留言板

尊敬的读者、作者、审稿人, 关于本刊的投稿、审稿、编辑和出版的任何问题, 您可以本页添加留言。我们将尽快给您答复。谢谢您的支持!

巫山县生态环境质量评价及主导因子分析

上一篇

下一篇

江昌琛, 马黎华, 张维. 巫山县生态环境质量评价及主导因子分析[J]. 西南大学学报(自然科学版), 2025, 47(9): 216-232. doi: 10.13718/j.cnki.xdzk.2025.09.019
引用本文: 江昌琛, 马黎华, 张维. 巫山县生态环境质量评价及主导因子分析[J]. 西南大学学报(自然科学版), 2025, 47(9): 216-232. doi: 10.13718/j.cnki.xdzk.2025.09.019
JIANG Changchen, MA Lihua, ZHANG Wei. Evaluation of Ecological Environment Quality of Wushan County and Dominant Factors Analysis[J]. Journal of Southwest University Natural Science Edition, 2025, 47(9): 216-232. doi: 10.13718/j.cnki.xdzk.2025.09.019
Citation: JIANG Changchen, MA Lihua, ZHANG Wei. Evaluation of Ecological Environment Quality of Wushan County and Dominant Factors Analysis[J]. Journal of Southwest University Natural Science Edition, 2025, 47(9): 216-232. doi: 10.13718/j.cnki.xdzk.2025.09.019

巫山县生态环境质量评价及主导因子分析

  • 基金项目: 重庆市鲁渝科技协作项目(CSTB2022TIAD-LUX0005)
详细信息
    作者简介:

    江昌琛,硕士研究生,主要从事土壤生态安全相关研究 .

    通信作者: 马黎华,博士,副教授; 
  • 中图分类号: X822

Evaluation of Ecological Environment Quality of Wushan County and Dominant Factors Analysis

  • 摘要:

    生态环境质量全面、有效的评估是生态文明建设的重要内容。为研究分析三峡库区重庆市巫山县的生态环境质量状况,基于USGS平台1990年、2000年、2010年、2022年的Landsat TM/OLI遥感影像数据,采用遥感生态指数(RSEI)对巫山县生态环境质量进行评价,并利用地理探测器(Geo-Detector)方法对评价结果进行因子及交互探测。结果表明:① 1990-2022年巫山县生态环境质量总体呈现“下降—恢复—上升”的趋势,1990年、2000年、2010年和2022年的RSEI均值分别为0.565、0.473、0.527、0.611。②巫山县不同时期各等级RSEI的空间分布有一定的差异性,1990-2000年巫山县生态环境质量以退化为主,退化区域主要分布在境内水系两岸,以及成聚的城市建成区和聚落村庄;2000-2022年总体以生态环境质量改善为主,改善区域主要集中在中部、西部及边缘地带。③在因子探测结果中,1990年和2000年巫山县生态环境质量的主导因子均为热度(q1990=0.852、q2000=0.852),而2010年和2022年则分别转变为由干度(q2010=0.950)和绿度(q2022=0.785)主导。交互探测中,对生态环境质量评价结果影响最大的两个指标因子:1990年、2000年均为湿度与热度,交互作用影响力为0.970、0.968;2010年、2022年均为绿度与干度,交互作用影响力为0.958、0.918;任意两因子的交互作用随时间均表现为双因子增强。32年间,重庆市巫山县生态环境状况整体得到提升,但未来也要注意对当地边缘地带的保护以及对植被覆盖、裸土和人类活动的关注。

  • 加载中
  • 图 1  巫山县区位与高程分布示意

    图 2  RSEI各等级空间分布

    图 3  RSEI动态变化监测

    图 4  巫山县1990-2022年生态环境质量主导因子结果

    图 5  重庆市巫山县1990-2022年生态环境质量交互作用结果

    表 1  RSEI各分量指标及计算公式

    指标 计算公式
    湿度(WET) WETTM=0.0315ρblue+0.2021ρgreen+0.3102ρred+0.1594ρnir-0.6806ρswir1-0.6109ρswir2
    WETOLI=0.1511ρblue+0.1973ρgreen+0.3283ρred+0.3407ρnir-0.7117ρswir1-0.4559ρswir2
    绿度(NDVI) NDVI=(ρnir-ρred)/(ρnir+ρred)
    干度(NDBSI) $\begin{aligned} & N D B S I=(\mathrm{IBI}+\mathrm{SI}) / 2 \qquad I B I=\frac{\left[2 \rho_{\text {swir1 }} /\left(\rho_{\text {swir1 }}+\rho_{\text {nir }}\right)\right]-\left[\frac{\rho_{\text {nir }}}{\left(\rho_{\text {nir }}+\rho_{\text {red }}\right)}+\frac{\rho_{\text {green }}}{\left(\rho_{\text {green }}+\rho_{\text {swir1 }}\right)}\right]}{\left[2 \rho_{\text {swir1 }} /\left(\rho_{\text {swir1 }}+\rho_{\text {nir }}\right)\right]+\left[\frac{\rho_{\text {nir }}}{\left(\rho_{\text {nir }}+\rho_{\text {red }}\right)}+\frac{\rho_{\text {green }}}{\left(\rho_{\text {green }}+\rho_{\text {swir1 }}\right)}\right]} \\ & S I=\left[\left(\rho_{\text {swir1 }}+\rho_{\text {red }}\right)-\left(\rho_{\text {swir1 }}+\rho_{\text {blue }}\right)\right] /\left[\left(\rho_{\text {swir1 }}+\rho_{\text {red }}\right)+\left(\rho_{\text {swir1 }}+\rho_{\text {blue }}\right)\right] \end{aligned} $
    热度(LST) $L=\operatorname{gain} \times \mathrm{DN}+\text { bias } \qquad T=K_2 / \ln \left(\frac{K_1}{L}+1\right) \qquad L S T=T /\left(1+\frac{\lambda T}{\alpha} \ln \varepsilon\right) $
    注:式中ρblueρgreenρredρnirρswir1ρswir2分别为TM影像第1、2、3、4、5、7波段,OLI影像第2、3、4、5、6、7波段的反射率值(在大气校正中反射率因被扩大而需缩小10 000倍得到湿度指标);IBI为建筑指数;SI为裸土指数;L为热红外波段的辐射值;DN为灰度值;gain和bias为热红外波段的增益与偏置值;T为传感器温度值;K1、K2为定标参数,对于TM数据,K1=607.76 W/(m2·sr·μm),K2=1 260.56 K;对于OLI数据,K1=774.89 W/(m2·sr·μm),K2=1 321.08 K;λ为热红外波段中心波长,λ=11.45 μm;ρ=1.438×10-2mK;ε为地表比辐射率。
    下载: 导出CSV

    表 2  交互作用类型及判断标准

    判断依据 交互作用
    q(X1X2)>q(X1)+q(X2) 非线性增强
    q(X1X2)=q(X1)+q(X2) 独立
    q(X1X2)>Max[q(X1),q(X2)] 双因子增强
    Min[q(X1),q(X2)]<q(X1X2)<Max[q(X1),q(X2)] 单因子非线性减弱
    q(X1X2)<Min[q(X1),q(X2)] 非线性减弱
    下载: 导出CSV

    表 3  1990-2022年RSEI各等级面积及比例

    生态等级 1990年 2000年 2010年 2022年
    面积/km2 比例/% 面积/km2 比例/% 面积/km2 比例/% 面积/km2 比例/%
    305.10 10.31 498.08 16.84 435.99 14.74 379.70 12.84
    较差 494.13 16.70 702.14 23.74 485.81 16.42 311.44 10.53
    一般 731.31 24.72 771.23 26.07 698.16 23.60 501.65 16.95
    718.14 24.28 531.12 17.95 720.93 24.37 767.56 25.95
    709.53 23.99 455.65 15.40 617.32 20.87 997.86 33.73
    RSEI均值 0.565 0.473 0.527 0.611
    下载: 导出CSV

    表 4  1990-2022年巫山县RSEI差值变化

    类别 情况 级差 1990-2000年 2000-2010年
    级面积/km2 占比/% 类面积/km2 占比/% 级面积/km2 占比/% 类面积/km2 占比/%
    退化 明显变差 -4 7.69 0.26 1 262.27 42.67 23.75 0.80 818.55 27.67
    -3 18.34 0.62 93.29 3.15
    略微变差 -2 138.74 4.69 235.65 7.97
    -1 1 097.50 37.10 465.86 15.75
    稳定 无明显变化 0 1 537.97 51.99 1 537.97 51.99 826.41 27.94 826.41 27.94
    改善 略微变好 +1 145.25 4.91 157.98 5.34 671.12 22.69 1 313.23 44.39
    +2 10.95 0.37 456.08 15.42
    明显变好 +3 1.48 0.05 161.57 5.46
    +4 0.30 0.01 24.46 0.83
    类别 情况 级差 2010-2022年 1990-2022年
    级面积/km2 占比/% 类面积/km2 占比/% 级面积/km2 占比/% 类面积/km2 占比/%
    退化 明显变差 -4 6.74 0.23 624.35 21.10 10.10 0.34 658.89 22.27
    -3 35.17 1.19 76.18 2.58
    略微变差 -2 139.46 4.71 192.42 6.50
    -1 442.98 14.97 380.19 12.85
    稳定 无明显变化 0 1 064.03 35.97 1 064.03 35.97 1 144.36 38.69 1 144.36 38.69
    改善 略微变好 +1 743.59 25.14 1 269.83 42.93 722.11 24.41 1 154.96 39.04
    +2 388.32 13.13 333.69 11.28
    明显变好 +3 119.13 4.02 89.43 3.02
    +4 18.79 0.64 9.73 0.33
    下载: 导出CSV

    表 5  各分量指标第一主成分

    指标 1990年 2000年 2010年 2022年
    湿度WET 0.356 0.476 0.504 0.518
    绿度NDVI 0.521 0.448 0.317 0.437
    干度NDBSI -0.516 -0.534 -0.559 -0.565
    热度LST -0.538 -0.502 -0.436 -0.442
    特征值 0.082 0.041 0.057 0.060
    贡献率/% 72.4 70.2 76.1 79.2
    下载: 导出CSV
  • [1] 叶亚平, 刘鲁君. 中国省域生态环境质量评价指标体系研究[J]. 环境科学研究, 2000, 13(3): 33-36.
    [2] 施智勇, 胡晓婷, 谢慧黎, 等. 基于RSEI的生态环境质量评价及驱动力分析——以闽江流域(福州段)为例[J]. 测绘通报, 2023(2): 28-33.
    [3] ISLAM F, ALI WASEEM L, BIBI T, et al. Soil Erosion Susceptibility Mapping of Hangu Region, Kohat Plateau of Pakistan Using GIS and RS-Based Models[J]. Journal of Mountain Science, 2024, 21(8): 2547-2561. doi: 10.1007/s11629-024-8655-3
    [4] CHANG S, WEI Y Q, DAI Z Z, et al. Landscape Ecological Risk Assessment and Its Driving Factors in the Weihe River Basin, China[J]. Journal of Arid Land, 2024, 16(5): 603-614. doi: 10.1007/s40333-024-0013-3
    [5] 李崧, 邱微, 赵庆良, 等. 层次分析法应用于黑龙江省生态环境质量评价研究[J]. 环境科学, 2006, 27(5): 1031-1034.
    [6] 李妍, 张国钦, 吝涛等. 乡镇遥感生态指数时空变化及影响因子研究——以天津市蓟州区为例[J]. 生态学报, 2022, 42(2): 474-486.
    [7] 王渊, 赵宇豪, 吴健生. 基于Google Earth Engine云计算的城市群生态质量长时序动态监测——以粤港澳大湾区为例[J]. 生态学报, 2020, 40(23): 8461-8473.
    [8] 李雅倩, 杨建华, 夏皓斌, 等. 2000-2022年伊犁河流域植被时空变化特征[J]. 干旱区地理, 2024, 47(5): 741-752.
    [9] 郭玉超, 任鸿瑞. 青藏高原干旱荒漠地区叶面积指数时空变化及影响因素[J]. 中国水土保持科学(中英文), 2023, 21(5): 38-50.
    [10] 周启刚, 李剑, 孟浩斌, 等. 基于遥感解释的重庆市重要生态空间质量评价[J]. 水土保持研究, 2021, 28(6): 292-300.
    [11] XU H Q, WANG Y F, GUAN H D, et al. Detecting Ecological Changes with a Remote Sensing Based Ecological Index (RSEI) Produced Time Series and Change Vector Analysis[J]. Remote Sensing, 2019, 11(20): 2345. doi: 10.3390/rs11202345
    [12] 杨泽康, 田佳, 李万源, 等. 黄河流域生态环境质量时空格局与演变趋势[J]. 生态学报, 2021, 41(19): 7627-7636.
    [13] 徐涵秋. 区域生态环境变化的遥感评价指数[J]. 中国环境科学, 2013, 33(5): 889-897.
    [14] 陈晓辉, 曾晓莹, 赵超超, 等. 基于遥感生态指数的道路网络生态效应分析——以福州市为例[J]. 生态学报, 2021, 41(12): 4732-4745.
    [15] 王丽春, 焦黎, 来风兵, 等. 基于遥感生态指数的新疆玛纳斯湖湿地生态变化评价[J]. 生态学报, 2019, 39(8): 2963-2972.
    [16] 王丽霞, 赵蕊, 刘招, 等. 基于RSEI的延河流域生态环境质量监测与预估[J]. 干旱区研究, 2022, 39(3): 943-954.
    [17] 范德芹, 邱玥, 孙文彬, 等. 基于遥感生态指数的神府矿区生态环境评价[J]. 测绘通报, 2021(7): 23-28.
    [18] 李娟, 张永福, 余婷婷, 等. 基于遥感生态指数的阿克苏地区生态质量时空变化及其驱动力[J]. 水土保持学报, 2023, 37(6): 333-340.
    [19] 吴可人, 高祺, 王让会, 等. 基于RSEI模型的石家庄生态环境质量评价[J]. 地球物理学进展, 2021, 36(3): 968-976.
    [20] 李妍, 张国钦, 余鸽. 乡村振兴背景下农村环境质量评价指标体系研究进展[J]. 生态与农村环境学报, 2023, 39(2): 146-155.
    [21] 郭城, 陈颖彪, 郑子豪, 等. 顾及时空背景的遥感生态指数适用性分析——以粤港澳大湾区为例[J]. 地理与地理信息科学, 2021, 37(5): 23-30.
    [22] 关琳, 王让会, 刘春伟, 等. 祁连山自然保护区生态环境大数据管理模式的探讨[J]. 测绘通报, 2023(7): 97-106.
    [23] 崔晨曦, 孟凡浩, 罗敏, 等. 基于地理探测器的内蒙古耕地水资源短缺时空变化特征及驱动力分析[J]. 中国农业资源与区划, 2023, 44(1): 150-161.
    [24] 田智慧, 尹传鑫, 王晓蕾. 鄱阳湖流域生态环境动态评估及驱动因子分析[J]. 环境科学, 2023, 44(2): 816-827.
    [25] 王欢, 高江波, 侯文娟. 基于地理探测器的喀斯特不同地貌形态类型区土壤侵蚀定量归因[J]. 地理学报, 2018, 73(9): 1674-1686.
    [26] LIU Q Q, TIAN Y C, YIN K, et al. Spatio-Temporal Pattern of Surface Albedo in Beijing and Its Driving Factors Based on Geographical Detectors[J]. Journal of Resources and Ecology, 2021, 12(5): : 609-616.
    [27] 余慧婕, 张方敏, 马赫, 等. 基于遥感生态指数的淮河流域生态环境质量时空演化及其驱动因素分析[J]. 环境科学, 2024, 45(7): 4112-4121.
    [28] 谢德体, 范小华, 魏朝富. 三峡水库消落区对库区水土环境的影响研究[J]. 西南大学学报(自然科学版), 2007, 29(1): 39-47. doi: 10.13718/j.cnki.xdzk.2019.05.018
    [29] 徐涵秋. 城市遥感生态指数的创建及其应用[J]. 生态学报, 2013, 33(24): 7853-7862.
    [30] 王帅, 徐涵秋, 施婷婷. GF-1 WFV2传感器数据的缨帽变换系数反演[J]. 地球科学进展, 2018, 33(6): 641-652.
    [31] 许友芹, 朱广祥, 李小鹏, 等. 2001-2018年长三角城市群城市化与生态环境耦合协调度变化监测[J]. 测绘通报, 2023, (2): 21-27.
    [32] 叶席, 匡鸿海. 基于多时相Landsat数据的汶川地震后王家岩滑坡植被恢复估计[J]. 西南大学学报(自然科学版), 2022, 44(6): 150-159. doi: 10.13718/j.cnki.xdzk.2022.06.016
    [33] XU H. A New Index for Delineating Built-up Land Features in Satellite Imagery[J]. International Journal of Remote Sensing, 2008, 29(14): 4269-4276. doi: 10.1080/01431160802039957
    [34] 娜扎开提·阿不都米吉提, 杨涵. 2000-2021年乌鲁木齐河流域地表温度的时空变化特征分析[J]. 西南大学学报(自然科学版), 2024, 46(2): 139-149. doi: 10.13718/j.cnki.xdzk.2024.02.014
    [35] 高燕俐, 刘小刚, 冷险险, 等. 基于主成分分析的广西省干旱时空格局[J]. 生态学报, 2020, 40(16): 5591-5601.
    [36] 潘洪义, 李加安, 张琴. 基于RSEI的地震区生态环境质量恢复研究——以汶川县为例[J]. 长江流域资源与环境, 2021, 30(3): 745-757.
    [37] 徐涵秋. 利用改进的归一化差异水体指数(MNDWI)提取水体信息的研究[J]. 遥感学报, 2005, 9(5): 589-595.
    [38] 廖洪圣, 卫伟, 陈乐, 等. 典型黄土丘陵沟壑区生境质量时空变化及驱动力: 以祖厉河流域为例[J]. 环境科学, 2024, 45(9): 5361-5371.
    [39] ZHANG M M, KAFY A A, REN B, et al. Application of the Optimal Parameter Geographic Detector Model in the Identification of Influencing Factors of Ecological Quality in Guangzhou, China[J]. Land, 2022, 11(8): 1303. doi: 10.3390/land11081303
    [40] WANG X G, XI J C, YANG D Y, et al. Spatial Differentiation of Rural Touristization and Its Determinants in China: a Geo-Detector-Based Case Study of Yesanpo Scenic Area[J]. Journal of Resources and Ecology, 2016, 7(6): 464-471. doi: 10.5814/j.issn.1674-764x.2016.06.006
    [41] 王劲峰, 徐成东. 地理探测器: 原理与展望[J]. 地理学报, 2017, 72(1): 116-134.
    [42] 胡克宏, 张震. 陕西秦岭山区留坝县生态质量时空特征及影响因素分析[J]. 生态与农村环境学报, 2021, 37(6): 751-760.
    [43] 周萌, 刘友存, 孟丽红, 等. 基于遥感生态指数的东江源区2000-2019年生态环境质量评价[J]. 水土保持通报, 2021, 41(4): 231-240.
    [44] 卢雪, 张云奇, 龙翼, 等. 三峡库区喀斯特洼地小流域产沙强度WaTEM/SEDEM模拟——以巫山县常家洼洼地流域为例[J]. 中国水土保持科学(中英文), 2021, 19(2): 92-97.
    [45] 李慧, 魏兴萍, 蔡云丽, 等. 重庆石漠化和非石漠化区植被绿度时空变化特征[J]. 水土保持学报, 2024, 38(3): 288-297.
    [46] 陈婉丽, 卢永军, 黄颖, 等. 三峡库区后移民时期移民安置模式选择研究——以巫山县为例[J]. 西南农业大学学报(社会科学版), 2010(6): 74-76.
    [47] 廖和平, 洪惠坤, 陈智. 三峡移民安置区土地生态安全风险评价及其生态利用模式——以重庆市巫山县为例[J]. 地理科学进展, 2007, 26(4): 33-43.
    [48] 姚玲, 廖和平, 邓春燕, 等. 基于土地利用变化的三峡库区生态服务价值损益分析——以重庆市巫山县为例[J]. 西南大学学报(自然科学版), 2012, 34(5): 91-96.
    [49] 马泽忠, 周爱霞, 江晓波, 等. 高程与坡度对巫山县土地利用/覆盖动态变化的影响[J]. 水土保持学报, 2003, 17(2): 107-109, 183.
    [50] 王清荣, 李阳兵, 赵雯欣, 等. 近30年来三峡库区土地利用与生态环境效应研究热点演变及展望——基于Citespace的文献可视化分析[J]. 生态学报, 2024, 44(5): 2159-2172.
    [51] 孙思琦, 郭泺, 薛达元. 重庆市巫山县土地利用格局及其生态系统服务价值的时空变化[J]. 生态科学, 2019, 38(1): 176-185.
    [52] 杨伟, 谢德体, 潘卓, 等. 三峡库区土地生态敏感度评价关键技术研究——以重庆市巫山县为例[J]. 西南大学学报(自然科学版), 2014, 36(3): 94-101.
    [53] 赵振洋, 廖和平, 王帅, 等. 三峡库区土地生态资产价值新评估——以重庆市巫山县为例[J]. 西南师范大学学报(自然科学版), 2015, 40(12): 72-77.
    [54] 刘彦随, 璩路路. 近30年三峡库区用地格局变化与人地系统演化[J]. 长江流域资源与环境, 2022, 31(8): 1664-1676.
    [55] 王永祥, 徐园园, 杨佳嘉, 等. 基于Landsat的重庆市生态环境质量动态监测及其时空格局演变分析[J]. 生态学报, 2023, 43(15): 6278-6292.
    [56] 刘栩位, 周启刚, 周浪, 等. 基于RSEI的三峡库区重庆段水土保持生态功能区生态环境质量动态监测[J]. 水土保持研究, 2021, 28(5): 278-286.
    [57] 洪惠坤, 陈智, 吴彦山, 等. 三峡移民安置区土地环境问题与生态利用模式——以重庆市巫山县为例[J]. 西南师范大学学报(自然科学版), 2008, 33(1): 144-148.
    [58] 叶琰, 翁薛柔, 马黎华, 等. 基于ITA的三峡库区地温时空演变格局[J]. 西南大学学报(自然科学版), 2023, 45(8): 151-164. doi: 10.13718/j.cnki.xdzk.2023.08.014
    [59] 陈玮. 基于RS和GIS巫山县20年土地利用特征变化及其预测研究[J]. 水土保持研究, 2017, 24(4): 89-94.
    [60] 邵怀勇, 仙巍, 周万村. 基于3S技术的三峡库区不同高程带景观格局研究——以巫山县为例[J]. 水土保持通报, 2005, 25(3): 54-57.
    [61] 赖佳鑫, 赵俊杰, 刘峰, 等. 乡村振兴战略背景下基于SWOT分析的山地烟区乡村旅游发展策略——以巫山县鸳鸯烟叶科技示范区为例[J]. 中国农业资源与区划, 2020, 41(4): 235-242.
  • 加载中
图( 5) 表( 5)
计量
  • 文章访问数:  876
  • HTML全文浏览数:  876
  • PDF下载数:  328
  • 施引文献:  0
出版历程
  • 收稿日期:  2024-08-17
  • 刊出日期:  2025-09-20

巫山县生态环境质量评价及主导因子分析

    通信作者: 马黎华,博士,副教授; 
    作者简介: 江昌琛,硕士研究生,主要从事土壤生态安全相关研究
  • 1. 西南大学 资源环境学院/长江经济带农业绿色发展研究中心,重庆 400715
  • 2. 重庆工商大学 公共管理学院,重庆 400067
基金项目:  重庆市鲁渝科技协作项目(CSTB2022TIAD-LUX0005)

摘要: 

生态环境质量全面、有效的评估是生态文明建设的重要内容。为研究分析三峡库区重庆市巫山县的生态环境质量状况,基于USGS平台1990年、2000年、2010年、2022年的Landsat TM/OLI遥感影像数据,采用遥感生态指数(RSEI)对巫山县生态环境质量进行评价,并利用地理探测器(Geo-Detector)方法对评价结果进行因子及交互探测。结果表明:① 1990-2022年巫山县生态环境质量总体呈现“下降—恢复—上升”的趋势,1990年、2000年、2010年和2022年的RSEI均值分别为0.565、0.473、0.527、0.611。②巫山县不同时期各等级RSEI的空间分布有一定的差异性,1990-2000年巫山县生态环境质量以退化为主,退化区域主要分布在境内水系两岸,以及成聚的城市建成区和聚落村庄;2000-2022年总体以生态环境质量改善为主,改善区域主要集中在中部、西部及边缘地带。③在因子探测结果中,1990年和2000年巫山县生态环境质量的主导因子均为热度(q1990=0.852、q2000=0.852),而2010年和2022年则分别转变为由干度(q2010=0.950)和绿度(q2022=0.785)主导。交互探测中,对生态环境质量评价结果影响最大的两个指标因子:1990年、2000年均为湿度与热度,交互作用影响力为0.970、0.968;2010年、2022年均为绿度与干度,交互作用影响力为0.958、0.918;任意两因子的交互作用随时间均表现为双因子增强。32年间,重庆市巫山县生态环境状况整体得到提升,但未来也要注意对当地边缘地带的保护以及对植被覆盖、裸土和人类活动的关注。

English Abstract

  • 开放科学(资源服务)标识码(OSID):

  • 生态环境质量是生态系统在时间和空间维度上要素、结构和功能综合特性的表征,能够反映区域生态环境对经济社会可持续发展的支撑与适宜程度[1]。生态环境质量评价则是对其优劣状况进行定性或定量的评价分析[2],以此能够有针对性地修复和改善环境质量,这对于推进生态文明建设以及促进区域可持续发展具有重要意义。

    生态环境质量评价通常采用地理信息[3]、景观生态[4]、AHP层次分析[5]、遥感技术[6]等方法。其中,卫星遥感技术对地观测系统具有快速、实时、覆盖面积广等优势,因而被广泛应用于生态环境评价领域[7],如国内外学者利用增强植被指数(EVI)、叶面积指数(LAI)、归一化建筑指数(NDBI)等单一遥感指数,对流域、高原和城市地区的生态环境进行了大量的评价研究[8-10]。但生态环境组成结构复杂、受影响因素较多,不同单一遥感指数对于不同地物的提取效果具有差异,往往只能反映生态环境在某一方面的特征,难以全面、准确地揭示其综合状况。因此,采用多指标构建的综合指数对生态环境进行量化评估,更能科学、系统地反映生态系统的整体特征[11-12]。近年来,遥感生态指数(RSEI)作为一种新型综合评价方法,有着数据易获取、精度高和时效性强等优势,能够进行可视化处理和跨时空对比分析,其评价结果客观且避免了单一指标的局限性,在生态环境监测与评价中展现出较好的优势和应用前景[13-14]。已有大量研究表明,RSEI在湿地[15]、流域[16]、矿山[17]、荒漠[18]、城市[19]等多类型区域的生态效益评估中具有较强适用性,能够对各区域生态环境状况进行客观、定量的分析与评价,并都取得很好的成效。

    目前,基于RSEI的生态环境质量评价研究主要集中在两个方面:在空间尺度上,相关研究多聚焦于流域、城市等大尺度区域,而针对乡村、县域等中小尺度区域的生态环境监测与评价相对较少,并且不同空间尺度下的RSEI反演结果可能存在一定差异[20]。在时间尺度上,RSEI能够提供长时间序列的生态环境监测数据,以此评估生态环境的动态演变和时序趋势,但不同时间间隔的选取可能会影响其表征结果。此外,RSEI反演结果的差异与其易受云量、影像合成时间窗口、时空尺度以及影像分辨率等因素密切相关[21]。为缓解或消除这些因素对区域实际生态状况的干扰,部分学者在研究中选择高分辨率、低云量且时相差异较小的Landsat遥感影像数据,对诸如祁连山自然保护区等较大尺度区域的生态环境进行监测与评估,从而有效揭示了保护地生态环境演变的过程与机理[22]。这为在不同空间尺度上综合考虑尺度效应、科学选取影像数据,并构建RSEI模型以开展生态环境质量评价提供了有益参考。

    分析生态环境质量的影响因素是对区域生态环境质量评价研究的进一步补充。地理探测器是探测空间分异性及其驱动机制的统计学方法,能够定量评估单一因子对因变量的解释力,并分析任意两因子交互作用对因变量的综合影响[23]。该方法已广泛应用在生态环境研究领域,如利用地理探测器方法对RSEI[24]、土壤侵蚀[25]、地表反照率[26]等状态量的影响因素及驱动因子进行了翔实研究和分析,通常从人类活动和自然条件两方面选取指标,通过因子探测确定各因子的解释力大小,并借助交互探测揭示不同因子之间的交互作用效应。同时,地理探测器方法应用在长时空序列层面的探测分析中也较为普遍,如相关学者借助该方法对淮河流域2002-2022年RSEI空间分异的关键影响因子以及交互作用进行了定量研究,因子探测结果表明,2002年、2007年、2012年、2017年和2022年的关键因子均为绿度,对RSEI变化的驱动作用最为显著;交互探测结果显示,任意两因子之间表现为双因子或非线性增强效果,其中2002年、2012年和2022年的最强交互作用均为绿度与海拔,2007年和2017年则分别为绿度与年降水量、绿度与土地利用类型两对因子,最终为研究区生态环境的监测、评价和建设规划提供了理论支撑[27]

    重庆市巫山县位于长江上游、三峡库区腹心地带,是国家重要的生态功能区,也是典型的生态脆弱区[28],在长江上游生态安全格局中具有关键屏障作用。巫山县的生态环境质量不仅直接关系到长江经济带和三峡库区的整体生态安全,也在一定程度上制约着当地经济社会的可持续发展。受制于独特的喀斯特地质环境及人类活动的综合影响,区域绿色产业(如康养旅游、脆李及中药材种植等)的发展对优质土壤与良好生态环境的依赖性日益增强。因此,及时、准确地识别巫山县生态环境质量状况,并深入探讨其背后的主导驱动因素,对于完善三峡库区和长江经济带的生态安全屏障体系具有重要现实意义。

    本研究通过RSEI模型对巫山县1990-2022年生态环境质量进行定量评价,揭示其空间分布特征和时空演变规律,同时利用地理探测器方法探究影响当地生态环境质量的主导因子,以期协调区域发展和生态环境保护之间的博弈冲突、巩固长江上游重要生态屏障,为三峡库区生态保护治理提供科学依据。

  • 重庆市巫山县位于三峡库区腹心地带,介于东经109°33′-110°11′与北纬33°45′-31°28′之间,总面积为2 958.21 km2。县域常住人口46.35万人,涉及26个乡镇,340个村。气候温和,多年平均气温为18.4 ℃,属亚热带季风性气候;境内雨水充沛,多年平均降雨量为1 041 mm,降水多集中在夏季,常有暴雨,间有洪涝,且多伏旱;溪河众多,长江横贯东西。生物种类、矿产资源丰富。县境地质构造复杂,地势南北高而中间低,地形起伏较大,最高海拔为2 708 m,最低海拔仅有63 m,低值主要分布在县域中西部地区,高值主要分布在边缘地带。研究区所处三峡库区区位及高程如图 1所示。

  • 本研究遥感影像来源于美国地质勘探局(https://earthexplorer.usgs.gov/)提供的Landsat TM/OLI数据,为避免研究区季节气候、云量等对RSEI分量指标的影响,本次研究筛选出8-10月的夏季遥感数据,包括行列号为126/038、126/039的1990年、2000年的Landsat 5 TM数据和2010年Landsat 7 ETM+、2022年Landsat 8 OLI/TIRS数据,共4期,空间分辨率为30 m,重复周期为16 d,云量低于10%,影像效果较好。地表数据来自中国科学院计算机网络信息中心地理空间数据云平台(https://www.gscloud.cn/)的ASTER GDEM数字高程数据,分辨率为30 m。预处理具体包括:运用ENVI 5.3软件对4期影像数据进行辐射定标、大气校正、几何校正等工作,从而减少不同时相影像在光照、地形和大气等方面的差异,以此保证影像间空间叠加分析的准确性。最后根据研究区矢量范围进行预处理后的影像裁剪。

  • RSEI是集成湿度(WET)、绿度(NDVI)、干度(NDBSI)和热度(LST)4个分量指标(计算公式如表 1所示)的定量评价模型,其函数定义式为[29]

    其中:湿度指标与植被和土壤湿度联系紧密,在生态环境质量评价中得到广泛应用,基于Landsat TM/OLI影像数据,以缨帽变换中的湿度分量来代替湿度指标[30];植被状况能够反映生态环境质量,故绿度指标采用归一化植被指数,归一化植被指数值越大表明植被覆盖越好[31-32];地表建筑物和裸土造成的土地干化,会对生态环境质量有一定的危害,因此,干度指标用建筑指数和裸土指标的平均值表示[33];地表温度能够用来反映地表的生态环境状况,故热度指标用遥感影像热红外波段反演的地表温度表示[34]

  • 本研究采用主成分分析方法(PCA),集成湿度、绿度、干度和热度4项分量指标构建RSEI模型。主成分分析方法采取依次垂直旋转坐标轴的方法将多个变量的信息集中到少数几个特征分量中,从而实现了多因子的降维,这种方法是自动客观地根据各指标的性质及其对各主成分的贡献度来确定的,从而在很大程度上避免了RSEI结果的偏差[35]

    依据上述公式计算得到遥感生态指数的各分量指标,由于各指标单位及数值范围存在差异,在进行主成分分析之前需进行归一化处理,使各项指标值域范围在[0, 1]之间,归一化公式为[36]

    式中:NIi为某指标归一化处理后的结果;Ii为该指标在像元i处时的值;Imax为该指标的最大值;Imin为该指标的最小值。

    考虑到研究区水系发达,长江横贯东西,为避免大面积水体对湿度指标的影响,采用改进的归一化水体指数(MNDWI)提取研究区水体并通过掩膜处理并剔除[37]。集成归一化处理后的4个分量指标,进行主成分分析得到最大贡献率的第一主成分值,对其进行正负值转置后得到初始遥感生态指数(RSEI0),最后对RSEI0进行归一化处理,得到遥感生态指数(RSEI),其计算公式为[38]

    式中:PC1为贡献率最大的第一主成分值;RSEI0 minRSEI0 max分别为RSEI0的最小值和最大值。RSEI值在[0, 1]之间,其值越大,代表生态环境状况越好。

  • 地理探测器是探测空间分异性,以及揭示其背后影响力的一组统计学方法。这种方法能够对数值型、定性数据进行探测,与传统统计方法相比,地理探测器可以分析选取因子对因变量的影响力大小,以及多个选取因子之间的交互作用[39]。本研究采用地理探测器中因子探测和交互探测方法,以4个分量指标作为自变量,RSEI作为因变量,通过空间层面的差异揭示各指标因子及其交互作用对遥感生态指数的影响程度。

    1) 因子探测

    探测各指标因子对因变量RSEI的空间分异性,用q值度量,其表达式为[40]

    式中:q为各指标因子对RSEI的影响力值,值域范围为0~1,q值越大表示某指标因子对遥感生态指数的影响力越大;h=1~L,表示变量的分层;NhN分别表示层h和研究区内的采样点数;σh2σ2分别表示层h和研究区内RSEI的方差值。

    2) 交互探测

    通过交互探测可以评估指标因子X1X2共同作用时是否会增加或减弱对遥感生态指数的影响力。具体实现方法为:首先选取两个指标因子作为自变量,分别计算出各自对遥感生态指数的影响力值q(X1)和q(X2),其次计算出两个指标因子产生交互作用时对遥感生态指数的影响力值q(X1X2),最后依据三者大小关系确定交互作用类型[41]。交互作用的判断标准如表 2所示。

  • 参考已有学者的分级标准[42],根据等间距法,以0.2为基准将1990-2022年4期归一化处理后的RSEI分为5个等级,即差[0~0.2)、较差[0.2~0.4)、一般[0.4~0.6)、良[0.6~0.8)、优[0.8~1]。RSEI各等级空间分布如图 2所示,各年份RSEI不同等级面积及比例见表 3

    图 2表 3可知,巫山县RSEI均值在1990-2022年间呈现“下降—恢复—上升”的趋势,生态环境质量持续向好。RSEI均值由1990年的0.565降至2000年的0.473,下降幅度为16.28%;到2010年回升至0.527,10年时间增幅11.42%;2022年进一步提升至0.611,相较于2000年增加29.18%,生态环境质量得到明显改善。

    1990年当地的生态环境呈现较高质量,等级为一般及以上的比例占县域总面积的72.99%,较差及以下的占比为27.01%;高生态等级主要分布在境内海拔较高的地区,其植被覆盖较高,低生态等级区域聚集在低海拔地区,其余呈零散分布。2000年生态环境质量变差,整体以一般生态等级居多,优、良生态等级面积大量减少,减少幅度分别为8.59%和6.33%,相较于1990年,10年时间生态环境状况明显恶化,生态质量以低等级为主。其中,差和较差的等级比例为40.58%,其面积增加400.99 km2;高生态等级占比变少且分布在边缘地带,而差生态等级区域扩张蔓延,主要分布在境内水系两岸,整体生态环境呈现明显下滑趋势。2010年整体得到恢复,以良生态等级居多,占比24.37%,与2000年相比,一般及以上生态等级比例达到68.84%,面积增加278.41 km2,虽然生态等级为差和较差的面积有小幅减少,但仍然占有较大的比例。位于西侧的龙溪镇、福田镇、双龙镇、巫峡镇和曲尺乡,南侧的官渡镇和抱龙镇,东侧的骡坪镇和三溪乡恢复明显,生态等级基本由差转好,但部分区域生态等级却由高降低,如东北部的当阳乡和平河乡、西南部的红椿乡、东南部的邓家乡和笃坪乡,生态质量很明显降低。2022年生态环境质量整体上升,一般及以上生态等级占比达到76.63%,其中优生态等级面积为997.86 km2,占比33.73%,低生态等级面积占比减小,等级为较差及以下的比例仅为23.37%;相较于2010年,一般生态等级面积减少196.51 km2,良及以上生态等级面积增加427.17 km2。其中,生态等级为优的比例增幅为12.86%,面积增加380.54 km2,大部分区域生态等级得到提高,生态质量等级保持较高水平,但东南部和西南部边缘地区,涉及邓家乡、笃坪乡和红椿乡,自2010年起始终处于低生态等级。

  • 在得到重庆市巫山县分级RSEI基础上,通过ArcGIS 10.8软件对其进行差值处理实现动态监测。按照级差区间划分为退化、稳定、改善3个类别,同时为了研究RSEI变化幅度,依据级差大小分为5种情况,即明显变差(-4、-3)、略微变差(-2、-1)、无明显变化(0)、略微变好(+1、+2)、明显变好(+3、+4),并进行面积及占比的统计,从而获取巫山县不同时空下生态环境质量的动态差异情况[43]。RSEI等级变化分布情况如图 3所示,1990-2022年各时段RSEI等级变化的面积及比例见表 4

    图 3表 4可知,重庆市巫山县1990-2000年间,境内生态环境状况整体退化明显。质量退化类的面积有1 262.27 km2,占比42.67%,是4个时段中退化类占比的最高值。其中,质量明显变差的面积为26.03 km2,占比0.88%,主要分布在南部和东北部地区;质量略微变差的面积为1 236.24 km2,比例达到41.79%,分布广泛,主要集中在境内水系两岸区域,以及一些成聚城市建成区和聚落村庄,涉及的乡镇较多。变化类型为稳定类的面积为1 537.97 km2,占总面积的51.99%,是4个时段中稳定类占比的最高值,主要位于境内边缘高海拔以及江河湖泊地区。生态环境质量改善类的面积仅为157.98 km2,占比5.34%;质量略微变好的面积为156.20 km2,占比5.28%;质量明显变好的面积为1.78 km2,占比仅0.06%;同时略微变好和明显变好区域在东北部几乎较少存在,总体分布相对比较零散且比重较小。

    2000-2010年间,巫山县生态环境状况整体呈改善趋势,但仍有部分区域表现出退化特征。质量退化类的面积为818.55 km2,占总面积的27.67%。其中,质量明显变差的面积为117.04 km2,占比3.95%,分布比较集中,主要位于研究区东北、东南及西南部边缘地区;略微变差面积为701.51 km2,比例为23.72%,主要分布在长江两岸、西南、东北部地区;虽然相较于上一时段退化幅度略微减缓,但退化趋势仍不容忽视。变化类型为稳定类的面积为826.41 km2,占总面积的27.94%,位于境内江河湖泊以及小部分零散地区。而质量改善类的面积达到1 313.23 km2,所占比例为44.39%;其中质量略微变好的面积为1 127.20 km2,占比38.11%,质量明显变好的面积为186.03 km2,占比6.29%;改善类高于退化类占比,表明生态环境质量总体得到好转,其中质量略微变好区域分布集中且呈连片聚集,涉及乡镇较多,而质量明显变好区域主要集中在南部和西北部地区,其余分布相对散乱。

    2010-2022年间,生态环境的退化得到缓解,环境状况进一步提升。生态环境质量退化类的面积为624.35 km2,比例为21.10%。其中,质量明显变差的面积相较于上一时段明显减少,仅41.91 km2,占比1.42%,比重较小并呈零散分布;略微变差面积为582.44 km2,占比19.68%,各乡镇均有涉及,主要集中在研究区东部、南部和一些边缘地带。变化类型为稳定类的面积为1 064.03 km2,面积占比35.97%,主要位于江河湖泊周边,其余分布在研究区东南部以及边缘地区。生态环境质量改善类的面积继续稳中提升,为1 269.83 km2,占总面积的42.93%。其中,有1 131.91 km2区域的生态质量呈现略微变好,占比为38.27%,块状分布,相对集中连片,涉及长江南北两岸地区;质量明显变好的面积为137.92 km2,面积占比4.66%,主要分布在研究区边缘高海拔地带。

    总体来看,重庆市巫山县1990-2022年间,生态环境质量以稳定类和改善类居多,生态环境整体显著改善。生态环境质量退化类的面积为658.89 km2,面积占比22.27%。其中,生态质量以略微变差为主,面积为572.61 km2,占比19.35%,主要分布在县内水系两岸地带,以及东北、南部的边缘地带;余下2.92%为质量明显变差类型,面积为86.28 km2,集中分布在东南部、西南部及东北部边缘,其余零散分布。变化类型为稳定类的面积为1 144.36 km2,面积占比38.69%,比重较大且分布相对集中,主要位于东北部和南区边缘地区,以及江河湖泊周边,说明重庆市巫山县自然水系的生态质量保持相对稳定的状态。生态环境质量改善类的面积为1 154.96 km2,所占比例为39.04%,基本与稳定类持平,其中,质量略微变好的面积为1 055.80 km2,所占比例最大,为35.69%,分布较广,主要位于中部、西部以及部分边缘地区;而质量明显变好的面积仅有99.16 km2,占比3.35%,集中在西北部边缘,其余分布较为稀疏。同时,改善类面积占比高于退化类约17个百分点,表明总体生态环境质量改善趋势较好,但北部、西南部和东南部边缘地带退化明显,这些区域动态变化与前文RSEI分级特征有着较高的一致性,所以当地在后续的生态建设中,仍应注重对这部分较大面积占比的退化类生态环境区域的修复与治理。

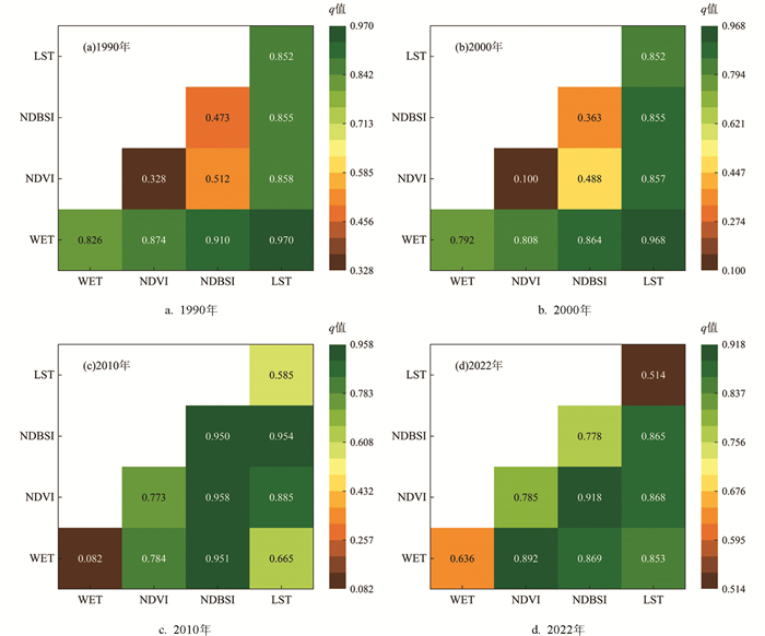
  • 针对每期数据具体操作为:以RSEI作为因变量,各分量指标湿度(WET)、绿度(NDVI)、干度(NDBSI)和热度(LST)通过重分类由数值量转化为类型量后进行分层,作为自变量。之后以500 m×500 m范围,在ArcGIS 10.8软件中建立渔网进行均匀采样,去除异常值后,1990年为11 369个有效样本点,2000年为11 175个有效样本点,2010年为15 220个有效样本点,2022年为11 573个有效样本点。最后运用地理探测器方法进行主导因子分析,统计4个分量指标对RSEI的影响力值(q值),如图 4所示。

    探测结果表明,1990年、2000年、2010年和2022年各指标的p值均为0,说明4个分量指标对巫山县生态环境质量的空间分异特征均具有充足的解释力。然而,各时期的q值存在一定差异,表明4个分量指标对RSEI的影响程度随时间发生变化。从主导因子来看,巫山县1990年、2000年、2010年和2022年对生态环境质量影响最大的因子分别为热度(q1990=0.852)、热度(q2000=0.852)、干度(q2010=0.950)和绿度(q2022=0.785)。其中1990年q值从大到小依次为:热度(q=0.852)>湿度(q=0.826)>干度(q=0.473)>绿度(0.328);2000年q值从大到小依次为:热度(q=0.852)>湿度(q=0.792)>干度(q=0.363)>绿度(q=0.100);2010年q值从大到小依次为:干度(q=0.950)>绿度(q=0.773)>热度(q=0.585)>湿度(q=0.082);2022年q值从大到小依次为:绿度(q=0.785)>干度(q=0.778)>湿度(q=0.636)>热度(q=0.514)。

  • 通过地理探测器中的交互探测,得到重庆市巫山县1990-2022年每两个分量指标对生态环境质量的交互影响力,如图 5所示。结果表明,1990年、2000年对RSEI影响最大的均为湿度与热度,交互作用影响力分别为q1900(湿度∩热度)=0.970、q2000(湿度∩热度)=0.968,在所有交互作用对生态环境质量的空间分异性中有着最强的解释力,解释力为96.8%。2010年对RSEI影响最大的为绿度与干度,是所有交互作用对巫山县生态环境质量影响力中的最大值,交互作用影响力q2010(绿度∩干度)为0.958,解释力为95.8%。2022年绿度与干度对RSEI的影响力最大,交互作用影响力q2022(绿度∩干度)为0.918,对生态环境质量空间分异性的解释力为91.8%。再与单个指标因子q值进行比较,依据交互作用类型及判断标准,可以看出任意两个分量指标对RSEI的交互影响力都强于单个指标因子,呈现双因子增强效果,表明巫山县生态环境状况不是单一指标作用下的结果。

  • 通过ENVI 5.3软件得到各分量指标第一主成分参数,如表 5所示。结果表明,1990年、2000年、2010年和2022年第一主成分(PC1)贡献率分别为72.4%、70.2%、76.1%、79.2%,均大于70%,表明第一主成分集成效果较好,能够反映生态环境绝大部分信息。在各分量指标的贡献度中,湿度和绿度指标为正值,表明湿度和绿度对研究区的生态环境有一定的正向积极作用,而干度和热度指标为负值,表明两项指标对研究区生态环境有一定的负向阻碍作用,符合当地的实际情况。因此,采用贡献率最高的第一主成分进行RSEI的构建具有可行性。

  • 早年重庆市巫山县境内地表破碎,水土流失、植被退化和石漠化等生态问题频发,虽然通过多年的治理,当地的生态恶化得到了一定遏制,但由于其土质、环境等因素长期的不稳定,导致生态治理效果呈现一定的反弹性[44-45]。32年间生态环境质量经历“下降—恢复—上升”的3个阶段过程,最终生态状况得到较大程度的提升。

    在质量下降阶段(1990-2000年),低生态等级地区大部分也是退化类区域(略微变差、明显变差),主要分布在水系两岸。一是由于当地石漠化易淋溶的地质条件,在1997年巫山县境内水土流失率就高达61.03%,每年仍以1.24%的速度增长,在三峡工程建设和移民迁建工程实施后,人类工程活动对原有地质环境的改变[46],加之水系处是低海拔区域,沿水系呈“凹型”带状分布,这就导致这类区域水土流失带来的植被覆盖减少等问题加剧;二是由于这一时期工业化、城市化的建设产生的废水排放,以及过量地施用化肥、农药导致的农业面源污染,1997年巫山县化肥施用量达17 796 t,这无疑进一步加剧了环境质量的退化[47]。而改善类区域(略微变好、明显变好)在东北部几乎较少存在,这一现象的发生直接表现在植被覆盖的减少,当时内迁移民后靠与安置区高度重叠,促使大量森林景观遭受人为活动的强烈扰动,同年长江截流后淹没全县大量耕地,加之农业结构调整,造成耕地减少、人地关系紧张,所以出现乱砍滥伐、毁林开荒等人类活动[48-49]

    在质量恢复阶段(2000-2010年),这一时期当地针对严峻生态问题,实施长江上游水土流失重点防治工程,逐步开展退耕还林、还草、荒山造林等生态修复工作[50];同时三峡库区的建立以及实施环境保护条例等,这些措施大大缓和了人地关系[51],使得生态状况整体得到恢复。低生态等级和退化类区域主要集中在东北、东南和西南部边缘地区。东北部区域可能由于海拔高、坡陡易滑引起水土流失等自然灾害的发生导致的。东南和西南边缘部分一方面是由于属于典型高生态敏感区,特别是东南部的笃坪乡与邓家乡呈现高度生态敏感,易受到干扰且恢复困难[52],对于这部分地区应加强生境保护,可以适当增加林业等生态用地;另一方面可能由于城镇、工业建设发展导致土地利用结构变化导致的,基于有关学者的研究,土地利用方式对于当地生态环境有着巨大的影响[53]

    在质量上升阶段(2010-2022年),巫山县政府严格落实“一江碧水、两岸青山”战略部署,传统产业持续升级向绿色转型,同时土地利用方式的转变、生态建设工程以及土地集约节约等措施的实施,减缓了紧张的人地关系[54],使得生态环境状况稳步提升。如曲尺乡在2015年开建巫山机场,施工活动导致退化明显,在项目竣工后,曲尺乡抓住国家对三峡库区实施退耕还林的落实和石漠化治理两大机遇,复垦荒地、大建梯田,发展绿色产业,生态质量最终改善提升。而县域的北部、东南部和西南部边缘,主要涉及笃坪乡、邓家乡和红椿乡,自2010年开始,一直是易退化区域且处于低生态等级,结合各期遥感影像实况,一方面是由于城镇化建设等人类活动,另一方面由于石漠化、水土流失等问题引发的自然灾害,导致这部分区域植被覆盖少、裸地和地面建筑明显,这与前人的研究结论相符[55-56],所以当地在后续的生态建设中,仍需注重对这部分边缘地带生态状况的改善和保护。

    同时,RSEI应用的尺度效应问题在一定程度上会对其反演结果产生影响。从空间尺度来看,针对不同矢量大小的研究区域,在较大的空间尺度上,由于平均效应可能会掩盖一些局部小范围的生态变化情况,而在较小的空间尺度上,虽然能够较好地对局部生态状况进行精细观测,但可能会缺乏对区域整体生态格局的把握;从时间尺度来看,选取不同时间间隔的影像数据也会影响RSEI结果的表现,短时间尺度可以更为及时地监测生态状况,但可能会受到季节性、短期干扰因素的影响,导致结果的不稳定,而长时间尺度可以反映生态变化的大体趋势,但却容易忽视关键节点的重要生态事件。针对这些生态环境不同时空尺度带来的差异性影响,前人提出将大数据技术应用在分析复杂生态环境要素,以此提高观测精度并能够科学有效地解释生态环境问题的相关机理[22],这为有效减小RSEI尺度问题提供了前沿方法,一方面可以利用大数据技术选取更高分辨率、更低云量、更小时相差异的影像数据进行RSEI模型的构建,另一方面也可以进行更长时间序列的研究来降低数据误差带来的影响。

  • 结合主导因子、交互作用结果,从时间节点来看,1990、2000年的主导因子均为热度,交互作用中影响RSEI最大的两个指标均为湿度与热度,很大程度上是由于这两个时期当地都对长江两岸过度开发,人类、工程活动频繁致使土地干化和植被退化[57]。1990年地区生产总值约3.15亿元(其中第二产业占比21.18%),而2000年地区生产总值为12.59亿元(其中第二产业占比23.56%),但两个时期的全县森林覆盖率和城镇化率相差不大且均处于较低水平,低植被覆盖加之第二产业发展可能导致水土流失、水源涵养功能进一步衰退。同时前人探讨了1981-2014年三峡库区范围内地表温度的时空演变特征,得出库区的地表温度呈上升趋势且巫山县地表温度起伏最大[58],这可能也是引起当地水分和地表温度状况处于q高值状态的原因,其中的热度q值最高即影响表现最为强烈。综上,这两年份主导因子表征为热度符合实际情况;从时段变化来看,1990-2000年,4个指标的q值均不同程度地减小,其中绿度变幅最大,说明植被覆盖降低是导致这一阶段生态环境退化的主要原因,这与前文分析吻合。

    2010年主导因子表现为干度,同时2000-2010年绿度和干度的q值上升明显,交互作用影响最大的指标由2000年的湿度与热度转变为绿度与干度,绿度q值增大的这种变化是由于当地加大了灾害防治的建设措施,实行大规模造林绿化等生态修复工作,使得植被覆盖增加;但这一时期工业化、城市化高速发展,居民工矿用地变化速率加快,建筑用地的面积大量增加[59-60],2010年地区生产总值为49.70亿元(其中第二产业占比30.58%),城镇化率由2000年的12%增长到30.02%,可能使得地表建筑物和裸土造成的土地干化情况增加,进而导致干度q值的上升,干度影响表现更为强烈,致使其成为该年份RSEI的主导因子。绿度为2022年主导因子,且2010-2022年绿度和湿度q值上升,说明这一时期植被恢复状况、生长条件得到进一步改善,而热度和干度q值下降,表明当地负面生态状况得到缓和,主导因子由2010年的干度转变为绿度,交互作用影响最大的指标却均为绿度与干度。这是因为该时期巫山县除生态修复治理工作外,自2012年开始扎实推进美丽乡村建设,产业结构向经济林、森林康养、生态旅游等绿色生态产业转型[61],森林覆盖率从2010年的50%增长到2022年的67.6%,并入选第六批“绿水青山就是金山银山”实践创新基地名单,但干度指标q值的减小可能是裸土减少、工业和城镇化建设减缓导致的。同时,进一步可以看出在生态环境质量上升的阶段,植被状况、人类活动对当地生态环境的影响程度是很大的,所以巫山县在后续的生态建设中应重点关注,但也不能忽视其他因素的影响。

    最后,本研究利用地理探测器方法对RSEI空间分异进行探测分析,探讨了RSEI构成内部的主导因子驱动影响,虽然地表、气候、人类活动等外部因素,比如高程、年降水量、城市扩张强度等因子最终直接或间接地影响着RSEI的构成指标,但对这些因子驱动力大小的研究也是未来需要补充进行的。此外,构成RSEI的4个分量指标的变化存在一定的随机性且时空跨幅较大,这些都会对生态环境质量的准确度有一定影响。因此,后续研究需结合当地实际情况,综合选取分量指标集成RSEI,并考虑自然、社会条件和人类活动等因子进行探测分析,以此为区域生态修复和治理提供更为准确的参考依据。

  • 本研究基于RSEI和地理探测器分析了重庆市巫山县1990-2022年生态环境质量的时空变化特征与主导因子,结果表明:32年间,重庆市巫山县RSEI总体呈现“下降—恢复—上升”的趋势,不同时期各等级RSEI的空间分布有一定的差异性,高生态等级主要分布在高海拔地区,低生态等级则主要位于低海拔地区。同时生态环境质量变化以改善类为主且主要分布在中部、西部及边缘地带,退化类区域主要分布在巫山县北部、西南部和东南部的边缘地带,以及一些成聚的城市建成区和聚落村庄,退化主要原因为自然灾害和人类活动。

    重庆市巫山县1990年和2000年生态环境的主导因子均为热度(q1990=0.852、q2000=0.852),2010年的主导因子为干度(q2010=0.950),而2022年的主导因子则转变为绿度(q2022=0.785)。同时交互探测表明,任意两分量指标对RSEI的影响均呈现双因子增强效果,其中绿度与干度是目前对RSEI交互作用最强的两个指标,在后续的生态建设中应重点关注植被、裸土状况与人类活动。

参考文献 (61)

目录

/

返回文章
返回