-
开放科学(资源服务)标识码(OSID):

-
随着全球人口增长与膳食结构升级,稻米作为世界上重要的主食来源之一,其品质的优化和稳定性对于保障食品安全和提高消费者满意度至关重要[1]。米饭是典型的中华传统主食,其品质受遗传背景、生态环境以及加工工艺等多种因素协同调控[2-4]。其中,蒸煮米饭在口腔加工阶段的动态感官属性(如质地演化与风味释放特性)直接影响消费者的接受度与复购意愿,成为品质评价的核心指标[5]。
米饭的食味品质不仅取决于其内在组分和物理结构[6],还受到口腔加工过程中唾液酶解作用(α-淀粉酶催化)、咀嚼力学(剪切速率、应变分布)和食团结构重组(水分迁移、相态转变)等外源因素的动态调节[7]。在口腔加工过程中,水分含量作为核心中介变量,通过调控玻璃化转变温度与分子迁移率,显著影响食团的黏弹性模量、破碎能耗等力学响应行为[8-9]。
尽管现有研究已从静态角度解析了米饭的质地特性与风味组分,但对口腔加工过程中水分迁移、质地变化与风味释放的综合动态变化机制仍缺乏系统研究[10]。高光谱成像(Hyperspectral Imaging,HSI)技术是一种结合了光谱学和成像科学的方法,能够高效、无损地分析和可视化样品的化学成分和物理特性,已用于预测食品成分如猕猴桃的可溶性固体含量[11]、干腌猪肉的水分分布[12]、抹茶的粒度分布[13]等,展现了其在食品和农产品研究中的独特优势。
本研究针对上述科学问题,采用HSI技术,对蒸煮米饭在口腔加工过程中的含水率变化进行实时监测和分析。基于高光谱反射光谱结合偏最小二乘回归(Partial Least Squares Regression,PLSR)分析,建立了米饭食团含水率的预测模型,以期为米饭食味品质的科学评价和精米加工工艺的优化提供理论依据。
全文HTML
-
本实验选用来自不同产地的4种大米,包括3种粳米和1种籼米,具体品种和产地信息如表 1所示。
-
MB-FB40M1-716S电饭煲(广东美的生活电器制造有限公司);FA1004电子天平(上海舜宇恒平科学仪器有限公司);HSI系统,包括ImSpector V10E摄像机(Spectral Imaging有限公司)、光源Fiber-Lite DC-950(Dolan-Jenner Industries股份有限公司)。
-
由于籼米和粳米在直链淀粉含量上存在差异,因此它们在烹饪时的加水量也有所不同。通常,粳米的加水量为大米的1.2倍,而籼米则为1.3倍[14]。为了减少加水量在大米蒸煮过程中的影响,统一采用大米与蒸馏水的米水比为1∶1.3[15],电饭煲模式选择柴火饭。实验时,称取大米500 g,将大米淘洗3遍后与水混合,加水至1 150 g,电饭煲蒸煮40 min,蒸熟后让米饭在锅中焖20 min,最后得到成品米饭。
-
根据Pu等[16]的方法,本研究招募并筛选了8名志愿者(4名女性和4名男性),年龄在18至25岁。所有志愿者均身体健康,嗅觉和味觉功能正常,不吸烟,并已签署知情同意书。样本采集时间为每天早上9点至11点,志愿者在采集前1 h内禁止吸烟、饮酒及食用辛辣或刺激性食物。
在口腔内,米饭一般经过30次咀嚼后基本达到吞咽点[17]。因此,实验中将米饭的咀嚼过程分为6个阶段:0 s、3 s、6 s、9 s、12 s和15 s,分别标记为A1、A2、A3、A4、A5和A6。其中,0 s表示米饭的初始状态,15 s表示达到吞咽点。每位志愿者以每秒咀嚼2次的频率咀嚼样品,每个阶段均进行3组平行实验以减少误差,每份样品的重量约为8 g。实验中每天采集1种大米的样本,且志愿者在每个时间段之间有5 min的休息时间以漱口、喝水和休息。
-
每次称取约8 g米饭,按照1.3.2节中的方式进行口腔咀嚼,咀嚼后将其吐入培养皿中。将不同咀嚼阶段食团样本放入105 ℃的干燥箱中干燥至恒质量,由式(1)计算含水率:
式中:MC为食团含水率(%);m1为食团的质量(g);m2为食团干燥后的质量(g)。
-
实验前,高光谱系统需预热30 min,然后在899~1 748 nm的范围内进行光谱扫描,覆盖512个波长。为了减轻暗电流和不均匀照明等因素引起的潜在噪声,采用式(2)进行黑白校正:
式中:R为校准图像;I为原始图像;B和W分别为黑白参考。
使用HSI Analyzer软件进行原始图像校正后,采用ENVI 4.3软件对高光谱图像进行处理,如图 1(以SLJ大米为例)所示。在样本图像中选择100×100像素的感兴趣区域(Region of Interest,ROI),提取该区域的光谱平均值作为该样本的反射光谱[18]。为了提高光谱的再现性并降低噪声,采用高斯滤波(Gaussian Filtering,GF)和Savitzky-Golay平滑(Savitzky-Golay Smoothing,SG)方法对收集到的光谱数据进行预处理。预处理后的光谱数据用于建立PLSR模型,以实现光谱数据与食团含水率之间的定量关联。通过进一步模型优化,确定最佳预测模型。
-
使用ENVI 5.3软件提取高光谱图像反射光谱;使用Unscrambler X 10.4软件进行光谱预处理和特征选择;使用MATLAB 2023a软件构建模型并进行数据分析;使用Origin 2021软件绘制图形。
1.1. 实验材料
1.2. 仪器与设备
1.3. 米饭咀嚼实验
1.3.1. 米饭的蒸煮工艺
1.3.2. 食团样本制备及采集
1.4. 含水率测定方法
1.5. 高光谱数据采集与分析
1.6. 数据处理
-
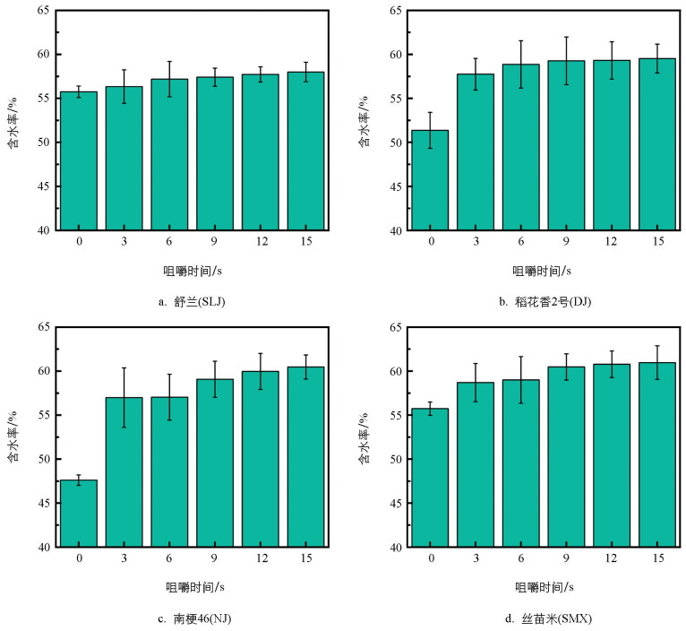
图 2展示了4种不同品种的大米蒸煮后的初始含水率及其在不同咀嚼阶段的食团含水率变化情况。从蒸煮米饭的初始含水率(0 s处)可以看出,不同品种大米的吸水性差异显著。SLJ和SMX的初始含水率维持在55%~60%,表明这2种米饭的水分保持能力较强,适合长时间的烹饪与食用[19]。相比之下,DJ和NJ在蒸煮后的含水率较低,显示其水分吸收能力相对不足,从而可能影响其在食用时的口感体验[20]。
在咀嚼过程中,不同品种米饭的唾液浸润和淀粉酶水解表现出明显的差异。DJ的含水率随着咀嚼时间的延长逐渐增加,表明其能够更有效地吸收唾液中的水分,可能与其淀粉结构的特性有关[21]。NJ的初始含水率最低,但在咀嚼过程中迅速上升,显示其在咀嚼阶段的淀粉酶水解及水分吸收能力较强[22]。SLJ和SMX的含水率在整个咀嚼过程中保持稳定,说明它们在口腔中的水分保持性及唾液对其水解的影响较为一致。
-
图 3显示了大米在口腔咀嚼不同阶段的反射光谱,不同波长的特征吸收情况反映了水分和其他成分在咀嚼过程中的动态变化。随着咀嚼时间的增加,米饭食团的反射率逐渐降低。这种变化可能是由于咀嚼过程中食团内部成分和含量的改变,如米饭中的淀粉被唾液淀粉酶水解并释放出单糖或双糖,从而影响米饭的口感和味道[23]。如图 3a所示,特定波长的吸收峰反映了食团中化学成分的关键信息。在960 nm附近的吸收峰通常与物质中水分的存在有关,特别是O—H键的振动,该波段表明了食团中的水分和碳水化合物在咀嚼过程中的变化,导致反射光谱轮廓的变化。在1 050 nm附近的强烈吸收峰通常与C—O键的振动相关,主要存在于多糖(如淀粉)和其他碳水化合物中[24]。这个吸收峰反映了淀粉的结构特性及其在咀嚼过程中可能的变化。在1 300 nm附近的吸收峰同样与O—H键和C—H键的振动有关,常见于水分和脂肪等成分。该吸收峰的变化可能反映了食团中脂肪成分的释放或结构变化,这对于理解米饭在口腔咀嚼过程中的感官特征至关重要[25]。
基于ROI提取的反射光谱信息,采用PLSR构建了米饭食团含水率的定量预测模型,并对其在预测米饭口腔加工过程中的含水率进行了评价。训练模型使用全波长反射光谱作为输入(变量X),食团含水率作为输出(变量Y),基于不同预处理方式所构建的预测模型效果如表 2所示。其中,RC为校正相关系数;RMSEC为校正均方根误差;RCV为交叉验证相关系数;RMSECV为交叉验证均方根误差;RP为预测相关系数;RMSEP为预测均方根误差。
由表 2可知,采用PLSR并结合GF平滑预处理的模型在预测效果上较好,对食团含水率的RP为0.890 1,RMSEP为0.018 4,这表明预测值和实际含水率之间存在很强的线性关系。图 4直观地展示了GF-PLSR模型的预测效果,含水率真实值和预测值之间存在明显的线性相关性,凸显了该模型具有较好的预测能力。
-
将样本ROI内每个像素的光谱数据输入到最佳预测模型中,绘制了不同咀嚼阶段食团含水率的伪彩分布图。图 5显示了米饭颗粒在口腔咀嚼过程中食团含水率的可视化分布,样品中的含水率使用图像右侧的颜色条表示,颜色范围从红色到蓝色。较冷的颜色(蓝色和绿色)表示加工样品中含水率水平较低,而较暖的颜色(红色、橙色和黄色)表示含水率水平较高。
从图 5可以看出,在未咀嚼时(0 s),米饭食团的颗粒非常明显,含水率主要集中在米粒表面。随着口腔咀嚼的开始,米饭颗粒开始破碎,大颗粒转化为小颗粒,其含水率的分布也表现出杂乱无序的状态。在早期阶段(0~6 s),由于口腔处理不足,唾液主要集中在最低限度压碎的边缘。此外,口腔加工早期阶段的唾液分泌相对较低且不均匀,导致食物的某些区域没有得到充分润湿,从而产生水分分布不均的现象[26]。随着咀嚼持续进行到中段(9~12 s),破碎成小颗粒的米饭与唾液更彻底地混合,从而使得含水率的分布更加均匀,这种现象主要是由于在口腔咀嚼过程中,米粒被反复压碎并与口腔中的唾液混合浸润产生的。
值得注意的是,DJ中水分分布的均匀性显著低于NJ和SMX,可能与五常大米较高的蛋白质和可溶性固形物含量有关,导致其亲水性降低,从而赋予其更佳的弹性和嚼劲,受到消费者的喜爱[27-28]。然而,DJ的高蛋白含量可能也会降低其水分吸附能力,在口腔咀嚼过程中,水分分布可能表现得更加不均匀。而NJ通常较为黏稠,口感相对柔软,SMX则更为松散,因此在咀嚼时缺乏五常大米特有的劲道口感[29]。这些差异反映了不同品种大米在水分动态分布和口感特性上的显著差异。
2.1. 蒸煮米饭咀嚼过程含水率变化分析
2.2. 高光谱预测模型
2.3. 食团含水率的可视化分布
-
本研究采用HSI技术分析了米饭在口腔加工过程中食团含水率的动态变化和空间分布情况,建立了米饭食团含水率的定量预测模型,其中GF-PLSR模型预测效果较好,其预测集RP为0.890 1,RMSEP为0.018 4。通过分析不同咀嚼阶段米饭食团的含水率分布规律,发现米饭在口腔加工过程中,通过唾液的浸润和酶的作用,水分分布从无序逐渐趋于均匀。不同大米品种的内部组分差异对其口腔加工过程中的米粒破碎和水分分布均匀性具有显著影响,这也与消费者对不同品种大米的质地感知和口感评价相互印证。研究结果提供了一种科学评价米饭食味品质的方法,为改进精米加工工艺提供了理论支持。
下载: