tetranychus urticae)[25-26]进行了深入研究。然而,前人的研究主要集中在菊花害虫及防治,而忽略了天敌种类的研究,这不能很好地体现菊花害虫及其天敌之间的消长规律,也限制了通过分析害虫及其天敌的群落结构特征和时间格局以制定相应的防治措施。
理清昆虫群落中害虫及其天敌之间的相互作用关系,需要借助群落生态学的理论与方法,有针对性地制定科学有效的害虫防治规程,从而进行害虫生态调控[27-29]。因此,本研究于2017—2018年对泰安市菊花害虫及其天敌进行了系统调查,摸清了其物种组成,明确了主要害虫及其天敌种群动态和内在联系,分析了害虫及其天敌群落结构特征和不同时期害虫及其天敌的时间格局,对于指导菊花害虫绿色防控和天敌保护利用具有重要的理论和实践意义。
HTML
-
试验田选在山东农业大学农学院中草药园(36°09′50″N,117°09′44″E),菊花品种为“泰山皇菊”,种植面积为450 m2。周围种有忍冬、丹参和连翘等药用植物。园内未使用任何化学农药,只进行人工除草和灌溉等常规田间管理。
-
采用棋盘式取样,南北向取样点(5个点)间距为5 m,东西向取样点(4个点)间距为4 m,共20个取样点,每个点取2株,目测法调查整株所有害虫及其天敌的种类和数量。调查时间为2017年4月22日至10月28日、2018年6月18日至10月14日,每7 d调查1次,每次集中在上午进行,2017年调查28次,2018年调查13次。
-
已知物种在调查过程中直接记录,不确定物种做好标记后保存并带回实验室,参考昆虫分类学和相关昆虫物种鉴定专著对物种进行鉴定,对不易辨别的种类鉴定到属或科。
-
使用Excel对调查数据进行初步统计并作图,利用DPS数据处理系统(V7.05)计算群落特征指数,采用有序样本最优分割法对群落的时间格局进行划分[30],主要公式如下。
(1) 相对多度:即各类群个体数量占群落调查个体总数量的比例Pi,Pi = Ni / N。
(2) 生态优势度指数:以Simpson集中性指数(C)表示,C = ∑ Pi2。
(3) 群落多样性指数:采用Simpson-Wiener多样性指数(H′)模型计算,H′= -∑ (Pi ln Pi)。
(4) 均匀度指数:根据Pielou均匀度指数(J)公式计算,J = H′ / Hmax=H′/ ln S。
式中,Ni为某一物种i的个体数,N为所有物种的个体总数,Hmax为群落的最大多样性指数,S为物种数。
1.1. 试验田概况
1.2. 调查方法
1.3. 分类鉴定
1.4. 数据分析
-
两年调查发现菊花害虫及其天敌共70种,隶属于2纲11目44科,其中害虫39种,天敌31种。相对多度最大的是小绿叶蝉,为32.49%,其余依次是棉蚜(21.22%)、菊花瘿蚊(14.34%)和大青叶蝉(12.59%)(表 1)。
-
叶蝉类主要是小绿叶蝉和大青叶蝉,它们刺吸菊花叶片。2017年5月中旬,小绿叶蝉开始发生,6月中旬至7月中旬为发生盛期,之后数量减少,一直持续到调查结束;大青叶蝉在8月底之前零星发生,进入9月数量明显增加,10月下旬开始减少(图 1a)。2018年叶蝉类种群数量明显少于2017年的数量,其中,小绿叶蝉在整个调查期间均有发生,8月中旬至10月中旬为发生盛期;大青叶蝉在调查期间仅少量发生(图 1b)。
-
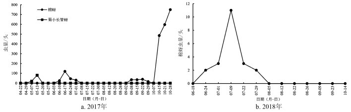
蚜虫类主要有棉蚜和菊小长管蚜,刺吸为害菊花叶片、顶端生长点和花蕾。2017年,棉蚜在6月中下旬、9月中旬和10月中下旬均有发生,特别是在10月中旬之后,棉蚜种群数量骤增;菊小长管蚜仅在5月上中旬发生,且数量相对较少(图 2a)。2018年,由于开始调查时间较晚,仅在6月下旬至7月下旬发现少量棉蚜(图 2b)。
-
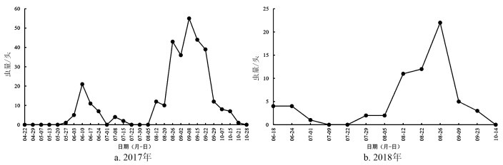
菊花瘿蚊在菊株叶腋、顶端生长点以及嫩叶上为害形成虫瘿,每个虫瘿内有幼虫1~6头不等。为方便调查,主要统计虫瘿个数。2017年在整个调查期间几乎都能发现菊花瘿蚊为害产生的虫瘿,特别是6月中旬至7月中旬,为发生高峰期(图 3a)。2018年在整个调查过程中同样发现虫瘿,但数量明显少于2017年,主要集中于6月中下旬(图 3b)。
-
植食性蝽类主要包括谷子小长蝽、稻棘缘蝽和绿盲蝽,以成虫、若虫刺吸为害菊花叶片、嫩茎和花蕾。2017年4月下旬、6月上中旬和7月下旬零星发生,8月中下旬至10月下旬为发生盛期,其中10月7日虫量达最大值(图 4a)。2018年发生期主要集中在6月下旬和8月中旬,其中7月29日虫量达到峰值(图 4b)。
-
短额负蝗以成虫、若虫取食为害菊花叶片。2017年5月下旬开始出现,6月和8月中旬至10月中旬为发生盛期,9月8日虫量达最大值(图 5a)。2018年6月和7月下旬至9月下旬发生量较多,8月26日虫量达高峰值(图 5b)。
-
菊小筒天牛主要以成虫咬食和幼虫蛀食菊花茎秆,造成茎梢失水萎蔫。2017年4月下旬至5月上旬,主要以成虫为害,数量较少;5月中旬至8月上旬,主要以幼虫为害,由于其钻蛀性,调查时不易发现,所以根据茎秆上的排粪孔和根茎外的新鲜虫粪屑作为虫量统计标准,在5月27日虫量达高峰值,随后数量减少,7月8日虫量再次增多,进入8月未见其为害(图 6a)。2018年,菊小筒天牛主要在6月下旬至7月初发生,此时主要以幼虫为害,虫量远远少于2018年的数量(图 6b)。
-
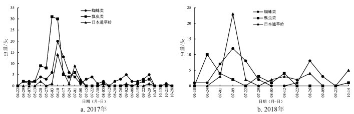
天敌主要有蜘蛛类(跳蛛、三突伊氏蛛、鞍形花蟹蛛、黄褐新园蛛、蚁蛛和拟水狼蛛)、瓢虫类(龟纹瓢虫、异色瓢虫、多异瓢虫、双七瓢虫和七星瓢虫)和日本通草蛉。2017年,蜘蛛类主要集中在5月中旬至7月上旬、8月下旬至9月下旬,6月10日为最大值;瓢虫类主要发生在5月中旬至7月上旬、9月中下旬,6月3日达高峰值;日本通草蛉主要发生在6月上中旬和7月上旬,6月10日数量达峰值。5月上中旬,菊小长管蚜和少量的小绿叶蝉发生,作为其天敌的瓢虫类、蜘蛛类和日本通草蛉数量逐渐增加;6月中下旬和9月,由于棉蚜、小绿叶蝉和大青叶蝉的出现,为瓢虫类和蜘蛛类提供了充足的食物来源,其数量有所增加;之后气温降低,各类天敌种群数量逐渐减少(图 7a)。2018年6月下旬至7月下旬,棉蚜发生,以蚜虫为食的瓢虫类、蜘蛛类和日本通草蛉发生量大,其中瓢虫类在6月24日、蜘蛛类和日本通草蛉在7月9日分别达高峰值;进入8月,小绿叶蝉开始大量发生,以蜘蛛类为主的天敌类群数量较多,对害虫起到控制作用(图 7b)。
-
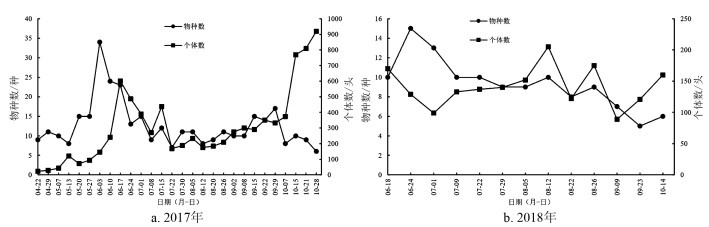
2017年菊花害虫及其天敌的物种数整体上呈先增加后减少的变化趋势。4月22日至5月13日,菊花正处于幼苗期,植株矮小,物种数较少。5月20日至6月24日,叶蝉类、蓟马类和直翅目害虫等开始为害菊花,瓢虫类、蜘蛛类和日本通草蛉等天敌也开始出现,6月3日,物种数达最高值,为34种;之后棉蚜、小绿叶蝉和菊花瘿蚊等大量发生,其他害虫种类减少,物种数降低。7月1日至9月29日,物种数整体变化较平稳。进入10月,气温降低,物种数逐渐减少。除10月外,菊花害虫及其天敌的个体数与物种数变化趋势相似。5月13日,菊小长管蚜和菊花瘿蚊大量发生,个体数增加而物种数稍有下降;6月17日,个体总数达到高峰值;进入10月,个体数与物种数变化趋势相反,原因是此时温度下降,大多数物种种类减少,棉蚜仍大量发生,个体数随之增加(图 8a)。
与2017年相比,2018年菊花害虫及其天敌的物种数和个体数均明显偏少。整个调查期间的物种数呈先增加后减少的变化趋势。其中,6月24日物种数达最大值(15种),之后物种数量逐渐减少。个体数整体上在一定范围内(89~205头)上下波动。6月,菊小筒天牛、菊花瘿蚊和小绿叶蝉大量发生,个体数量较高;8月,由于小绿叶蝉和短额负蝗种群数量增大,影响了个体数的波动变化;9月至调查结束,叶蝉类种群数量增加,个体数随之增加(图 8b)。
-
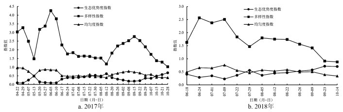
2017年,菊花主要害虫及其天敌群落多样性指数整体较高,期间波动幅度较大。4月,物种数较少,但多样性指数较大,这是因为菊花害虫及其天敌的种群数量都很少,没有聚集成种群数量很高的优势种,均匀度指数较高。5月上中旬,菊小长管蚜和菊花瘿蚊大量发生,成为优势种,使得多样性指数降低。5月下旬至6月上旬,蚜虫数量减少,均匀度指数较大,多样性指数增大,6月3日多样性指数达到最高值,为4.26。从6月中旬至8月中旬,小绿叶蝉和菊花瘿蚊大量发生,成为优势种,占据主要生态位,生态优势度指数上升,多样性指数和均匀度指数降低。8月下旬至9月中旬,随着小绿叶蝉数量减少和其他害虫及其天敌种群数量增多,种群分布的不平衡性降低,多样性指数升高,在9月15日多样性指数达到高峰值,为2.77。9月中旬至调查结束,由于棉蚜的大量出现以及其他物种数量减少,棉蚜成为优势种,生态优势度指数上升,多样性指数明显下降。从整体上看,均匀度指数的变化趋势与多样性指数大体相似,与生态优势度指数的变化趋势相反(图 9a)。
2018年,菊花害虫及其天敌群落多样性指数整体上呈先上升后下降的变化趋势,期间略有波动。6月中旬至7月上旬,物种数较高,多样性指数较大,6月24日达最高值,为2.56。之后到7月底,一些害虫及其天敌种类减少,谷子小长蝽和棉蚜种群数量增加,多样性指数有所下降。8月上旬至调查结束,小绿叶蝉大量发生,成为优势种,多样性指数逐渐下降。从整体上看,均匀度指数的变化趋势与多样性指数大体相似,与生态优势度指数的变化趋势相反(图 9b)。
-
对2017年(28次)和2018年(13次)的调查数据,以时间为样本属性,以害虫及其天敌为指标属性,分别构成28×69和13×22矩阵,进行有序样本最优分割。两年的误差函数值均在分类数4之后变化平稳,因此,将两年的害虫及天敌群落的时间格局分别分成4段为最佳(表 2)。
2017年,第1时段(1~6)为4月22日至5月27日,菊花处于幼苗期,菊小长管蚜、菊小筒天牛、菊花瘿蚊和小绿叶蝉的发生量较大;天敌主要有蜘蛛、瓢虫、草蛉和食蚜蝇等,但数量相对较少。第2时段(7)为6月3日,菊花上未发现蚜虫,植食性蝽类、叶蝉类和短额负蝗等开始发生;相应地,天敌如蜘蛛和瓢虫等也开始大量出现。第3时段(8~9)为6月10日至6月17日,此时棉蚜、小绿叶蝉和菊花瘿蚊的数量增加;蜘蛛、瓢虫和草蛉等天敌的数量也随之增加。第4时段(10~28)为6月24日至10月28日,该时段内气候适宜,利于菊花生长,为害虫及其天敌提供食物来源和躲避场所。其中,6月下旬至8月下旬,主要害虫以小绿叶蝉和菊花瘿蚊为主,蜘蛛、瓢虫和草蛉等天敌均有发生;9月上旬至10月下旬,气温逐渐转凉,菊花进入开花期,棉蚜、植食性蝽类、大青叶蝉、菊花瘿蚊和短额负蝗的种群数量呈现先增加后减少的变化趋势,天敌包括蜘蛛、瓢虫和草蛉的数量同样先增加后减少。
2018年,第1时段(1)为6月18日,主要害虫有小绿叶蝉和菊花瘿蚊;天敌以蜘蛛为主。第2时段(2)为6月24日,小绿叶蝉和菊花瘿蚊数量减少,菊小筒天牛数量增加,一些植食性蝽类也开始出现;天敌主要以瓢虫和蜘蛛为主。第3时段(3~5)为7月1日至7月22日,棉蚜开始发生,小绿叶蝉和植食性蝽类的种群数量开始增加,菊花瘿蚊数量明显减少;相应地,草蛉、蜘蛛和瓢虫等天敌数量也随之增加。第4时段(6~13)为7月29日至10月14日。其中,7月底至8月下旬,小绿叶蝉、菊花瘿蚊和短额负蝗的数量明显增加,以谷子小长蝽和稻棘缘蝽为主的植食性蝽类数量较多;天敌主要以瓢虫和草蛉居多。进入9月后,植食性蝽类和短额负蝗的种群数量有所下降,小绿叶蝉仍大量发生,大青叶蝉数量开始增加;天敌主要有蜘蛛和草蛉。
2.1. 菊花害虫及其天敌物种组成和相对多度
2.2. 菊花主要害虫及其天敌种群动态
2.2.1. 叶蝉类种群动态
2.2.2. 蚜虫类种群动态
2.2.3. 菊花瘿蚊种群动态
2.2.4. 植食性蝽类种群动态
2.2.5. 短额负蝗种群动态
2.2.6. 菊小筒天牛种群动态
2.2.7. 重要天敌的种群动态
2.3. 菊花害虫及其天敌群落特征
2.3.1. 菊花害虫及其天敌物种数和个体数
2.3.2. 菊花害虫及其天敌群落特征指数
2.4. 菊花害虫及其天敌群落的时间格局
-
两年调查发现,菊花害虫及其天敌70种,其中害虫39种,天敌31种,与安徽黄山贡菊害虫13种[7]、湖北武汉地区菊花害虫10种[8]、浙江杭白菊害虫及其天敌27种[15]相比,本研究所调查到的害虫及其天敌种类更加丰富。对照蒋细旺等[17]编制的菊花害虫名录,有些害虫在泰安地区菊花上未发现,这可能是由于不同地域的环境差异造成的。另外,为减少对菊花田的干扰和破坏,未调查地下害虫,一定程度上影响了菊花害虫物种组成。不同地区由于作物生长环境差异,菊花主要害虫及其天敌的优势种也不尽相同。例如,安徽黄山贡菊,发生较多且危害严重的害虫种类有菊小长管蚜、桃蚜(Myzus persicae)、大青叶蝉、温室白粉虱(Trialeurodes vaporariorum)、斜纹夜蛾和蛴螬等;天敌主要有异色瓢虫、龟纹瓢虫、黑带食蚜蝇和草蛉等[7]。浙江杭白菊,主要害虫有棉蚜、绣线菊蚜(Aphis citricola)、斜纹夜蛾、甜菜夜蛾(Spodoptera exigua)、甜菜白带野螟(Hymenia recurvalis)、烟粉虱(Bemisia tabaci)、二星蝽和绿盲蝽等;天敌主要包括蚜茧蜂、绒茧蜂、瓢虫、食蚜蝇、小花蝽和草蛉等[15]。泰安地区菊花的主要害虫有小绿叶蝉、大青叶蝉、棉蚜、菊小长管蚜、菊花瘿蚊、植食性蝽(谷子小长蝽、稻棘缘蝽、绿盲蝽)、短额负蝗和菊小筒天牛等;天敌主要有蜘蛛(跳蛛、三突伊氏蛛)、瓢虫(龟纹瓢虫、异色瓢虫)和日本通草蛉等。
从群落结构特征的分析结果来看,两年菊花害虫及其天敌群落多样性指数较高,最大峰值均在6月份,整个调查期间多样性指数波动幅度明显,这种情况的发生与周围环境、气候条件和田间管理等有密切关系。中草药园内除了菊花,还种植忍冬、丹参、连翘等,园外与玉米田、蔬菜田和桃园毗邻,周围环境复杂,一些不为害菊花的害虫迁入,改变了群落结构。气候条件(如温度、降雨等)也是影响昆虫群落的重要因素。在调查末期,随着温度降低,害虫及其天敌的种类和数量减少,群落多样性指数随之下降;降雨会影响昆虫的正常活动,为避雨会隐蔽躲藏,调查时不易发现,使得群落多样性指数变小。此外,田间管理如人工除草和灌溉等,会改变在土壤表面栖息或爬行昆虫的生存环境,从而影响菊花害虫及其天敌的群落结构。
研究昆虫群落的时间格局,对于掌握各时期内害虫及天敌的发生特点、防治或保护具有重要的理论和实践意义[27]。本研究对菊花田害虫及其天敌群落的时间格局进行了划分,结合害虫及其天敌种群的发生动态、菊花生育期和气候条件,均分为4个时段。综合两年的研究结果表明,泰安地区菊花上以刺吸类害虫居多,例如叶蝉、蚜虫和植食性蝽类等,发生量大且常聚集为害。菊花花期通常在9-11月,与此类害虫的发生盛期(6-10月)有重叠,多聚集在花蕾上进行为害,应加强对这类害虫的防控。害虫的大量发生会伴随着天敌的出现,例如瓢虫、蜘蛛和草蛉等,此时应合理使用化学杀虫剂,减少对自然天敌的伤害。为提高菊花产量和品质,必要时可有选择性地使用一些低毒低残留的化学杀虫剂,如新烟碱类杀虫剂吡虫啉、植物源农药苦参碱等[31-32]。值得注意的是,作为药用和食用菊花,在进行化学防治时要避开采摘期,以降低花蕾中的农药残留。本研究发现,菊小筒天牛和菊花瘿蚊是两种对菊花正常生长发育威胁较大的害虫。菊小筒天牛成虫咬食菊花茎秆并将卵产在茎内,导致植株茎梢失水萎蔫弯曲或干枯死亡,且咬食伤口处易遭风折;幼虫具转株为害习性,在茎秆内自上而下蛀食为害,严重时整株菊花茎秆被蛀空[19]。菊花瘿蚊成虫产卵具有趋嫩性,通常产在菊株叶腋、顶端生长点和嫩叶表皮内,幼虫不断吸食汁液而刺激受害部位快速生长形成虫瘿,致使菊花生长缓慢、畸形,坐蕾率降低[18]。由于菊小筒天牛幼虫的钻蛀性与虫瘿外壳对菊花瘿蚊幼虫的严密保护,使用触杀性化学杀虫剂无法直接作用于虫体,防治效果不理想。然而,调查期间发现,一种姬蜂(未知种)常在菊小筒天牛为害的菊花周围(特别是植株上的排粪孔部位)搜寻,很有可能是菊小筒天牛的天敌。据报道,一些隐蔽性寄主害虫的虫粪中最有可能存在吸引其天敌的化学物质[33],这也部分地解释了该姬蜂可能寄生菊小筒天牛。此外,通过田间剖查菊花瘿蚊形成的虫瘿,发现其内部有寄生性天敌的幼虫,推测是一种姬小蜂(未知种),可以用产卵器穿透虫瘿壳寄生的菊花瘿蚊幼虫。鉴于此,可通过一些保护措施增加这些寄生蜂的数量,充分利用其自然控制作用能很好地控制害虫种群增长,从而保障菊花的绿色安全生产。
DownLoad: