留言板

尊敬的读者、作者、审稿人, 关于本刊的投稿、审稿、编辑和出版的任何问题, 您可以本页添加留言。我们将尽快给您答复。谢谢您的支持!

川中红层泥岩水化膨胀特性及微观影响机制的试验研究

上一篇

下一篇

高芳芳, 张国栋, 凌斯祥, 等. 川中红层泥岩水化膨胀特性及微观影响机制的试验研究[J]. 西南大学学报(自然科学版), 2026, 48(3): 169-182. doi: 10.13718/j.cnki.xdzk.2026.03.015
引用本文: 高芳芳, 张国栋, 凌斯祥, 等. 川中红层泥岩水化膨胀特性及微观影响机制的试验研究[J]. 西南大学学报(自然科学版), 2026, 48(3): 169-182. doi: 10.13718/j.cnki.xdzk.2026.03.015
GAO Fangfang, ZHANG Guodong, LING Sixiang, et al. Experimental Study on the Swelling Characteristics and Microscopic Influence Mechanisms of Red-Bed Mudstones in Central Sichuan Basin[J]. Journal of Southwest University Natural Science Edition, 2026, 48(3): 169-182. doi: 10.13718/j.cnki.xdzk.2026.03.015
Citation: GAO Fangfang, ZHANG Guodong, LING Sixiang, et al. Experimental Study on the Swelling Characteristics and Microscopic Influence Mechanisms of Red-Bed Mudstones in Central Sichuan Basin[J]. Journal of Southwest University Natural Science Edition, 2026, 48(3): 169-182. doi: 10.13718/j.cnki.xdzk.2026.03.015

川中红层泥岩水化膨胀特性及微观影响机制的试验研究

  • 基金项目: 国家自然科学基金项目(42502284);西藏自治区重点研发计划项目(XZ202401ZY0097);四川省科技计划项目(2024YFHZ0154)
详细信息
    作者简介:

    高芳芳,硕士,副教授,主要从事岩土工程及地质灾害研究 .

    通信作者: 张国栋,博士; 
  • 中图分类号: P642.13

Experimental Study on the Swelling Characteristics and Microscopic Influence Mechanisms of Red-Bed Mudstones in Central Sichuan Basin

  • 摘要:

    为研究红层泥岩水化膨胀特性及微观影响机制,以四川盆地中部侏罗系红层泥岩为研究对象,开展了南充遂宁组、南充沙溪庙组、内江沙溪庙组红层泥岩的矿物成分分析、微观结构测试以及不同条件下的膨胀试验,揭示了红层泥岩膨胀的微观机制,探讨了矿物含量及微观结构与红层泥岩膨胀的相关性。试验结果表明:研究区红层泥岩黏土矿物平均含量为22.4%,微观单元体连结特征主要为面-面接触和边-面接触。红层泥岩为弱膨胀性软岩,泥岩膨胀变形随吸水时间呈三段式发展,即快速增长阶段、缓慢增长阶段和趋于平稳阶段。红层泥岩膨胀性与黏土矿物含量呈正相关,南充遂宁组孔隙分形维数值最高(0.382),内江沙溪庙组孔隙分形维数值最低(0.213)。最后,从颗粒基质吸力、水化膜增厚及黏土矿物膨胀联合作用的角度揭示了初始含水率影响红层泥岩膨胀的内在机制。

  • 加载中
  • 图 1  自由膨胀率与时间的关系曲线

    图 2  侧向约束膨胀率与时间的关系曲线

    图 3  膨胀力与时间的关系曲线

    图 4  红层泥岩SEM图像

    图 5  孔隙处理示意图

    图 6  孔隙直径与孔隙数目的关系分布图

    图 7  黏土矿物含量与膨胀性指标的关系图

    图 8  岩石颗粒单元体和粒状聚集体结构示意图

    图 9  岩样C(di)与di的拟合关系图

    图 10  不同初始含水率下膨胀性指标与时间的关系图

    图 11  初始含水率与膨胀性指标的关系图

    表 1  红层泥岩样品基本物理力学性质

    指标名称 天然密度/(g·cm-3) 干密度/(g·cm-3) 单轴抗压强度/MPa 膨胀力/kPa 阳离子交换量/(cmol·kg-1) 天然含水率/% 蒙脱石含量/% 自由膨胀率/%
    平均值 2.50 2.41 16.70 119.08 15.70 4.03 4.59 6.74
    下载: 导出CSV

    表 2  矿物成分及含量 %

    编号 石英 钾长石 斜长石 方解石 白云石 赤铁矿 菱铁矿 云母 伊利石 高岭石 绿泥石 伊/蒙混层
    S1 37.8 2.3 9.9 16.8 1.9 1.2 1.1 2.9 6.0 1.0 1.6 17.5
    S2 41.4 2.2 15.0 11.2 3.5 1.0 1.0 2.4 4.5 0.9 1.5 15.4
    S3 48.0 4.9 24.1 1.2 - 1.5 1.0 1.0 4.6 0.9 0.9 11.9
    S4 50.1 3.3 20.6 5.0 1.7 1.8 1.1 1.9 5.2 1.0 1.0 7.3
    S5 40.0 4.7 18.2 2.9 - 2.1 - 1.6 7.5 2.4 3.1 17.5
    S6 44.6 4.5 25.9 - - 1.1 - 1.1 5.8 1.2 1.2 14.6
    注:“-”表示该数值低于XRD检测限,小于0.1%。
    下载: 导出CSV

    表 3  化学主元素成分及含量 %

    编号 SiO2 Al2O3 Fe2O3 CaO K2O MgO Na2O TiO2 P2O5 BaO Cr2O3
    S1 50.24 15.68 6.50 7.80 3.35 3.68 0.98 0.68 0.15 0.07 0.02
    S2 54.03 14.12 5.81 7.40 2.85 3.16 1.60 0.67 0.14 0.09 0.01
    S3 62.13 16.32 6.68 1.56 2.90 2.56 1.85 0.75 0.16 0.08 0.01
    S4 61.08 16.72 7.40 0.91 3.01 3.31 1.53 0.84 0.16 0.07 0.02
    S5 56.81 15.13 7.02 4.87 3.19 2.73 1.70 0.61 0.14 0.04 0.01
    S6 64.18 15.93 6.06 1.17 3.15 2.63 2.12 0.65 0.15 0.05 0.01
    下载: 导出CSV

    表 4  岩样C(di)与di的对应关系表

    di C(di)
    S1 S2 S3 S4 S5 S6
    1 31 20 23 32 38 44
    5 82 82 77 75 95 69
    10 97 91 83 79 103 81
    15 108 97 90 80 108 93
    20 113 98 94 80 111 96
    25 116 101 100 82 113 97
    30 117 101 105 83 113 98
    60 117 101 106 84 113 98
    下载: 导出CSV
  • [1] BILIR M E, SARI Y D, ÖZARSLAN A, et al. Determination of the Relationship between Uniaxial and Triaxial Swelling Equations for Clay Bearing Rocks[J]. Bulletin of Engineering Geology and the Environment, 2013, 72(3-4): 565-577. doi: 10.1007/s10064-013-0523-2
    [2] ZHONG Z B, ZHOU Q J, LYU L, et al. Time-Dependent Swell-Shrink Behavior of Red-Bed Mudstone under Cyclic Wetting and Drying[J]. Bulletin of Engineering Geology and the Environment, 2023, 82(12): 470. doi: 10.1007/s10064-023-03496-7
    [3] 廖进, 兰春晖, 吴勇桃, 等. 红层软岩软化的微-细-宏观界面关联过程与跨尺度级联效应[J]. 岩石力学与工程学报, 2024, 43(5): 1241-1254.
    [4] 钟志彬, 李安洪, 邓荣贵, 等. 川中红层泥岩时效膨胀变形特性试验研究[J]. 岩石力学与工程学报, 2019, 38(1): 76-86.
    [5] 周翠英, 廖进, 刘镇. 红层判识及其科学研究意义: 从岩表特征模糊区分到地质基因定量判定[J]. 地球科学, 2024, 49(11): 4249-4264.
    [6] 马丽娜, 严松宏, 王起才, 等. 客运专线无碴轨道泥岩地基原位浸水膨胀变形试验[J]. 岩石力学与工程学报, 2015, 34(8): 1684-1691.
    [7] VERGARA M R, BALTHASAR K, TRIANTAFYLLIDIS T. Comparison of Experimental Results in a Testing Device for Swelling Rocks[J]. International Journal of Rock Mechanics and Mining Sciences, 2014, 66: 177-180. doi: 10.1016/j.ijrmms.2013.12.018
    [8] 李佳敏, 马丽娜, 张戎令, 等. 含水率及干密度对高铁泥岩地基土无荷膨胀率的影响[J]. 水资源与水工程学报, 2019, 30(6): 230-234.
    [9] 马丽娜, 严松宏, 王起才, 等. 哈密地区膨胀性泥岩膨胀特性研究[J]. 兰州交通大学学报, 2015, 34(1): 17-22.
    [10] 王冲, 王起才, 张戎令, 等. 基于主成份分析法的高速铁路膨胀土判别研究[J]. 铁道科学与工程学报, 2017, 14(8): 1571-1578.
    [11] 王冲, 王起才, 张戎令, 等. 低黏土矿物含量泥岩有荷膨胀试验研究[J]. 长江科学院院报, 2017, 34(11): 107-111.
    [12] 胡鹏飞, 骆行文, 卢正, 等. 不同初始含水率砂质泥岩膨胀特性试验研究[J]. 公路, 2020, 65(7): 256-261.
    [13] 唐迎春, 黄钟晖, 张凯, 等. 南宁第三系浅表层风化泥岩物理力学及膨胀特性指标分析[J]. 工程地质学报, 2014, 22(1): 144-151.
    [14] 薛彦瑾, 王起才, 马丽娜, 等. 高速铁路无砟轨道地基泥岩膨胀性分类分级研究[J]. 岩土力学, 2020, 41(9): 3109-3118.
    [15] 刁心宏, 杨守兴, 冒小波. 不同温湿环境下泥岩吸水及膨胀特性的试验研究[J]. 华东交通大学学报, 2017, 34(3): 14-18.
    [16] 汪海涛. 膨胀岩的膨胀特性与工程治理研究[J]. 资源环境与工程, 2011, 25(5): 503-506.
    [17] 张宗堂, 高文华, 黄建平, 等. 干湿循环作用下红砂岩侧限膨胀率时程模型[J]. 铁道科学与工程学报, 2019, 16(7): 1673-1680.
    [18] DOOSTMOHAMMADI R, MOOSAVI M, MUTSCHLER T, et al. Influence of Cyclic Wetting and Drying on Swelling Behaviour of Mudstone in South West of Iran[J]. Environmental Geology, 2009, 58(5): 999-1009. doi: 10.1007/s00254-008-1579-3
    [19] 周翠英, 梁宁, 刘镇. 红层软岩遇水作用的孔隙结构多重分形特征[J]. 工程地质学报, 2020, 28(1): 1-9.
    [20] 郭永春, 谢强, 文江泉. 红层软岩结构特征与工程评价初探[J]. 水文地质工程地质, 2010, 37(6): 86-90.
    [21] AVSAR E, ULUSAY R, SONMEZ H. Assessments of Swelling Anisotropy of Ankara Clay[J]. Engineering Geology, 2009, 105(1-2): 24-31. doi: 10.1016/j.enggeo.2008.12.012
    [22] MANCA D, FERRARI A, LALOUI L. Fabric Evolution and the Related Swelling Behaviour of a Sand/Bentonite Mixture upon Hydro-Chemo-Mechanical Loadings[J]. Géotechnique, 2015, 66(1): 41-57.
    [23] SRIDHARAN A, RAO A S, SIVAPULLAIAH P V. Swelling Pressure of Clays[J]. Geotechnical Testing Journal, 1986, 9(1): 24-33. doi: 10.1520/GTJ10608J
    [24] 李洋, 余飞, 陈善雄, 等. 川中红层不均匀膨胀特性及对路基上拱影响机制[J]. 铁道标准设计, 2026, 70(1): 54-62.
    [25] 张善凯, 冷先伦, 盛谦. 卢氏膨胀岩湿胀软化特性研究[J]. 岩土力学, 2020, 41(2): 561-570.
    [26] 邱恩喜, 陈秋玲, 孙希望, 等. 西南红层泥岩填料膨胀变形宏-微观响应机制[J]. 长江科学院院报, 2023, 40(11): 131-139.
    [27] GUAN H, REN Y, LING S X, et al. Microstructure and Water-Swelling Mechanism of Red-Bed Mudstone in the Xining Region, Northeastern Tibetan Plateau[J]. Journal of Rock Mechanics and Geotechnical Engineering, 2024, 16(7): 2537-2551. doi: 10.1016/j.jrmge.2023.11.031
    [28] 季明, 高峰, 高亚楠, 等. 灰质泥岩遇水膨胀的时间效应研究[J]. 中国矿业大学学报, 2010, 39(4): 511-515.
    [29] 左清军, 吴立, 袁青, 等. 软板岩膨胀特性试验及微观机制分析[J]. 岩土力学, 2014, 35(4): 986-990, 997.
    [30] ZHANG G D, LING S X, WU X Y, et al. Evolution of Dilation with Time Based on the Molecular Microkinetics of Red-Bed Argillaceous Sandstone in Hubei Province, China[J]. Engineering Geology, 2024, 330: 107430. doi: 10.1016/j.enggeo.2024.107430
    [31] 谭罗荣, 孔令伟. 特殊岩土工程土质学[M]. 北京: 科学出版社, 2006.
    [32] 闵凡飞, 任豹, 陈军, 等. 基于水化膜弱化促进煤泥脱水机理及试验研究[J]. 煤炭学报, 2020, 45(1): 368-376.
    [33] KHORSHIDI M, LU N, KHORSHIDI A. Intrinsic Relationship between Matric Potential and Cation Hydration[J]. Vadose Zone Journal, 2016, 15(11): 1-12.
    [34] YE W M, ZHU C M, CHEN Y G, et al. Influence of Salt Solutions on the Swelling Behavior of the Compacted GMZ01 Bentonite[J]. Environmental Earth Sciences, 2015, 74(1): 793-802. doi: 10.1007/s12665-015-4108-1
    [35] 高国瑞. 中国红土的微结构和工程性质[J]. 岩土工程学报, 1985, 7(5): 10-21.
    [36] 范秋雁, 梁昕, 韩进仕. 非饱和膨胀岩饱和度及胀缩特性试验研究[J]. 岩石力学与工程学报, 2020, 39(1): 45-56.
    [37] 邹维列, 叶云雪, 韩仲. 基于化学反应动力学方程的一维膨胀时程模型[J]. 岩土工程学报, 2020, 42(4): 737-744.
  • 加载中
图( 11) 表( 4)
计量
  • 文章访问数:  135
  • HTML全文浏览数:  135
  • PDF下载数:  17
  • 施引文献:  0
出版历程
  • 收稿日期:  2025-03-06
  • 刊出日期:  2026-03-20

川中红层泥岩水化膨胀特性及微观影响机制的试验研究

    通信作者: 张国栋,博士; 
    作者简介: 高芳芳,硕士,副教授,主要从事岩土工程及地质灾害研究
  • 1. 成都锦城学院 土木与建筑工程学院,四川 成都 611731
  • 2. 华北水利水电大学 地球科学与工程学院,河南 郑州 450046
  • 3. 西南交通大学 地球科学与工程学院,四川 成都 611757
  • 4. 甘肃铁道综合工程勘察院有限公司,甘肃 兰州 730015
  • 5. 西华大学 应急管理学院,四川 成都 610039
  • 6. 中铁二院工程集团有限责任公司,四川 成都 610031
基金项目:  国家自然科学基金项目(42502284);西藏自治区重点研发计划项目(XZ202401ZY0097);四川省科技计划项目(2024YFHZ0154)

摘要: 

为研究红层泥岩水化膨胀特性及微观影响机制,以四川盆地中部侏罗系红层泥岩为研究对象,开展了南充遂宁组、南充沙溪庙组、内江沙溪庙组红层泥岩的矿物成分分析、微观结构测试以及不同条件下的膨胀试验,揭示了红层泥岩膨胀的微观机制,探讨了矿物含量及微观结构与红层泥岩膨胀的相关性。试验结果表明:研究区红层泥岩黏土矿物平均含量为22.4%,微观单元体连结特征主要为面-面接触和边-面接触。红层泥岩为弱膨胀性软岩,泥岩膨胀变形随吸水时间呈三段式发展,即快速增长阶段、缓慢增长阶段和趋于平稳阶段。红层泥岩膨胀性与黏土矿物含量呈正相关,南充遂宁组孔隙分形维数值最高(0.382),内江沙溪庙组孔隙分形维数值最低(0.213)。最后,从颗粒基质吸力、水化膜增厚及黏土矿物膨胀联合作用的角度揭示了初始含水率影响红层泥岩膨胀的内在机制。

English Abstract

  • 开放科学(资源服务)标识码(OSID):

  • 红层泥岩膨胀是路基工程、边坡工程和隧道工程中最复杂的问题之一[1]。红层泥岩工程性质较差、强度较低、微裂隙发育较早,含有的典型膨胀性黏土矿物遇水易发生膨胀、崩解劣化等现象[2-5]。近年来红层灾变现象频发,严重影响国家重大工程建设,因此亟需对其宏观膨胀特性及微观膨胀机制进行深入探究[6]

    研究表明,泥岩膨胀影响因素主要包括微观结构、黏土矿物、孔隙率、含水率及应力状态等[7]。李佳敏等[8]、马丽娜等[6, 9]、王冲等[10-11]对红层泥岩进行膨胀试验研究,发现初始含水率及上覆荷载对其膨胀极值具有显著影响,认为当上覆荷载小于泥岩膨胀力时即发生膨胀变形,且在侧向约束情况下红层泥岩主要发生竖向膨胀变形。胡鹏飞等[12]通过开展不同初始含水率下的泥岩膨胀试验,认为泥岩膨胀随初始含水率的升高而降低。唐迎春等[13]对南宁第三系泥岩进行了膨胀特性研究,表明岩石膨胀主要与黏土矿物成分及含量相关。薛彦瑾等[14]以红层泥岩为研究对象,选取了蒙脱石含量、阳离子交换量、自由膨胀率等作为泥岩膨胀判别指标,提出了红层泥岩膨胀等级的分级标准。刁心宏等[15]通过泥岩吸水特性试验揭示了外界温度对岩石膨胀特性的影响机制,温度越高岩石膨胀时间越长,最终膨胀稳定值也越大。汪海涛[16]对新疆第三系泥岩进行研究,表明泥岩膨胀与黏土矿物含量有直接关系,且岩石含水率是决定其膨胀潜势的重要因素之一。张宗堂等[17]、Doostmohammadi等[18]通过不同干湿循环次数和不同干燥温度下的泥岩膨胀试验建立了膨胀时程模型,揭示了外界温度及循环次数对泥岩膨胀的影响机制。周翠英等[19]证明了红层泥岩软化受到黏土矿物吸水膨胀及微观水岩力学作用的综合影响。郭永春等[20]对红层泥岩的微观结构进行研究,表明黏土矿物絮凝结构、架空结构、定向结构等是其微观结构稳定性的控制因素。Avsar等[21]、Manca等[22]和Sridharan等[23]认为泥岩遇水后,水分子进入颗粒内部后新生裂隙的迁移与扩展最终导致其宏观结构的破坏。李洋等[24]通过对泥岩微观结构的定性分析,总结了各类泥岩的单元体结构特征、颗粒特征、孔隙结构特征等微观形态与宏观力学特性的关系。张善凯等[25]认为泥岩含水率的增加导致了其物理力学性质的破坏,遇水后微裂隙持续衍生与扩展所导致的宏观变形是红层泥岩软化的根本原因。

    综上,目前国内外学者对红层泥岩的研究多针对其宏观膨胀特性展开,对其矿物成分、微观结构与宏观性质的相关性研究仍需进一步探索。本文以四川盆地中部侏罗系红层泥岩为研究对象,分析红层泥岩的矿物岩石特征、黏土矿物含量、微观单元体特征及微观孔隙特征,结合不同含水率下泥岩膨胀特性试验探讨其宏观力学特征,揭示微观结构及初始含水率对宏观性质的影响机制,确定影响川中红层泥岩工程性质的主要因素,以期为相关工程建设提供参考。

  • 红层泥岩样品取自四川盆地中部侏罗系地层,分别为南充遂宁组(S1、S2)、南充沙溪庙组(S3、S4)和内江沙溪庙组(S5、S6)。通过室内土工试验,得到该红层泥岩基本物理力学性质,如表 1所示,其中,取轴向膨胀率为自由膨胀率。由《工程岩体分级标准》(GB/T 50218—2014)可知,该红层泥岩含水率较高、密度较小、单轴抗压强度较低,属典型的软岩。

    X射线衍射分析(XRD)和荧光光谱分析(XRF)分别用于测定研究区红层泥岩的矿物成分和化学主元素成分,测定结果如表 2表 3所示。红层泥岩矿物成分主要包括石英、长石、方解石、白云石、赤铁矿、菱铁矿、云母及黏土矿物,其中石英和长石的含量较高。黏土矿物主要包括伊利石、高岭石、绿泥石及伊/蒙混层,伊/蒙混层在黏土矿物中含量最高,其中伊利石(含伊/蒙混层中的伊利石)与伊/蒙混层之比为41.0%~54.0%。总的来看,研究区泥岩膨胀性黏土矿物含量较低,黏土矿物含量占比为14.5%~30.5%。在泥岩化学主元素中,SiO2、Al2O3、Fe2O3含量较高,占比为72.42%~86.17%,其中SiO2含量为50.24%~64.18%。

  • 为探究红层泥岩膨胀特性与微观结构的相关性,本文进行了如下3种试验:红层泥岩膨胀试验、红层泥岩饱和吸水率试验、红层泥岩微观结构观测试验。

  • 红层泥岩膨胀试验分别为自由膨胀率、侧向约束膨胀率、不同初始含水率的膨胀率与膨胀力试验,其量化指标分别为自由膨胀率、侧向约束膨胀率以及膨胀力。

    每组试验选取保存完整的圆柱体岩芯3块,直径和高度均为50 mm。加工后的样品需要使用游标卡尺多次测量岩样的直径和高度并取平均值,测量尺寸后将样品置于恒温105 ℃的烘箱,烘干24 h后取出放于密闭玻璃缸中静置至室温。将样品放入膨胀率试验仪内,在试件上部和仪器的四侧直角对称中心部位分别安装千分表,样品上下各放置1块透水板,千分表测杆浸水部分涂凡士林以避免损坏仪器并保证测量结果的准确性。加水前记录千分表读数,千分表读数需精确至0.001 mm。在试验开始前,每隔10 min记录1次读数,直到连续3次读数保持不变。随后向容器内加入去离子水,直至透水板被完全淹没。试验开始前的1 h内,每隔10 min记录1次读数,之后每隔1 h记录1次读数,保证连续3 h内每小时的变形不超过0.001 mm。整个浸水后的试验过程应在规定时间内完成,浸水后的试验时间不得少于48 h。

    此外,为探究岩石初始含水率对红层泥岩膨胀性的影响,分别制备了初始含水率为0%(烘干样品)、3%、4.03%(天然状态)和6%的岩样。使用滴管及有刻度的量筒按计算所需加水量为样品缓慢滴水,待其充分吸入水分,滴入完成后立即使用保鲜膜包裹岩样静置24~48 h。

    膨胀力试验采用平衡法,所用仪器为YYP-40型岩石膨胀压力试验仪。每组试验选取保存完整的圆柱体岩心3块,尺寸要求为直径50 mm、高度20 mm。将制备完成的样品放入岩石膨胀压力试验仪内,在样品上部固定千分表,样品上下各放置1块透水板,千分表测杆浸水部分涂抹凡士林以避免损坏仪器并保证测量结果的准确性,随后缓慢加水进行试验并记录数据。

  • 岩石饱和吸水率采用真空抽气法测定,试样为直径50 mm、高度100 mm的标准圆柱体,同一含水状态的试验,每组试件不少于3个。采用真空抽气法进行饱和试验时,饱和容器内的水面应高于试件顶面20 mm以上,抽气时真空压力宜保持在100 kPa,抽气时间不少于4 h,直至无气泡逸出为止。经真空抽气的试件放入原容器中,在大气压力下静置4 h后,用拧干的湿毛巾拭去表面水分并称重。在试验过程中详细观察并描述试件的崩解、掉块、变色、裂缝等表面泥化或软化现象。

  • 采用扫描电子显微镜(SEM)来测定红层泥岩的微观结构特征。SEM图像分析是当前研究岩土体微观结构特征常用的有效方法,包括对基本单元体的定性分析以及对孔隙特征的定量分析。SEM采用逐点成像的方法将试样的表面特征转化为图像特征,样品采用冷冻干燥法进行完全干燥处理,每组选取约5 cm高的岩芯分别制作2个边长为1 cm的正方体试样,使用导电胶包裹样品局部表面并粘在铜板上,且暴露出需要观察的具有典型代表性的新鲜岩面作为分析面。保持暴露面水平放置,利用吸耳球吹掉表面碎屑颗粒以保持清洁。随后,每组样品进行2~3次时长为20 s的镀金工序以保证样品的良好导电性,并放入扫描电子显微镜观测台观察其微观结构特征。观测过程中对每组样品随机选取3处取样点位,采用Image-Pro-Plus(IPP)软件对选取的典型位置图像进行微观结构定性分析,定性分析指标分别为微观单元体排列特征与连结特征;同时对3处点位的参数平均值进行定量分析,定量分析指标分别为微孔隙孔径及数量。

  • 红层泥岩自由膨胀率与时间的关系如图 1所示,岩样S1-S6的稳定膨胀率分别为4.95%、3.22%、1.90%、1.25%、6.74%、3.60%。内江沙溪庙组岩样(S5、S6)的自由膨胀率整体大于南充遂宁组岩样(S1、S2)及南充沙溪庙组岩样(S3、S4),其中南充沙溪庙组岩样的膨胀性最弱,最终膨胀关系为S5>S1>S6>S2>S3>S4。岩石膨胀是亲水性黏土矿物吸水膨胀的宏观表现,从岩样矿物成分及含量来看,S5和S1的伊/蒙混层含量最高,S3和S4的黏土矿物含量最低,黏土矿物含量的差异解释了岩样膨胀性差异的原因,这与邱恩喜等[26]和Guan等[27]的研究结果一致。

    以S1为例,观察整个试验过程。试验开始时,岩样完整且表面无裂缝、无岩屑岩块掉落现象,加水后几分钟内即有表面岩屑颗粒物掉落,但岩样整体完整无崩解软化现象。试验开始30 min后,水进入岩石微裂隙的同时伴随岩样表面岩屑掉落,由于岩样烘干后内部孔隙存在大量空气,水分急速渗入裂隙孔隙通道。黏土颗粒膨胀变形在此时间段内急剧增大,增长速率可以用曲线斜率表示。试验开始1 h后,膨胀变形仍然快速增长但速率变缓。试验开始2 h后,岩样膨胀变形速率从快速增长发展为缓慢增长,曲线斜率从前期的直线形变为斜线形,这一阶段持续至试验11 h时。最后,岩石在充分吸水条件下,在某一时间点膨胀达到最终应变值,此后岩石将不再产生膨胀变形,膨胀曲线的斜率几乎为零[28]。岩样S1-S6进入膨胀稳定阶段的时间分别为27 h、46 h、35 h、42 h、30 h、24 h。研究区红层泥岩膨胀变形特征体现在膨胀速率上,从试验结果可以看出膨胀速率由快到慢,呈现出从快速增长阶段到缓慢增长阶段再到趋于平稳阶段的三段式指数型膨胀规律[28-29]

    红层泥岩侧向约束膨胀率与时间的关系如图 2所示,岩样S1-S6的稳定侧向约束膨胀率分别为4.62%、5.60%、2.46%、1.33%、7.83%、6.51%。内江沙溪庙组岩样的侧向约束膨胀率整体大于南充遂宁组岩样及南充沙溪庙组岩样,其中南充沙溪庙组岩样的膨胀性最弱,即S5>S6>S2>S1>S3>S4。整体而言,侧向约束膨胀率试验结果基本呈指数型增长规律,与自由膨胀率趋势相同。

  • 红层泥岩膨胀力与时间的关系如图 3所示,红层泥岩膨胀力平均值为119.08 kPa,岩样S1-S6膨胀稳定后的岩石膨胀力分别为129.29 kPa、111.11 kPa、85.63 kPa、78.35 kPa、153.69 kPa、146.40 kPa。与膨胀率试验结果相同,内江沙溪庙组岩样的膨胀力大于南充遂宁组及南充沙溪庙组,稳定状态下膨胀力关系为S5>S6>S1>S2>S3>S4。膨胀力试验结果从指数型增长发展至增长稳定,整个膨胀过程均呈三段式膨胀阶段,岩样S1-S6进入岩石膨胀压力稳定的时间分别为17 h、10 h、16 h、30 h、33 h、47 h。但S5和S6在缓慢膨胀阶段发生明显跃升现象,且这2组岩样达到膨胀稳定的时间较长。

  • 通过真空饱和吸水法得到红层泥岩的饱和吸水率,岩样S1-S6的饱和吸水率分别为6.53%、5.62%、5.93%、6.08%、7.60%、9.95%。由饱和吸水结果可知,内江沙溪庙组岩样的饱和吸水率大于南充遂宁组及南充沙溪庙组。岩石的吸水率大小与岩石的成分、结构、孔隙以及测定方法有关,S1和S5的泥质含量高,黏土矿物成分含量分别为26.1%和30.5%,故其饱和吸水率较其他组岩样也相对较高。另外,饱和吸水率的大小对岩样膨胀变形特征有较大影响,结合内江沙溪庙组岩样的膨胀性大于南充遂宁组岩样和南充沙溪庙组岩样,而在本节中得到的饱和吸水率结果同样具有该趋势,符合岩石膨胀性随饱和吸水率增大而增大的规律[30]

  • 通过电镜扫描得到的SEM图像用来分析红层泥岩的微观结构特性。总的来看,黏土矿物颗粒通常以单独或聚集体的形式出现,主要分为片状(扁平状)颗粒单元、粒状颗粒单元和单粒体。片状颗粒单元包括平片状颗粒单元和卷曲片状颗粒单元,平片状单元体一般是由多个单位晶层所构成的晶片单元和由多个单元晶片颗粒通过面-面接触的方式叠聚而成,这种单元一般是平直的,而卷曲状的片状单元体则是由一般呈现出弯曲状的黏土矿物(如蒙脱石、伊利石、高岭石等)通过面-面接触的方式叠聚而成。扁平状颗粒单元一般是由多个黏土矿物晶片单元和由多个单元叠片颗粒通过边-面、边-边接触的方式叠聚而成,其中组成单元体的单个晶片单元也可以是石英等非黏土矿物。粒状颗粒单元形状不规则,通常是由片状、扁平状单元体通过不同的接触连结方式形成的,有叠聚体、聚集体和复合体。单粒体大多数是由石英、长石等非黏土矿物破碎后形成的单元体,形状不规则,有多边形状的粒状、球状及扁平状。

    研究区红层泥岩放大5 000倍的SEM图像如图 4所示,从图中可以看出川中红层泥岩的基本单元体包含了粒状聚集体、片状(扁平状)聚集体及单粒体。岩样S1、S2单元体的连结特征以面-面和边-面接触方式为主,面-面接触方式通常将片状的颗粒重新连结成更大更厚的聚集体,这是由于黏土矿物颗粒表面和侧边带有不同电荷,在库仑力的相互作用下形成的接触方式。资料显示伊利石、蒙脱石颗粒的分子连结强度大于高岭石等矿物颗粒[31],而S1的伊利石含量及伊/蒙混层均大于S2,因此尽管S1和S2的岩石来自同一地层,却由于深度的不同导致S1的膨胀性稍大于S2。岩样S3、S4单元体之间的接触连结方式以边-面接触居多,面-面接触和点-面接触并存。此外,单元体间可见颗粒的直接接触,这种接触方式常存在于砂粒、粉粒间,一般来说黏粒含量较小,砂质含量较高,故这2组岩石的膨胀性较弱。岩样S5、S6的基本单元体为颗粒聚集体和单粒体,单元体间的连结方式以间接接触为主,颗粒间存在胶结物质的连结单元。结合矿物成分结果,S5和S6组岩石的黏土矿物含量最高,这2组的颗粒单元连结力也较强,连结方式影响着颗粒间的排列方式,故单元体排列较紧密,岩石遇水后膨胀潜势会更大,膨胀性也会更强。

    在排列特征上,S1和S2组岩石中以片状单元体居多且大量面-面叠聚体形状不一,故这种岩石单元体颗粒间通常以斜向、条状、无向等分散形式排列。S3和S4组岩石黏粒含量少,颗粒间一般会以非定向的紊乱状排列结构形式存在。S5和S6组岩石单元体以粒状堆叠结构为主,其中还含有粒状架空结构,其单元体间的堆叠可形成较密实的结构。

  • 针对红层泥岩微观孔隙结构特征,采用IPP软件进行二值化处理和定量分析,如图 5所示。按孔隙直径大小对岩石微观孔隙进行划分,将孔隙分为巨大孔(4 mm,256 mm]、中孔(62.5 μm,4 mm]、微孔(1 μm,62.5 μm]、纳米孔(1 nm,1 μm]和兆孔(0 nm,1 nm]。本文选取同样大小及同样放大倍数的SEM图像区域在IPP软件中进行孔隙参数特征分析,岩样S1-S6的孔隙直径与孔隙数目的关系如图 6所示。各组岩样均以微孔、纳米孔为主,微孔隙在孔隙数量中占比为25%~60%;中孔和大孔隙极少,孔隙数目随孔隙直径的增大而减少。内江沙溪庙组和南充遂宁组的小孔隙数目较多,中大孔隙较少,而南充沙溪庙组的小孔隙数量占比较少,伴随少量中大孔隙。其中,S1、S2组岩样以微孔隙为主,其次为纳米孔,平均孔隙直径为2.74 μm;S3、S4组岩样以微孔隙为主,总孔隙数目较少且分布有中大孔隙,平均孔隙直径为3.87 μm;S5、S6组岩样以小孔隙为主,孔隙数目与南充遂宁组相差不大,其中数量较多的是纳米孔隙,纳米孔占44.9%~50.4%。造成这种差异的原因在于岩样单元体结构的类型、排列形式和连结特征的差异,结合单元体分析可知,S5、S6组岩样单元体以粒状堆叠结构为主,粒状堆叠结构的岩样单元体结构较密实,排列也较紧密,故岩样微观结构中微结构孔隙的分布较少,孔隙直径也较小,这一类岩石遇水后矿物体积增大,矿物晶格间孔隙变大的潜势也较大。

  • S1-S6组岩样的黏土矿物含量与膨胀性指标的拟合关系如图 7所示。结果表明,黏土矿物总量与岩石膨胀性拟合程度较好,其中黏土矿物总量与自由膨胀率曲线拟合程度最高,拟合系数R2为0.971,与侧向约束膨胀率和膨胀力的拟合系数分别为0.786和0.761。整体而言,黏土矿物成分及含量与研究区内侏罗系红层泥岩膨胀性呈显著正相关。基于双电层理论,伊利石、蒙脱石、高岭石等强亲水性矿物遇水后形成水化膜,水化膜厚度与黏土矿物性质、溶液浓度等密切相关[32-33]。此外,岩石膨胀受扩散层厚度控制,黏土矿物颗粒尺寸的增加导致岩体显著膨胀[34]。水化膜在岩石颗粒间产生楔入效应,因此岩石体积随着时间的推移逐步增大。

  • 岩石微观结构中的单元体排列和连结特征与宏观力学性质密切相关。红层泥岩中,以粒状颗粒单元为主的单元体结构越密实,其膨胀潜势越大。以片状颗粒聚集体单元为主的蒙脱石等黏土矿物含量较高,其膨胀潜势也相对较大。矿物的叠聚体或黏土矿物包裹着非黏土矿物而成的复合体均存在以粒状颗粒单元为主的单元体结构,形状不规则且多为粒状堆叠结构,结构较密实,多见于以高岭石矿物为主的岩石中,膨胀潜势较大[35]。除一般的粒状堆叠体外还存在粒状架空结构,图 8为岩石颗粒单元体和粒状聚集体结构示意图,其中聚集体间架空孔隙较大。

    基本单元体中,卷曲片状叠聚体单元和平片状叠聚体单元展现出最强的膨胀性,而外包颗粒单元和碎屑颗粒单元的膨胀性相对较弱。在连结特征方面,面-面接触和面-边接触的膨胀性大于边-边接触和点-点接触。卷曲片和平片状叠聚体单元表面形成水化膜后,膜厚的增加会导致片状叠聚体之间的间距扩大,排列更为紧密。因此,当岩样浸水后,它们易于向外膨胀,表现出较强的膨胀性。相比之下,外包颗粒单元和碎屑颗粒单元在空间分布上类似于孤点,其膨胀联动性较差,具有更高的稳定性,使得水分难以进入其内部,从而表现出较弱的膨胀性。对于面-面接触的叠聚体单元,其连结主要依靠库伦静电和离子等。根据双电层理论,随着浸水时间的延长,扩散双电子层的厚度逐渐增加,导致粒子间斥力增大。这种斥力的增大会进一步促进叠聚体单元的膨胀,甚至引发岩石的宏观膨胀。

  • 天然岩石内部存在的大量原始孔隙对岩石性质也有较大影响,这些孔隙包括矿物层间孔隙、颗粒间孔隙、颗粒聚集体间孔隙、颗粒架空孔隙等。岩石遇水后产生新生裂隙,无论是原生或再生裂隙都可为水分子的进入提供迁移通道,丰富的水分使裂隙发展贯通,造成岩石内部微观结构破坏和宏观变形。孔隙结构特征指岩土体内部孔隙的大小、形状、数目等特征,其对岩体宏观性质产生不同影响。分形维数理论主要用来解释自相似性问题,其中关联分维数法一般采用分形维数D进行描述,如式(1)所示:

    式中:di为某级孔径;N(di)为基于该孔径下的标度值。

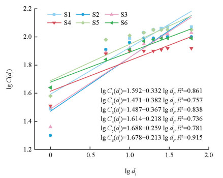
    基于前文得出的孔隙直径、数量,采用孔隙数量分维数来分析孔隙特征与膨胀特性的关系。设C(di)为小于该级孔径di的孔隙数量,结合孔隙参数对不同di范围内的C(di)进行相关统计分析,如表 4所示。

    对岩样的C(di)与di进行双对数曲线线性拟合,如图 9所示,其斜率值即为分形维数。图 9表明各组岩样的C(di)与di拟合相关性系数较高,拟合程度较好。其中,岩样S6的拟合程度最高,相关性系数R2=0.915。就整体拟合情况而言,内江沙溪庙组岩样的C(di)与di拟合程度大于南充遂宁组与南充沙溪庙组,得到S1-S6各组岩样基于数量分形的分形维数值分别为0.332、0.382、0.367、0.218、0.259、0.213。南充遂宁组的孔隙数量分形较高,说明岩样的孔隙特征较复杂,孔隙结构不均匀。由前文分析可知,该岩样单元体结构以片状叠聚体为主,单元体间多以面-面接触和点-面接触连结,因此易形成各种大小不一、形状不规则、孔隙壁面粗糙的孔隙结构特征。以内江沙溪庙组膨胀性最高的S5和S6组泥岩为例,对应本节中这2组泥岩的孔隙分形维数相对最小,分形维数值越低其孔隙分布则越均匀,孔隙结构也更加规则,增大了水分沿孔隙通道进入岩石内部的概率,从而增大了水-岩(黏土矿物)接触面积及膨胀趋势。以上分析从侧面印证了微观孔隙分形维数与整体膨胀趋势的相关性。

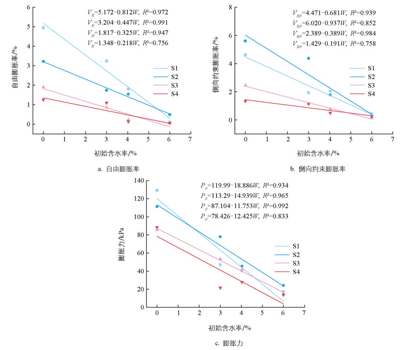
  • 不同初始含水率下膨胀性指标与时间关系如图 10所示,为减小误差,试验结果均取各组样品(S1-S4)的膨胀均值。在0%、3%、4.03%、6%的初始含水率下,自由膨胀率分别为2.83%、0.93%、0.86%、0.18%,侧向约束膨胀率分别为3.5%、1.97%、1.55%、0.24%,膨胀力分别为103.59 kPa、53.52 kPa、37.95 kPa、17.41 kPa,红层泥岩膨胀性随含水率的增大而降低。初始含水率与岩石膨胀性的相关性分析如图 11所示,拟合系数在0.756~0.992之间,表明岩石的膨胀性随着初始含水率的增大呈现线性减小的趋势。烘干样(含水率为0%)下的岩样膨胀性最强,而越接近饱和含水率的岩样几乎无膨胀性,与范秋雁等[36]和邹维列等[37]的研究结果一致。岩石的膨胀特性在宏观上的表现通常与微观特征相互作用,相互影响,由于宏观上的含水量不同造成了岩石内部微观结构上的水分子迁移,最终导致其体积变化而产生膨胀。

    岩石初始含水率较小甚至为零时,岩石内部含有固体土颗粒及孔隙,此时无论是矿物颗粒晶层间的孔隙还是粒间孔隙都处于畅通状态,且孔隙数量多,水分子较少,颗粒间无水膜形成,这时候岩石内部土体基质表现出较大的吸力。岩石遇水后水分子立即进入孔隙并在孔隙中快速迁移,孔隙在颗粒间连结力变大的情况下开始扩展。含水率越小颗粒的基质吸力越强,也更容易吸水,导致了颗粒间出现厚层结合水膜并将岩石内部土颗粒撑开。当岩石初始含水率较高时,此时岩石在初始状态下内部土颗粒已经含有固液气三相体,尤其是原有的土颗粒孔隙中已有水分子进入各个孔隙中,部分孔隙呈封闭状态,因此部分水分只发生扩散而不会造成孔隙增大。随着含水率增大,岩石内部颗粒的基质吸力减弱,水分很难进入岩石试样,黏土矿物遇水膨胀的速率也随之变慢,最终表现出宏观膨胀性的减弱。而当岩石初始含水率增大到一定值时,此时岩石内部结构处于饱和状态,颗粒层间孔隙及颗粒间的粒间孔隙在初始状态已发生了较大的体积变化,内部颗粒间也已产生结合水水化膜并对新进入岩体内部的水分产生阻力,这种阻力与岩石内部吸力达到平衡,最终导致岩石膨胀变形快速进入稳定阶段,试样吸水后无明显膨胀行为。

  • 本文以川中红层泥岩为研究对象,通过开展自由膨胀率与侧向约束膨胀率试验、膨胀力试验、饱和吸水率试验及微观扫描电镜试验,研究了南充遂宁组、南充沙溪庙组、内江沙溪庙组红层泥岩膨胀的微观机制,得出结论如下:

    1) 红层泥岩黏土矿物含量为14.5%~30.5%,南充遂宁组和内江沙溪庙组岩样的黏土矿物含量较高,南充沙溪庙组含量最少。黏土矿物主要包括伊利石、高岭石、绿泥石以及伊/蒙混层,其中伊/蒙混层含量最高,高岭石和绿泥石含量较低。

    2) 红层泥岩微结构单元体主要包括片状(扁平状)颗粒单元、粒状颗粒单元和单粒体。单元体连结特征以面-面接触、边-面接触、间接接触和胶结接触为主,微孔隙包括粒内孔隙、粒间孔隙、粒间架空孔隙。岩样以微孔、纳米孔为主,中孔和大孔隙较少。红层泥岩黏土矿物含量与膨胀性呈正相关,且粒状颗粒单元越密实,其膨胀性越大。

    3) 红层泥岩膨胀性随初始含水率的增大而降低,随着含水率的增大岩石内部颗粒间吸力逐渐减弱,阻碍了水分进一步侵入,降低了黏土矿物结合水的概率和反应速率。

参考文献 (37)

目录

/

返回文章
返回