留言板

尊敬的读者、作者、审稿人, 关于本刊的投稿、审稿、编辑和出版的任何问题, 您可以本页添加留言。我们将尽快给您答复。谢谢您的支持!

若尔盖草原植被覆盖变化及驱动因素分析

上一篇

下一篇

张清云, 李超, 张龙祥, 等. 若尔盖草原植被覆盖变化及驱动因素分析[J]. 西南大学学报(自然科学版), 2025, 47(9): 200-215. doi: 10.13718/j.cnki.xdzk.2025.09.018
引用本文: 张清云, 李超, 张龙祥, 等. 若尔盖草原植被覆盖变化及驱动因素分析[J]. 西南大学学报(自然科学版), 2025, 47(9): 200-215. doi: 10.13718/j.cnki.xdzk.2025.09.018
ZHANG Qingyun, LI Chao, ZHANG Longxiang, et al. Study of the Fractional Vegetation Cover Change and Its Driving Factors in Zoige Grassland[J]. Journal of Southwest University Natural Science Edition, 2025, 47(9): 200-215. doi: 10.13718/j.cnki.xdzk.2025.09.018
Citation: ZHANG Qingyun, LI Chao, ZHANG Longxiang, et al. Study of the Fractional Vegetation Cover Change and Its Driving Factors in Zoige Grassland[J]. Journal of Southwest University Natural Science Edition, 2025, 47(9): 200-215. doi: 10.13718/j.cnki.xdzk.2025.09.018

若尔盖草原植被覆盖变化及驱动因素分析

  • 基金项目: 国家自然科学基金面上项目(42471006); 四川省自然科学基金青年项目(2022NSFSC1099)
详细信息
    作者简介:

    张清云,硕士研究生,主要从事土壤风蚀与荒漠化防治研究 .

    通信作者: 沈亚萍,副教授; 
  • 中图分类号: Q948.12

Study of the Fractional Vegetation Cover Change and Its Driving Factors in Zoige Grassland

  • 摘要:

    地表植被覆盖条件是反映区域生态系统状况的重要指标,植被覆盖度(FVC)是反映植被覆盖状况的关键参数。若尔盖草原生态环境敏感、脆弱,是我国高寒生态重点保护区。基于2002-2022年若尔盖地区MODIS-NDVI遥感影像数据,分析该区域植被覆盖度的时空分布和变化规律,采用回归分析和残差分析方法揭示气候变化和人类活动对该地区植被覆盖度变化的驱动作用。研究结果表明:2002-2022年,若尔盖草原FVC呈现缓慢上升态势,其中高植被覆盖区域占据主导地位,占区内总面积的80%以上,且呈现明显增加趋势,主要分布在东北部的若尔盖县和碌曲县的平原绿洲区;气候变化和人类活动的共同作用是驱动若尔盖草原植被覆盖度变化的主要因素,其中人类活动在46.5%的范围内相对贡献率超过80%,在若尔盖地区植被恢复过程中发挥着重要作用。

  • 加载中
  • 图 1  研究区范围

    图 2  各等级植被覆盖类型年际变化

    图 3  2002-2022若尔盖草原植被覆盖等级转移的数量变化

    图 4  若尔盖草原FVC空间分布图

    图 5  若尔盖草原植被覆盖度变化趋势

    图 6  2002-2022年若尔盖草原植被覆盖度时空变化

    图 7  气候变化和人类活动对若尔盖草原FVC空间分布的影响

    图 8  若尔盖草原FVC驱动因素的空间分布

    图 9  气候变化和人类活动对FVC变化的贡献率空间分布

    表 1  植被覆盖度分级标准

    等级 类型 植被覆盖度指数
    1 低植被覆盖度 0<FVC≤0.2
    2 较低植被覆盖度 0.2<FVC≤0.4
    3 中等植被覆盖度 0.4<FVC≤0.6
    4 较高植被覆盖度 0.6<FVC≤0.8
    5 高植被覆盖度 0.8<FVC≤1
    下载: 导出CSV

    表 2  气候变化和人类活动对植被覆盖度的影响程度分级

    等级 slope(FVCCC)&slope(FVCHA) 影响程度
    1 <-0.002 明显抑制
    2 -0.002~-0.001 中度抑制
    3 -0.001~-0.0002 轻微抑制
    4 -0.0002~0.0002 基本无影响
    5 0.0002~0.001 轻微促进
    6 0.001~0.002 中度促进
    7 >0.002 明显促进
    下载: 导出CSV

    表 3  气候变化和人类活动对植被覆盖度的相对贡献

    类别 驱动因素 驱动因素划分标准 驱动因素的相对贡献率/%
    slope(FVCCC) slope(FVCHA) FVCCC FVCHA
    植被面积增加 CC&HA >0 >0 $\frac{ { slope }\left(F V C_{\mathrm{CC}}\right)}{ { slope }\left(F V C_{\mathrm{obs}}\right)} $ $ \frac{ { slope }\left(F V C_{\mathrm{HA}}\right)}{ { slope }\left(F V C_{\mathrm{obs}}\right)}$
    CC >0 <0 100 0
    HA <0 >0 0 100
    植被面积减少 CC&HA <0 <0 $\frac{ { slope }\left(F V C_{\mathrm{CC}}\right)}{ { slope }\left(F V C_{\mathrm{obs}}\right)} $ $ \frac{ { slope }\left(F V C_{\mathrm{HA}}\right)}{ { slope }\left(F V C_{\mathrm{obs}}\right)}$
    CC <0 >0 100 0
    HA >0 <0 0 100
    下载: 导出CSV

    表 4  气候变化和人类活动对若尔盖草原FVC影响的面积占比 %

    等级 影响程度 气候变化 人类活动
    1 明显抑制 0.4 5.8
    2 中度抑制 4.7 14.8
    3 轻微抑制 23.7 22.6
    4 基本无影响 28.0 13.3
    5 轻微促进 34.6 23.8
    6 中度促进 7.7 14.7
    7 明显促进 0.9 5.0
    下载: 导出CSV
  • [1] 甘春英, 王兮之, 李保生, 等. 连江流域近18年来植被覆盖度变化分析[J]. 地理科学, 2011, 31(8): 1019-1024.
    [2] 张喜旺, 吴炳方. 基于中高分辨率遥感的植被覆盖度时相变换方法[J]. 生态学报, 2015, 35(4): 1155-1164.
    [3] 赵舒怡, 宫兆宁, 刘旭颖. 2001-2013年华北地区植被覆盖度与干旱条件的相关分析[J]. 地理学报, 2015, 70(5): 717-729.
    [4] 刘可, 杜灵通, 侯静, 等. 近30年中国陆地生态系统NDVI时空变化特征[J]. 生态学报, 2018, 38(6): 1885-1896.
    [5] 郑勇, 杨武年, 刘冲, 等. 川西高原近20 a植被覆盖变化遥感动态监测及驱动力分析[J]. 遥感技术与应用, 2020, 35(6): 1447-1456.
    [6] 孙晓鹏, 王天明, 寇晓军, 等. 黄土高原泾河流域长时间序列的归一化植被指数动态变化及其驱动因素分析[J]. 植物生态学报, 2012, 36(6): 511-521.
    [7] DYMOND J R, STEPHENS P R, NEWSOME P F, et al. Percentage Vegetation Cover of a Degrading Rangeland from SPOT[J]. International Journal of Remote Sensing, 1992, 13(11): 1999-2007.
    [8] ZOUNGRANA B J, CONRAD C, THIEL M, et al. MODIS NDVI Trends and Fractional Land Cover Change for Improved Assessments of Vegetation Degradation in Burkina Faso, West Africa[J]. Journal of Arid Environments, 2018, 153: 66-75.
    [9] 汪桂生, 仇凯健. 利用MODIS NDVI进行淮南矿区植被覆盖度动态监测[J]. 测绘通报, 2018(6): 34-40.
    [10] SUN Y L, YANG Y L, ZHANG L, et al. The Relative Roles of Climate Variations and Human Activities in Vegetation Change in North China[J]. Physics and Chemistry Earth, Parts A/B/C, 2015, 87-88: 67-78.
    [11] 信忠保, 许炯心, 郑伟. 气候变化和人类活动对黄土高原植被覆盖变化的影响[J]. 中国科学(D辑: 地球科学), 2007(11): 1504-1514.
    [12] BONAN G B. Forests and Climate Change: Forcings, Feedbacks, and the Climate Benefits of Forests[J]. Science, 2008, 320(5882): 1444-1449.
    [13] 奎国娴, 史常青, 杨建英, 等. 内蒙古草原区植被覆盖度时空演变及其驱动力[J]. 应用生态学报, 2023, 34(10): 2713-2722.
    [14] 邓晨晖, 白红英, 高山, 等. 秦岭植被覆盖时空变化及其对气候变化与人类活动的双重响应[J]. 自然资源学报, 2018, 33(3): 425-438.
    [15] 赵雨琪, 魏天兴. 1990-2020年黄土高原典型县域植被覆盖变化及影响因素[J]. 干旱区研究, 2024, 41(1): 147-156.
    [16] EVANS J, GEERKEN R. Discrimination between Climate and Human-Induced Dryland Degradation[J]. Journal of Arid Environments, 2004, 57(4): 535-554. doi: 10.1016/S0140-1963(03)00121-6
    [17] XU D Y, KANG X W, LIU Z L, et al. Assessing the Relative Role of Climate Change and Human Activities in Sandy Desertification of Ordos Region, China[J]. Science in China Series D: Earth Sciences, 2009, 52(6): 855-868.
    [18] 金凯, 王飞, 韩剑桥, 等. 1982-2015年中国气候变化和人类活动对植被NDVI变化的影响[J]. 地理学报, 2020, 75(5): 961-974.
    [19] 冯文兰, 钟昊哲, 王永前, 等. 2001-2013年若尔盖地区植被退化的时空格局分析[J]. 草地学报, 2015, 23(2): 239-245.
    [20] 盛海洋, 王玉珏. 若尔盖高原沙漠化成因及其治理对策[J]. 水土保持通报, 2007, 27(1): 126-131, 158.
    [21] 张晓云, 吕宪国, 沈松平. 若尔盖高原湿地生态系统服务价值动态[J]. 应用生态学报, 2009, 20(5): 1147-1152.
    [22] 熊远清, 吴鹏飞, 张洪芝, 等. 若尔盖湿地退化过程中土壤水源涵养功能μ[J]. 生态学报, 2011, 31(19): 5780-5788.
    [23] 徐振锋, 胡庭兴, 张远彬, 等. 川西亚高山林线交错带糙皮桦和岷江冷杉幼苗物候与生长对模拟增温的响应[J]. 植物生态学报, 2008, 32(5): 1061-1071.
    [24] 王志刚, 曹生奎, 曹广超. 近15年来青海湖流域气温、降水变化对植被物候驱动分析[J]. 水土保持研究, 2022, 29(1): 249-255.
    [25] 徐永明, 张宇, 白琳. 基于遥感数据监测若尔盖高原植被覆盖度变化[J]. 高原气象, 2016, 35(3): 643-650.
    [26] 杨瑞瑞, 易桂花, 张廷斌, 等. 2000-2015年若尔盖地区植被覆盖度变化及气候因子驱动分析[J]. 草业科学, 2018, 35(12): 2822-2835.
    [27] 胡光印, 董治宝, 逯军峰, 等. 若尔盖盆地沙漠化及其景观格局变化研究[J]. 中国沙漠, 2013, 33(1): 16-23.
    [28] 黄兰鹰, 张好, 杨育林, 等. 1998-2020年若尔盖地区植被NDVI变化特征及驱动因子分析[J]. 自然保护地, 2024, 4(3): 74-85.
    [29] 刘广峰, 吴波, 范文义, 等. 基于像元二分模型的沙漠化地区植被覆盖度提取——以毛乌素沙地为例[J]. 水土保持研究, 2007, 14(2): 268-271.
    [30] 杨永兴, 李珂, 杨杨. 排水疏干胁迫下若尔盖高原沼泽退化评价指标体系[J]. 应用生态学报, 2013, 24(7): 1826-1836.
    [31] 白军红, 欧阳华, 崔保山, 等. 近40年来若尔盖高原高寒湿地景观格局变化[J]. 生态学报, 2008, 28(5): 2245-2252.
    [32] JIANG Z Y, HUETE A R, CHEN J, et al. Analysis of NDVI and Scaled Difference Vegetation Index Retrievals of Vegetation Fraction[J]. Remote Sensing of Environment, 2006, 101(3): 366-378.
    [33] 成方妍, 刘世梁, 尹艺洁, 等. 基于MODIS NDVI的广西沿海植被动态及其主要驱动因素[J]. 生态学报, 2017, 37(3): 788-797.
    [34] 丁玥, 阿布都热合曼·哈力克, 陈香月, 等. 和田地区植被覆盖变化及气候因子驱动分析[J]. 生态学报, 2020, 40(4): 1258-1268.
    [35] 李苗苗, 吴炳方, 颜长珍, 等. 密云水库上游植被覆盖度的遥感估算[J]. 资源科学, 2004, 26(4): 153-159.
    [36] 张颖, 章超斌, 王钊齐, 等. 三江源1982-2012年草地植被覆盖度动态及其对气候变化的响应[J]. 草业科学, 2017, 34(10): 1977-1990.
    [37] 丁美青, 陈松岭, 郭云开. 基于遥感的土地复垦植被覆盖度评价[J]. 中国土地科学, 2009, 23(11): 72-75.
    [38] LU Q, KANG H L, ZHANG F Q, et al. Impact of Climate and Human Activity on NDVI of Various Vegetation Types in the Three-River Source Region, China[J]. Journal of Arid Land, 2024, 16(8): 1080-1097.
    [39] 伍业钢, 严晋跃, 张立, 等. 若尔盖草原沙漠化问题探讨及治理建议[J]. 科技导报, 2012, 30(14): 11.
    [40] 盛海洋. 若尔盖生态脆弱地区草地沙化遥感监测研究[J]. 人民长江, 2007(4): 120-122, 135.
    [41] 逯金鑫, 周荣磊, 刘洋洋, 等. 黄土高原植被覆被时空动态及其影响因素[J]. 水土保持研究, 2023, 30(2): 211-219.
    [42] 胡光印, 董治宝, 魏振海, 等. 近30 a来若尔盖盆地沙漠化时空演变过程及成因分析[J]. 地球科学进展, 2009, 24(8): 908-916.
    [43] 朱林富, 杨华, 谢世友, 等. 基于MODIS-EVI的四川植被覆盖度空间分布影响因子探测[J]. 环境监测管理与技术, 2025, 37(1): 42-49, 56.
    [44] CAO D, ZHANG J H, XUN L, et al. Spatiotemporal Variations of Global Terrestrial Vegetation Climate Potential Productivity under Climate Change[J]. Science of The Total Environment, 2021, 770: 145320.
    [45] 闫俊杰, 吕光辉, 徐海量, 等. 2000-2014年塔里木河干流的植被覆盖与蒸散发时空变化及其关系[J]. 水土保持通报, 2018, 38(3): 248-255.
    [46] 曹开军, 李如雪, 龙顺发, 等. 黄河流域旅游—生态系统脆弱性时空演变特征及影响因素[J]. 西南大学学报(自然科学版), 2024, 46(4): 92-103. doi: 10.13718/j.cnki.xdzk.2024.04.010
    [47] 苑升旺, 赵博洋. 内蒙古自治区乡土植被生态系统服务评估及优化策略[J]. 西南大学学报(自然科学版), 2025, 47(2): 83-92. doi: 10.13718/j.cnki.xdzk.2025.02.008
    [48] 翟星, 王继燕, 于冰, 等. 基于地上净初级生产力与地上生物量的若尔盖高原放牧强度遥感监测[J]. 草业科学, 2021, 38(3): 544-553.
    [49] 刘朔, 尤蓉凯, 朱子政, 等. 川西北高原沙化治理示范工程成效调查研究——以若尔盖县、理塘县为例[J]. 四川林业科技, 2016, 37(6): 101-104, 122.
    [50] 杨树晶, 周俗, 李俊, 等. 若尔盖县草原鼠害综合防治成效与思考[J]. 草学, 2019(6): 84-86.
  • 加载中
图( 9) 表( 4)
计量
  • 文章访问数:  2174
  • HTML全文浏览数:  2174
  • PDF下载数:  331
  • 施引文献:  0
出版历程
  • 收稿日期:  2024-11-14
  • 刊出日期:  2025-09-20

若尔盖草原植被覆盖变化及驱动因素分析

    通信作者: 沈亚萍,副教授; 
    作者简介: 张清云,硕士研究生,主要从事土壤风蚀与荒漠化防治研究
  • 1. 西南交通大学 地球科学与工程学院,成都 610031
  • 2. 四川省资阳市气象局,四川 资阳 642300
基金项目:  国家自然科学基金面上项目(42471006); 四川省自然科学基金青年项目(2022NSFSC1099)

摘要: 

地表植被覆盖条件是反映区域生态系统状况的重要指标,植被覆盖度(FVC)是反映植被覆盖状况的关键参数。若尔盖草原生态环境敏感、脆弱,是我国高寒生态重点保护区。基于2002-2022年若尔盖地区MODIS-NDVI遥感影像数据,分析该区域植被覆盖度的时空分布和变化规律,采用回归分析和残差分析方法揭示气候变化和人类活动对该地区植被覆盖度变化的驱动作用。研究结果表明:2002-2022年,若尔盖草原FVC呈现缓慢上升态势,其中高植被覆盖区域占据主导地位,占区内总面积的80%以上,且呈现明显增加趋势,主要分布在东北部的若尔盖县和碌曲县的平原绿洲区;气候变化和人类活动的共同作用是驱动若尔盖草原植被覆盖度变化的主要因素,其中人类活动在46.5%的范围内相对贡献率超过80%,在若尔盖地区植被恢复过程中发挥着重要作用。

English Abstract

  • 开放科学(资源服务)标识码(OSID):

  • 植被覆盖度(Fractional Vegetation Cover,FVC)作为一项评估生态系统健康状况和土地利用、覆被变化的关键指标,其数值的变化直接影响到生态系统的稳定性,在维持草地生产力、促进生物多样性、调控气候平衡以及维护区域水循环等方面发挥着至关重要的作用[1-3]。归一化差异植被指数(Normalized Difference Vegetation Index,NDVI)是衡量植被覆盖状况的关键参数,与FVC之间呈现出显著的相关性,可以作为评估植被状态的重要参考,其量化精度较高,已被广泛应用于全球和区域气候环境监测、植被覆盖变化、生物量反演以及植被物候研究等方面[4-5]。随着遥感技术的广泛应用,借助卫星或航空平台上搭载的传感器设备,捕捉记录地表反射和发射的电磁波信息,通过精细的光谱分析和技术解译,可以实现地表植被生长状况、覆盖程度的准确评估,并进一步监测其在时间和空间维度上的动态变化[5-6]

    遥感卫星数据已被广泛应用于植被资源调查、生态环境监测以及灾害预测研究,在植被覆盖度估算研究方面取得显著进展。Dymond等[7]运用SPOT影像数据,深入分析地表植被覆盖度与NDVI之间的内在联系,通过构建数学模型准确估测出典型草原的植被覆盖度。Zoungrana等[8]通过融合空间分辨率为30 m的Landsat土地利用分类数据和250 m的MODIS NDVI数据,对小尺度范围内的自然植被覆盖度变化进行评估,利用相关分析方法,探究自然植被退化现象与环境因素之间的内在关系。汪桂生等[9]利用MODIS NDVI数据对淮南矿区植被覆盖度进行监测,对区域2005-2013年植被覆盖状况做出评估,并对植被覆盖的影响因素进行了综合分析,通过利用遥感技术、数学模型进行定量的动态监测,不仅摆脱了长时间进行野外观测的困境,更提高了监测的精准度,数据处理速度也显著加快。

    植被覆盖度的变化是多种因素共同作用的结果,国内外学者采取多种方法进行了大量研究,普遍认为植被覆盖度与气候变化存在明显相关性,尤其是在气温和降水方面[10-12]。郑勇等[5]利用相关性分析研究了川西高原植被覆盖受气候因子的驱动作用,结果表明生长季FVC与同期的气温表现出较强的相关性,与降水的相关性存在1个月的滞后期。奎国娴等[13]利用地理探测器对内蒙古草原区植被覆盖度空间分异进行研究,对不同驱动因素进行单因子探测和因子交互探测,其中降水是解释力最强的驱动因子,并与土地类型、土地利用和气温等因子表现出显著的协同作用,但该方法在数据离散化时需依靠主观判断。邓晨晖等[14]研究表明,人类活动也极大地影响了植被的变化,包括生态建设项目等积极效应和过度砍伐等消极效应两个方面。赵雨琪等[15]采用随机森林回归模型探讨了气温、降水、夜间灯光指数、土地利用等因素对植被覆盖度空间分布的影响,结果表明组合因子对植被覆盖空间分布的解释力均高于单一因子。Evans等[16]提出残差分析方法,通过建立气候因素与年最大NDVI值的回归模型,预测每年由气候因素决定的NDVI值,并用残差变化表示人类活动对NDVI的影响,有效地区分气候变化和人类活动对植被变化的驱动作用。Xu等[17]将潜在净初级生产力及其与实际净初级生产力的残差值作为评估鄂尔多斯地区沙质荒漠化驱动因素的指标,并提出了气候变化和人类活动的相对贡献率的计算方法。随后也被众多学者广泛应用于植被NDVI中,用以分析气候变化和人类活动在植被覆盖变化驱动中的贡献情况[10, 18]。在目前全球气候变暖和社会生产力提高的背景下,对于高寒草原植被覆盖的时空分布和驱动因素理应做出进一步的分析与探讨。

    位于我国青藏高原东北缘的若尔盖草原是高寒湿地生态系统的关键构成部分,也是黄河上游重要的水源涵养地,具有极高的生物多样性和生态服务功能[19]。自20世纪60年代起,若尔盖草原出现明显的荒漠化现象,给该地区生态系统的稳定带来潜在威胁[20-22],不但危及黄河上游水资源的供应安全,更是对整个黄河流域的发展造成长远且不可忽视的影响[12, 23]。因此,开展若尔盖地区植被覆盖动态监测研究,对于预测评估气候变化下若尔盖草原生态系统的响应与适应能力,以及实现长期稳定和健康发展具有极为重要的理论和现实意义[24]。徐永明等[25]基于遥感数据建立了若尔盖高原1982-2013年的NDVI数据集。杨瑞瑞等[26]利用趋势分析、相关性分析等统计学方法分析了2000-2015年若尔盖地区植被覆盖度对气候因子的响应,讨论了气温和降水对植被覆盖度的驱动作用,结果显示仅7.85%的区域受到气候因子影响,剩余大部分区域的植被覆盖度表现为非气温和降水驱动。虽然此前针对若尔盖草原已有大量相关研究,但主要集中在土地荒漠化以及归一化差异植被指数的探讨上[27-28],在长时间序列的FVC及其背后驱动因素的研究则相对滞后。

    本研究基于2002-2022年若尔盖草原植物生长季的MODIS_NDVI数据,利用像元二分模型对植被覆盖度进行估算[29],结合土地利用类型数据、DEM高程数据及气象数据等多源信息[26],深入剖析不同等级植被覆盖度草地的空间分布规律及其成因,并通过回归分析和残差分析方法探讨影响植被覆盖度变化的驱动因子。研究结果将为若尔盖草原植被覆盖度的动态监测提供科学依据,同时为该地区生态环境的保护提供有力支持,对保护生态环境、促进草原科学管理和区域可持续发展具有重要意义。

  • 若尔盖草原位于中国青藏高原东北部边缘(33°10′-34°06′N,101°36′-103°25′E),其覆盖范围包括四川省的若尔盖县、阿坝县和红原县以及甘肃省的碌曲县和玛曲县,共5个县(图 1)[27]。当地海拔2 414~5 125 m,总面积约为42 783 km2,地貌特征显著,以丘状高原为主,并发育有低山、阶地、河漫滩等多种地貌类型,是青藏高原上面积最大的高原沼泽湿地分布区。植被类型丰富,以沼泽植被和草甸植被为主,受气候变化等因素影响,荒漠化及沙化的草地面积持续扩大[22, 30]。研究区内主要水系由黄河及其支流构成,其中黄河在塑造高原丘陵地貌的过程中,形成众多的古河道,进而演变为巨大的宽谷,为沼泽的孕育提供得天独厚的自然条件[31]。作为黄河水源的重要补给区,若尔盖草原的生态稳定对于整个黄河源区生态环境建设和社会经济发展有着重要影响。若尔盖草原位于寒温带高原季风气候带,气候特点显著,主要表现为寒冷且湿润,年均气温仅为1.2 ℃,年均降水量为51.9 mm,降水大部分集中在5-9月,占年降水量的70%以上。此外,若尔盖地区具有大陆性高原寒温带的气候特征,表现为湿润至半湿润的季风气候,冬季受西风南支流的显著影响,以及来自北方的寒流侵扰,夏秋季节受印度洋和太平洋季风的影响,外加冷低压的常年侵扰,整体呈现出长冬无夏、春秋短暂、雨热同期的气候特征[20]

  • MODIS(Moderate Resolution Imaging Spectroradionmeter)遥感数据来自美国地质勘探局(United States Geological Survey,USGS)提供的2002年、2007年、2012年、2017年和2022年植被生长季(5-9月)的eMODIS NDVI V6数据产品(https://earth-explorer.usgs.gov/),空间分辨率均为250 m,时间分辨率为8 d。为提高准确性,使用土地利用类型数据对若尔盖区域进行去水体处理,包括河流、湖泊、沼泽以及永久性冰川雪地等[32]

  • 若尔盖草原土地利用分类数据来自武汉大学测绘遥感信息工程国家重点实验室杨杰和黄昕团队下载的2002年和2022年两期全国土地利用类型(CLCD_v01)遥感监测数据,主要包括农田、森林、灌木、草地、水体、湿地等9个一级类型,数据空间分辨率为30 m,需进行重采样(空间分辨率统一为250 m)和重投影(WGS_1984_UTM_zone_47N)[33]

  • 本研究的气象数据来源于国家青藏高原科学数据中心(https://data.tpdc.ac.cn/ho-me)1901-2022年中国1 km分辨率的逐月平均气温和逐月平均降水量数据集,以对植被覆盖度影响最为显著的5-9月平均气温和降水量作为本研究的重点分析数据[34]。借助ArcGIS软件,通过构建并应用相应的数据处理模型,对下载的nc文件进行迭代处理,得到涵盖各研究年份的月均气温和月均降水量的空间数据集。

  • 归一化差异植被指数(NDVI)是评估植物健康状态与植被覆盖程度的关键指标,本研究使用USGS提供的eMODIS NDVI数据,对下载所得数据进行裁剪处理。为消除云体遮挡所带来的影响,采用最大值合成法MVC(Maximum Value Composites)计算各年份生长季的最大NDVI值,然后利用像元二分模型与植被指数相结合的方式近似估算对应年份的植被覆盖度[35]

    式中,NDVIsoilNDVIveg分别代表裸土和完全植被覆盖条件下的NDVI值。受地表湿度、粗糙度、土壤类型以及土壤颜色影响,NDVIsoil并非恒定为零,而是在-0.1~0.2的范围内波动[36];同样地,NDVIveg作为全植被覆盖像元的最大值,也会受到植被类型与季节变迁的影响,展现出显著的时空异质性。鉴于这类不稳定因素,采用固定的NDVIsoilNDVIveg值进行计算是不够精确的,即使是对同一影像也应有所变化。为准确反映植被覆盖的实际情况,依据影像灰度图的特性,设定5%的置信水平,将年均NDVI累积频率为5%的NDVI值设为NDVImin,累积频率为95%的NDVI值设为NDVImax进行计算[26]。依据计算数值大小将植被覆盖度划分为5个等级(表 1)[37]

    为全面探讨植被覆盖率的时空变化趋势和规律,准确把握其变化特征以及对环境的影响,将植被覆盖类型的演变过程和等级变动进行系统的分类:植被覆盖度由高级别向低级别转变的区域界定为退化区域,低级别向高级别转变的区域定义为改善区域;当植被覆盖度在相邻两个等级之间发生转变时,将其视为轻度退化或轻度改善;对于跨越多个等级、发生显著变化的区域,将其归类为明显退化或明显改善。

  • 采用回归分析方法探讨每个像元独立的植被覆盖度变化趋势,以每个像元在时间维度上的变化特征为依据,揭示若尔盖草原从2002-2022年的植被变化动态,有助于全面把握该地区植被覆盖的时空格局演变趋势[14],计算公式如下:

    式中,n为监测年数(n=21),fi为第iFVC的值。变化趋势斜率slope为正值,表示FVC随时间变化呈升高趋势,对其进行F检验,按显著性水平可分为极显著升高(p≤0.01)、显著升高(0.01<p≤0.05)和不显著升高(p>0.05);相反地,slope为负值,表示FVC随时间变化呈降低趋势,可划分为极显著降低(p≤0.01)、显著降低(0.01<p≤0.05)和不显著降低(p>0.05)。

  • 利用多元回归残差分析方法评估气候因子变化和人类活动情况对若尔盖草原植被覆盖度的影响,以温度和降水为自变量,通过构建多元回归分析模型,预测仅受气候变化影响下的FVC值,计算其与实际值之间的差异,以定量衡量人类活动对FVC的影响。通过这种方法,可以有效排除其他非主要影响因素,专注于阐明人类活动的驱动作用,计算方法如下[38]

    式中,TP分别为生长季节的平均温度(℃)和累计降水量(mm);abc为模型参数;FVCCC是基于回归模型预测的FVC值;FVCobs是依据遥感影像的NVDI数据计算得到的实际FVC值;FVCHA为残差,表征人类活动对植被生长的影响。

    利用趋势分析方法计算若尔盖草原2002-2022年FVCCCFVCHA的变化情况,分别代表在气候变化和人类活动的影响下植被覆盖度的变化趋势。以气候变化影响下的植物生长季FCV的变化趋势slope(FCVCC)为例,正值表示气候变化对植被覆盖度具有促进作用,有助于植被的生长发育;负值表示气候变化对植被覆盖度产生了抑制作用,不利于植被覆盖度的增长。根据数值大小,将气候变化和人类活动对FVC的影响程度划分为7个等级(表 2)[18]

    为判定气候变化和人类活动对植被覆盖度变化驱动的相对贡献,将结果分为两大不同类别:植被增加的区域和植被减少的区域。对于植被增加的地区,当FVCCC>0且FVCHA>0时,气候变化和人类活动都有助于植被增长;当FVCCC>0但FVCHA<0时,仅气候变化导致植被覆盖率增加;当FVCCC<0但FVCHA>0时,人类活动是扩大植被覆盖的唯一驱动力。对于植被减少的地区,当FVCCC<0且FVCHA<0时,气候变化和人类活动都会导致植被损失;当FVCCC<0但FVCHA>0时,气候变化仅导致植被覆盖率降低;当FVCCC>0但FVCHA<0的情况下,人类活动使得植被面积减少(表 3)[10, 18]

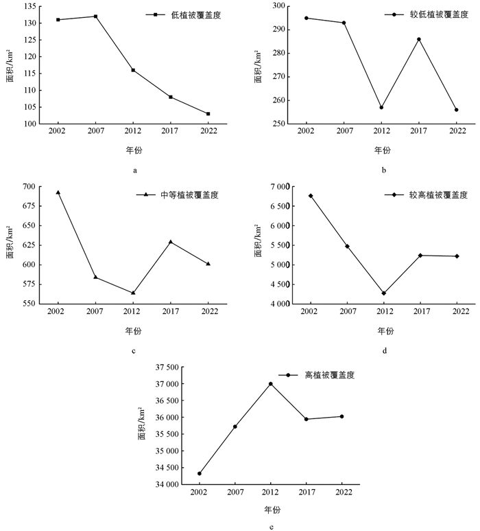
  • 根据2002-2022年若尔盖草原各时段的FVC值即不同类型植被覆盖区统计结果发现,研究区内不同等级FVC面积变化呈现出“四减一增”的趋势(图 2)。其中,高植被覆盖区处于绝对优势,在2002-2022年,该类型面积为34 325.73~36 992.52 km2,占研究区总面积均在80%以上,由81.33%增长至85.36%;其他各类型区域均呈现略微下降趋势,其中低植被覆盖区和较低植被覆盖区的面积极为有限,分别占研究区总面积的0.24%~0.31% 和0.61%~0.70%,并且覆盖面积随时间的增长波动较大;中等植被覆盖区面积为564.27~691.55 km2,占研究区总面积的1.34%~1.64%,最低值出现在2012年,且总体仍呈现缓慢下降趋势;较高植被覆盖区的面积为4 275.52~6 760.72 km2,占研究区总面积的10.13%~16.02%,变化曲线与中等植被覆盖度基本一致。中等植被覆盖区和较高植被覆盖区虽然占据一定的比例,但也呈现出向高植被覆盖区转变的趋势,这一变化模式反映出若尔盖草原生态系统的稳健性及其向更高植被覆盖水平发展的积极趋势。

    统计2002-2022年间若尔盖草原不同时段内的植被覆盖分级面积转移数据发现,研究区植被覆盖度比较稳定,尤其是高植被覆盖区域,发生转移的面积占比均处于10%以下,远低于其他各类型植被覆盖区域发生转移的比例,且发生转移的区域有90%以上是向较高植被覆盖区转变,未出现成规模的植被退化。中等植被覆盖与较高植被覆盖区域发生转变的比例在60%左右,但这些转变多倾向于更高层次的植被覆盖类型,这表明若尔盖草原的生态环境在一定程度上得到改善(图 3)。

    2002-2007年若尔盖草原植被覆盖类型发生转变的面积为6 981.30 km2,占总面积的16.57%,其中植被覆盖类型改善的面积为4 217.09 km2,占转变面积的60.41%(图 3a)。中等植被覆盖区发生转变的比例最大,占本类型的61.51%,转变量的78.14%向更高等级植被覆盖类型进行;高植被覆盖区最为稳定,发生转变的面积仅占本类型的7.07%,且发生转变的地区有98.19%是向较高植被覆盖类型转变,为轻度退化。较高植被覆盖区和高植被覆盖区之间的相互转变非常显著,较高植被覆盖区中有3 731.41 km2向高植被覆盖区转变,高植被覆盖区中有2 379.20 km2向较高植被覆盖区转变,分别占总面积的8.86%和5.65%,说明若尔盖草原的生态环境在2002-2007年较为稳定且明显改善。

    2007-2012年若尔盖草原植被覆盖类型发生转变的面积为5 979.64 km2,占总面积的14.19%。其中植被覆盖类型改善的面积为3 650.10 km2,占转变面积的61.04%(图 3b)。该时期内最不稳定的区域为较高植被覆盖区,有62.11%的较高植被覆盖类型转变为其他类型,但其中有94.14%的面积转变为高植被覆盖类型,仅有5.86%较高植被区发生退化,这表明在2007-2012年若尔盖草原的生态环境也非常稳定并略有改善。

    2012-2017年若尔盖草原植被覆盖类型发生转变的面积为6 342.91 km2,占总面积的15.06%,其中植被覆盖类型退化的面积为3 705.90 km2,占转变面积的58.43%(图 3c),植被退化面积超过改善面积。该时段内变化幅度最大的区域为中等植被覆盖区,有59.06%的中等植被覆盖类型转变为其他类型,其中转移面积的56.66%转变为较高植被覆盖类型,本时期内若尔盖草原的生态环境出现略微的退化现象。

    2017-2022年若尔盖草原植被覆盖类型发生转变的面积为6 260.84 km2,占总面积的14.86%。其中,植被覆盖类型改善面积为3 214.95 km2,占转变面积的51.35%;退化面积为3 045.88 km2,占转变面积的48.65%(图 3d)。该时段内转移幅度最大的区域仍为中等植被覆盖区,并且转移量的81.32%改善至更高等级,仅有18.68%发生退化;较高植被覆盖区和高植被覆盖区之间的相互转变更为显著,较高植被覆盖区中有2 744.10 km2向高植被覆盖区转变的同时,高植被覆盖区有2 668.27 km2向较高植被覆盖区转变,两者基本持平,表明若尔盖草原的生态环境在2017-2022年非常稳定并略有改善。

  • 若尔盖草原植被覆盖度多年FVC平均值介于0.10至0.99之间,在空间分布上也呈现出显著的差异性(图 4)。其中高原区域与平原绿洲之间的差异尤为突出,高值区主要分布在东北方向的若尔盖县和碌曲县的平原绿洲,而在玛曲、阿坝、红原县等少部分高海拔地区,该数值处于较低水平。

    基于回归分析法计算的若尔盖草原2002-2022年平均植被覆盖度的变化趋势斜率分布在-0.195~0.222(图 5)。其中呈升高趋势的区域占全区总面积的3.18%,主要分布在绿洲平原和中高海拔山区等地,受气候条件影响较大,极显著升高(p<0.01)的区域占0.66%,显著升高(p<0.05)的区域占2.52%;呈降低趋势的区域占比为1.57%,主要分布在若尔盖县周围,受人类活动的影响较大,其中极显著降低的区域占0.29%,显著降低的区域占1.28%;剩余95.25%的区域植被覆盖度则基本保持不变。

    图 6展示了若尔盖草原2002-2022年不同时段内植被覆盖度的变化情况。整体来看,研究区内的草原生态系统在过去21年间呈现出相对稳定的态势;植被覆盖等级保持稳定的面积为35 124.29 km2,占总面积的83.28%;植被覆盖发生轻度退化和改善的面积分别为2 543.46 km2和4 314.07 km2,分别占比6.03%和10.23%;植被覆盖明显退化的区域仅为0.16%。2002-2007年植被覆盖得到改善的区域主要为中等植被覆盖区和较高植被覆盖区,全区之内广泛分布,以若尔盖县城北部及红原县中部地区最为集中,发生退化的区域仅占全区总面积的6.56%,且基本为较低植被覆盖区产生的轻度退化,集中分布于玛曲县域内海拔4 000 m以上的高原地区(图 6a)。2007-2012年,玛曲县北部、碌曲县西南部等地区的中等及以下植被覆盖区发生明显改善,总面积达137 km2,为各时段的最大值;而红原县东南部的高海拔地带分布有明显退化的区域,但占比极小,仅为全区总面积的0.18%(图 6b)。2012-2017年是唯一改善面积小于退化面积的时段,并且明显退化区域达到155 km2,为研究时段内的最大值,主要分布在若尔盖县城边缘及玛曲县北部的部分区域(图 6c)。2017-2022年若尔盖地区植被改善与退化的比例基本持平,占全区总面积的7%左右,但得到改善的区域多分布于碌曲县南部海拔3 000~3 500 m的地区,发生退化的区域多分布在若尔盖县中东部海拔3 000 m以下的草原地带(图 6d)。综合2002-2022年若尔盖地区植被覆盖情况的空间变化分布情况可以发现,中高海拔的山区和平原绿洲地带植被呈现出轻微改善的趋势,而若尔盖县城周边地区存在一定的退化现象(图 6e)。

  • 植被生长与覆盖状况直接受气温、降水等气候因素变化的影响[20]图 7a展示了2002-2022年气候变化对若尔盖草原植被覆盖的影响,在空间分布上存在明显的异质性。气候变化对植物生长季FVC起促进作用的面积占比达到43.2%,其中明显促进和中度促进的占比约为8.6%,主要分布在若尔盖县城周边地带;气候变化对植物生长季FVC的增长起抑制作用的区域面积约占28.8%,明显抑制和中度抑制占比约为5.1%,主要分布在若尔盖南部的部分平原绿洲;剩余28.0%的区域对FVC的变化基本无影响,分布比较散落。

    生产生活和社会经济发展等人类活动同样对植被生长发挥着巨大作用[18]图 7b展示了2002-2022年人类活动对若尔盖草原植被覆盖的影响,产生促进作用的总面积占比与气候变化十分接近,为43.5%;但明显促进的区域面积约为气候变化的5倍;中度促进区域约为气候变化的2倍,共占全区总面积的19.6%,在各个县域中高海拔地区分布较广。人类活动产生抑制作用的总面积约为43.2%,比气候变化多出14.4%,主要分布在若尔盖县北部、碌曲县南部海拔相对较低的地区,仅有13.3%的区域对FVC的变化基本无影响(表 4)。

    本研究分别对若尔盖草原植被覆盖改善和退化的驱动因素进行统计分析,结果表明,在气候变化和人类活动共同作用下,植物生长季FVC产生增长的区域占全区总面积的35.8%,致使植被覆盖减少的区域占全区总面积的35.3%,这表明气候变化和人类活动的共同作用是近21年来若尔盖地区FVC发生变化的主要原因。此外,单独由气候变化导致FVC增加的面积约占8.9%,主要分布于红原县中部及若尔盖县东北部海拔相对较低的区域,导致FVC减少的面积约占4.9%,在玛曲县和若尔盖县东部分布相对较多;单独由人类活动导致FVC产生增长和减小的面积分别约占9%和6%,多分布于研究区的东部区域(图 8)。

  • 利用残差分析数据获得若尔盖草原植被生长季节气候变化和人类活动对FVC变化的相对贡献见图 9。气候变化对FCV变化贡献率为负值的总占比达到73.3%;其中贡献率小于-20%的占比最大,为60.6%,在玛曲县、阿坝县等地的高海拔山区多有分布;贡献率大于80%的面积占比次之,为14.2%,主要分布在若尔盖县周边地带,其他类别的贡献率占比较少;对植被覆盖贡献率为正值的占区域总面积的26.7%。人类活动对若尔盖草原FVC变化贡献为正值的区域面积为86.5%,贡献率大于80%的面积占比为46.5%,贡献率40%~60%、60%~80%以及小于-20%的3个区段的面积占比较大,多分布于研究区东北部海拔相对较低的区域,可以看出,在大部分范围内,人类活动对植被生长季FVC增长的相对贡献比气候变化高。

  • 本研究对若尔盖草原2002-2022年植被覆盖情况的时空变化进行统计分析,依据植被生长季的FVC定量划分植被覆盖等级,较高植被覆盖和高植被覆盖占据明显优势,并且仍有增加趋势,这与以往研究结果类似[19, 26],表明若尔盖草原沙化情况有所好转,生态环境稳定并且在一定程度上得以改善[39]。从不同等级植被覆盖的转移情况也可以看出,90%以上的区域植被覆盖度无明显变化,而在发生转移的部分中,80%以上是向更高等级进行转变,高植被覆盖与较高植被覆盖的区域之间存在相互转化的现象[26]。从空间分布来看,过去21年间若尔盖地区的中高海拔山区和平原绿洲地带植被呈现出轻微改善的趋势,而若尔盖县城周边地区存在一定的退化现象,特别是2007-2012年,是唯一退化面积大于改善面积的时段,也基本分布于研究区北部的玛曲县、碌曲县等地,与若尔盖沙化分布情况类似[40]

    气候变化和人类活动的共同驱动是造成研究区内植被覆盖度发生变化的主要因素,产生正面影响的面积占比略高于负面影响的占比,是区内植被覆盖度保持相对稳定且略有所增长的主要原因。研究中利用了残差分析方法,以潜在植被覆盖度和实际植被覆盖度的差值表示人类活动对植被动态的干预,通过计算变化趋势的比值确定人类活动和气候变化对植被覆盖度的贡献程度。其中,气候变化在驱动力的相对贡献较小,并且有70%以上为负贡献,这体现出若尔盖地区作为典型高寒草原地貌,其生态体系相对脆弱,相比低海拔平原地区,植被发育和生长相对困难[26, 31]。人类活动的相对贡献率所占的比重更大,这与金凯等[18]对全国范围内植被NDVI驱动因素分析结果一致。然而,做出以上判断需要假定植被覆盖度变化完全受气候和人类活动两种影响因素的控制,对于鼠灾、病虫害、森林火灾等人类活动之外的因素难以进行定量评估[41]。事实上,若尔盖地区的鼠虫害同样是导致植被覆盖变化的重要因素,鼠类和毛虫的繁衍增殖,大量采食草场,挖土造丘,严重破坏了原有的草原植被和土壤结构,导致草场沙化加剧,更加有利于鼠虫种群的繁衍,长此以往的恶性循环致使若尔盖草原鼠害面积扩大,仅红原、阿坝、若尔盖3个县的草原鼠害面积达1.8×105 hm2,牧草损失在30%~50%,植被覆盖度也受到不同程度的影响[20, 42]。但诸如此类因素也有可能与气候变化或人类活动之间存在着某种特定的联系,明确不同因素与植被覆盖度变化之间的驱动关系是此后研究中的重点问题。可以确定的是,各驱动因子的交互作用对植被覆盖度变化具有更高的解释效力,一如本研究中单因素独立驱动的面积不足30%,这说明植被覆盖度是多因素共同作用的结果[42]

    潜在植被覆盖度表示在理想气候条件下植被所能达到的最大覆盖程度,是基于植被生长季的气候条件做出的预测,并且仅受到气温和降水条件的控制。以往研究中证实若尔盖地区植被覆盖主要与气温和降水有关,如杨瑞瑞等[26]研究表明,若尔盖2000-2015年生长季植被覆盖度与气温和降水之间均呈显著相关关系(p<0.05),复合相关系数为0~0.94。朱林富等[43]在植被覆盖影响因子探测的研究中表明,气温和降水是对植被覆盖空间分异解释力度最高的生态因子。但是也有一些研究认为太阳辐射[44]、植被类型[43]、蒸散发[45]等相关生态因子对植被覆盖的动态变化同样具有不同程度的影响,在对潜在植被覆盖度的评估上会产生相应的误差,后续研究中可以增加相应指标,以降低植被覆盖度预测的不确定性。

    若尔盖草原作为黄河上游的重要生态屏障,在经历了严重的土地沙化时期后,我们逐渐认识到植被建设工程的重要性[46-47]。自1998年设立四川省若尔盖国家级自然保护区以来,大力推进退耕还林、退牧还草等生态建设项目实施,通过禁牧补贴与牲畜结构调整,有效降低了草场压力,2016年正式成为若尔盖国家湿地公园后,各类防治措施得到加强,植被覆盖情况得到进一步改善[48]。针对土地沙化问题,阿坝州政府提出“五年治理计划”的阶段性治沙措施,截至2023年底,累计投入资金8.2亿元,大力实施川西北治沙工程,采用“生物沙障+灌草+施有机肥+封育管理”等复合种植模式,在不同程度的沙化土地治理中均取得明显成效,若尔盖、红原、阿坝等9县完成沙化土地治理及巩固25.6万hm2,植被平均盖度提升20%~45%[49]。对于草原鼠害防治问题,主要采取了生物医药防治、天敌控制、物理防治等措施,政府发动群众全民参与,进行综合治理,2015-2018年共防治鼠害3.65×105 hm2,各鼠类平均密度大幅下降,并对裸露草地进行草种补播,草原综合植被覆盖度较防治前提升3%~5%[50]。根据若尔盖草原2002年和2022年的土地利用分类数据,草地面积由38 017.23 km2降低至37 828.75 km2,变化区域集中在若尔盖南部的平原绿洲区;农田面积由83.56 km2降低至55.37 km2;林地(包含森林、灌木和湿地等)面积显著增加,由2002年的4 576.94 km2增长至2022年的4 754.35 km2,增长3.88%,集中分布在若尔盖草原北部的若尔盖县城附近,表明人类活动对若尔盖区域植被覆盖的改善有着显著的作用。植被退化状况得到有效改善,证实科学规划的人类干预能够有效修复退化生态系统,为高寒草原可持续治理提供重要范式[19]

  • 本研究基于2002-2022年若尔盖草原植物生长季的MODIS_NDVI数据,利用像元二分模型对植被覆盖度进行估算,深入剖析了若尔盖草原植被覆盖度的时空变化规律,并利用趋势分析和残差分析等方法对植被覆盖度变化的驱动因素进行分析,得到以下结论:

    1) 2002-2022年,若尔盖草原低植被覆盖区和较低植被覆盖区的两种植被覆盖类型所占面积非常小,均在1%以下,且呈现略微减少的趋势,主要分布在玛曲、阿坝、红原县等少部分高海拔地区;中等植被覆盖区域和较高植被覆盖区域也呈现减少趋势,主要分布在平原绿洲地带;高植被覆盖区域在整体研究范围内占据主导地位,面积占比在80%以上,且呈现明显的增加趋势,主要分布在研究区东北部的若尔盖县和碌曲县的平原绿洲区。

    2) 研究区内的草原生态系统在过去21年间呈现出相对稳定的态势,植被覆盖等级保持稳定的面积为35 124.29 km2,占总面积的83.28%;植被覆盖发生轻度退化和改善的面积分别为2 543.46 km2和4 314.07 km2,分别占比6.03%和10.23%;植被覆盖明显退化的区域仅占0.16%。

    3) 气候变化和人类活动是植物生长季FVC的主要驱动因素,产生促进作用的区域面积占比分别为43.2%和43.5%,两者的共同作用是近21年来研究区内植被覆盖度发生变化的主要原因,但人类活动的影响范围更加集中,效果更为显著,对若尔盖草原FVC变化贡献为正值的区域面积达86.5%,在植被恢复的过程中发挥着重要作用。

参考文献 (50)

目录

/

返回文章
返回