-
开放科学(资源服务)标识码(OSID):

-
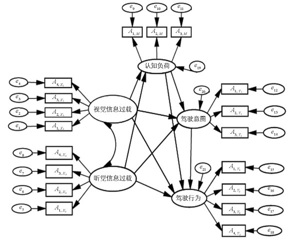
在全球汽车产业向智能化与网联化深度转型的产业背景下,智能汽车逐渐成为汽车产业发展进程中的核心战略方向。伴随社会发展和人们日益对安全高效出行需求的期待,为了适应当前市场环境的不断变化与消费者的多样化驾驶体验需求,车载信息系统(in-vehicle information system,IVIS)行业沿着功能多元化、驾驶体验精细化、商业模式创新化的方向不断推进[1]。IVIS凭借其导航、安全警示等优势功能,一定程度上提升了驾驶者的驾驶体验,保障了驾驶过程的便利与安全[2]。但随着该系统的不断更新迭代,功能日趋复杂,间接引发了驾驶者面对多源信息流的信息处理过载问题[3]。值得注意的是,驾驶场景中出现的信息过载与注意力分散现象易引发负面影响,这无异于增加了道路交通事故的发生风险[4]。目前针对其引发的多模态信息过载机制,相关研究略显不足[5]。此外,当前研究多关注IVIS的功能创新[6],容易导致开发者忽视基于认知链式效应的动态优化策略[7],最终所提出的适配方案往往缺乏针对性。基于此,本研究采用此前已被证实稳健可靠的刺激-有机体-反应(stimulus-organism-response,SOR)模型为分析框架,深入挖掘信息过载对驾驶行为的动态影响机制,为优化界面分级策略、降低认知风险、提升人机交互可靠性提供理论参考。同时,本研究构建了针对视觉与听觉过载、认知负荷、行为意愿及实际驾驶行为的理论框架,将驾驶信息需求变量纳入其中,旨在发现并验证多模态信息过载的认知链式效应,并明确个体差异化的干预路径(图 1)。
综上,结合当前研究不足,本研究拟提出具体研究目的:①揭示视觉与听觉过载通过认知负荷影响驾驶意愿的差异化作用路径;②分析认知负荷在整体理论框架路径中发挥的作用;③验证行为意愿向实际驾驶行为转化过程中驾驶信息需求的调节效应;④给出更具针对性的IVIS动态适配策略,为降低驾驶认知风险提供实证支撑。
全文HTML
-
当前针对驾驶行为的分析研究已较为深入,但针对驾驶人情绪反应动态过程之类的研究仍略显不足。为探究上述理论路径,通过与多种理论模型反复对比,本研究最终选取刺激-有机体-反应(SOR)模型来作为核心研究框架,它是心理学领域的一个经典理论模型,其核心假设是将外部环境刺激作用于个体内部心理状态,进而对行为反应进行调控[8]。该模型最初起源于刺激-反应(S-R)范式,其核心假设为外部刺激可直接驱动个体来产生相应的行为反应。SOR模型已被证实在驾驶场景中具备较强的解释力,它的优点在于支持研究者根据研究需求纳入新的刺激变量与情绪反应要素[9]。依据《中华人民共和国道路交通安全法》及驾驶行为领域相关学术界定,认知负荷、驾驶意图与驾驶行为均属涵盖多元维度的中性概念。为精准聚焦多模态信息过载引发驾驶安全风险这一核心主题,现明确三者在本研究的特定内涵:不安全驾驶意图指驾驶员明知自身行为存在道路安全风险,仍主动实施或放任该风险发生的主观心理倾向;危险驾驶行为则是不安全驾驶意图的外在表现,特指驾驶员违反道路交通安全法规、足以引发交通事故的操作行为,包括注意力分散导致的操作延迟、违规变道等;认知超载作为认知负荷理论中的核心概念,指完成驾驶任务所需的认知资源总量超出驾驶人工作记忆容量上限,导致驾驶人信息加工效率与问题解决能力下降。所以,本研究将IVIS的视觉、听觉信息过载界定为外部刺激,将驾驶人认知负荷设定为有机体内部状态,将驾驶人的驾驶意愿定义为行为反应。如计划行为理论(Theory of Planned Behavior,TPB)已证实,行为意愿是驱动个体行为的核心决定因素[10],此前研究也通常将行为意愿设定为SOR模型的反应终点(R)。这就使得后续的诸多学者将行为意愿直接视为实际行为的有效代理。然而,行为意愿与实际行为之间的关联往往会受到诸多情境因素的制约。为了充分揭示驾驶意愿与实际驾驶行为间偏差的形成机制,本研究引入驾驶信息需求这一变量。此外,认知负荷理论提出人类的认知能力存在阈值限制[11],表现在信息过载可能引发决策失误,并降低驾驶人的情境感知能力。有研究报道,在复杂的驾驶场景下,随着驾驶人认知负荷的逐步增加,其变道操作的失误概率也会同步提高[12],这一结论亦体现出认知负荷在SOR链式作用机制中发挥的关键作用。由此,需基于驾驶人的信息需求特征动态调控车载界面,以降低驾驶者认知资源的占用水平[13]。人机交互理论则进一步强调了在智能驾驶场景下,通过多芯片封装技术支持的感知、决策、执行模块的分布式处理可大幅提升IVIS的运算能力,进而帮助实现系统的实时响应性能与运行安全性的双重呼应[14]。通过上述二者的有机聚合,为IVIS的优化提供了需求适配到意图引导再到行为干预的全链条理论支撑。
信息过载是指驾驶人暴露于过多的视觉信息(如导航、仪表信息)与听觉信息(如语音提示、环境噪音)之中[15],进而导致其认知能力超出负荷阈值。已有研究表明,不仅视觉信息过量会一定程度干扰驾驶者对关键驾驶任务的决策判断,而且听觉信息过多也会延长驾驶者的操作反应时间[5]。例如,当同时面对导航视觉信息更新和语音提示信息时,驾驶人对道路突发障碍的反应速度会明显下降[16]。起初IVIS多模态交互设计的一大愿景是辅助驾驶人作出正确决策,但随着IVIS技术迭代优化,当驾驶者处于复杂驾驶场景下,多源信息流反而会分散驾驶者的注意力。有学者发现,视觉信息的处理往往会占用超八成的情境感知资源,而听觉信息过多则会增大错误决策的概率[17]。上述提到的这种认知超负荷状态在高密度交通或恶劣天气等复杂工况下更为明显,由此而引发的交通事故风险也随之大幅上升[18]。研究发现,信息过载不仅会降低驾驶者的情境感知能力,而且易引发驾驶者焦虑情绪,进而显著增强驾驶者的不安全驾驶意图[19]。也有学者指出,高复杂度的驾驶任务,会很大程度上增加驾驶人的注视时长、转向熵以及操作时长,另外其主观与客观层面的认知压力也会同步上升[20]。当认知资源被过度占用时,驾驶人对车辆间距的误判概率会大幅增长,尤其在夜间,目前此类误判操作引发的交通事故的比例仍然很高[21]。最后值得关注的是,认知超载的影响程度可能存在明显的个体差异[22]。例如,在相同驾驶场景下,新手驾驶者往往缺乏此类信息筛选能力,更容易出现认知负荷超额,而经验丰富的驾驶人能够通过主动筛选关键信息,避免认知负荷超额。因此,为了缓解多模态信息过载引发的链式风险,就更需提出针对性的IVIS动态界面优化策略来适配驾驶人的个体差异。
然而当前驾驶行为相关研究针对个体差异的诠释存在一定局限,且调节变量多集中于性别、驾龄这一类静态人口学特征[23],未能捕捉情境化需求的动态调节效应[24]。同时,驾驶信息需求常被简化为认知超载的前置诱因[25],容易忽视其在行为转化链中的高阶调节机制。此外,经典SOR框架的线性三阶范式难以兼容意图到行为转化的非线性过程[26]。通过驾驶信息需求反映个体对车载信息的需求差异会受驾驶经验、环境复杂性等情境与个体特征影响[27]。另外有研究表明,在复杂道路环境中,经验丰富的驾驶员依赖高密度信息优化路径选择,而新手因即时处理信息的能力不足,信息吸收效率明显偏低[28]。此外,在夜间或恶劣天气的驾驶情境中,信息需求会动态提升,以补偿环境感知不足[29]。然而,信息需求在意图到行为转化中的作用容易被忽视。例如,高需求驾驶员可能通过抑制冗余信息降低干扰,从而显著降低不安全行为转化率;而低需求群体则因无法区分信息优先级,导致风险行为触发概率增加。
因此,本研究通过理论创新突破上述局限。首先,将驾驶信息需求重构为情境到个体交互的动态调节变量,即通过主动信息筛选策略抑制不安全行为转化。然后,创新性地将该变量定位于意图到行为的转化阶段,后续实证确证其负向调节效应。最后,构建了信息过载(S阶段)→认知负荷(O阶段)→驾驶意图(R1)→驾驶行为(R2)的四阶链式传导架构,实现行为闭环的动态校验。此框架弥合了SOR模型在个体适应性机制中的理论裂隙,为需求-能力匹配理论提供针对驾驶场景的链式实证支持。
-
基于上述文献综述和理论模型,提出以下研究假设:
H1:视觉信息过载正向影响认知负荷超额。
H2:视觉信息过载正向影响不安全驾驶意图。
H3:听觉信息过载加剧了认知负荷超额。
H4:听觉信息过载增强了不安全驾驶意图。
H5:认知负荷正向影响驾驶意图。
H6:视觉信息过载通过认知负荷的中介作用影响驾驶意图。
H7:听觉信息过载通过认知负荷的中介作用影响驾驶意图。
H8:驾驶信息需求对不安全驾驶意图与驾驶行为之间的转化关系具有显著负向调节效应。
1.1. 理论基础
1.2. 研究假设
-
本研究采用横断面调查设计,通过线上问卷平台与线下实地访谈相结合的方式收集数据,所有参与者均匿名参与并签署知情同意书。
-
本研究目的在于深入探究电动汽车车载信息过载现象对驾驶者操控行为的潜在影响;考虑到抽样框架的缺失,研究最终选用非概率抽样方法开展样本选取工作,即采用立意抽样技术,使得样本特征与研究目标高度契合。所有参与者纳入标准如下:①持有有效驾驶证且驾龄不低于1年,旨在筛选出具备基础驾驶经验与车载系统实操能力的受试者;②过去6个月内每周使用IVIS的频率保持在3次及以上,操作方式包括使用导航和娱乐功能、查看仪表盘信息等;③驾驶车辆至少搭载两种车载信息交互界面(如中控屏、HUD),以此保证参与者熟悉多模态信息的输入模式。本调查问卷包括两个部分,第一部分是人口统计学特征,涵盖性别、年龄、驾龄、IVIS使用频率及车内屏幕信息关注偏好等内容;第二部分是核心研究变量的正式问卷。本次调研于2024年9—11月开展,采用线上与线下相结合的混合调研方式。最终共获得有效问卷438份,具体样本分布见表 1。
-
本次调查中所采用的构念均来源于之前经过验证的、已建立的量表。同时为了确保问卷条目的有效性,根据研究背景对内容进行了适应性修改且所有构念均采用反射性方式使用5点Likert量表进行测量。受篇幅限制,研究变量的具体题项未在文中全部列出,题项数量及示例条目见表 2。其中,视觉信息过载改编自文献[21],驾驶信息需求改编自文献[25],听觉信息过载改编自文献[30],认知负荷改编自文献[31],驾驶意图改编自文献[32],驾驶行为改编自文献[33]。
-
为了更加透彻地检验各变量间的潜在关联与路径效应,本研究采用结构方程模型(SEM)进行数据的分析和验证。SEM作为研究社会科学领域的主流方法,通过其可视化的路径分析来实现多变量间统计关系的分析与验证。SEM的分析框架可对复杂模型予以有效简化,在解析潜在关联机制方面的作用尤为突出,而这一过程的成功实现则需要完成路径系数的计算和测量模型的构建两部分内容[34]。鉴于此,本研究采用SPSS软件与AMOS软件共同完成数据系统性分析过程。数据分析步骤如下:第一步,通过验证性因子分析完成对研究模型的初步适配性分析;第二步,计算卡方自由度比(χ2/df)、根均方误差近似值(RMSEA)、残差均方和(RMR)、拟合优度指数(GFI)、规范拟合指数(NFI)、塔克-刘易斯指数(TLI)、比较拟合指数(CFI)等相关拟合优度指标,以此综合评价整体模型的拟合效果;第三步,在AMOS软件中构建并运行SEM,分别对变量间的直接效应与中介效应进行详细验证;与此同时,利用SPSS软件的Process程序,开展针对调节效应的检验过程。
2.1. 样本与数据收集
2.2. 构念测量
2.3. 数据分析
-
本节将统一用到构念缩写:Y1(驾驶意图),Y2(驾驶行为),X1(视觉信息过载),X2(听觉信息过载),M(认知负荷),U(驾驶信息需求)。
-
由于本研究数据采集依赖单一方法,可能存在共同方法偏差,所以通过哈曼单因素检验来解决这一问题[35]。数据分析结果显示,参与者观测变量的方差解释率未超过50%。这一结果表明,共同方法偏差并非本研究需要重点考量的系统性问题。
-
本研究采用克朗巴赫α系数(Cronbach's α)和组合信度(CR)作为衡量测量模型信度的核心评判依据。结果显示,各变量的克朗巴赫α系数与组合信度(CR)值均高于0.7的临界标准,这表明本研究测量模型具备良好的信度水平。另外,本研究各测量指标的平均方差提取值(AVE)均高于0.5的临界值,这表明所构建的测量模型同样具备良好的聚合效度。对各构念的判别效度检验结果显示,所有构念的AVE值平方根均大于构念间的相关系数,这为模型判别效度的有效性提供了强力支撑(图 2)。综上,本研究所采用的测量模型具有良好的数据拟合度、较高的信度,同时具备优良的聚合效度与判别效度。
-
使用AMOS软件对结构方程模型和模型拟合指数进行了检验。具体研究结果如下,模型的拟合指标(χ2/df=2.927;GFI=0.951;RMSEA=0.071;RMR=0.047;CFI=0.970;NFI=0.956;TLI=0.962)表明数据拟合度满足要求。即上述所有指标均符合模型拟合标准,说明模型拟合效果良好。本研究使用AMOS软件对结构方程模型进行通径分析,结果见表 3。X1、X2对M均有正向影响,系数分别为0.488和0.272。此外,它们对Y1也有正向影响,系数分别为0.266和0.251。因此,统计数据支持假设H1、H2、H3和H4。另外,M对Y1有显著影响,系数为0.244,这支持了假设H5。
为了检验M的中介作用,借助AMOS软件开展自抽样分析(子样本量为5 000)。结果表明,M分别在X1、X2影响Y1的过程中承担中介角色(表 4)。因此,假设H6和H7得到支持。通过对变量间传导路径的深入探究,并提高模型对研究问题的解释力度,本研究还进行了额外的串行中介效应分析。修订后的模型(图 3)仍然满足结构方程模型的规范要求。
运行修订后的模型产生的详细分析结果如表 5所示。可以看出,X1→M→Y1→Y2与X2→M→Y1→Y2两条路径的串行中介效应仍具有统计显著性,对应的效应值分别为0.051与0.024。最后一步就是针对模型中的调节效应展开校验。借助的是SPSS软件的Process程序,采用5 000个子样本的自抽样方法和文献[36]提出的调节效应检验三步法检验U的调节效应。分层回归分析结果如表 6所示。模型1中,Y1显著正向预测Y2(β=0.621,p<0.001);模型2加入U后,模型解释力提升(ΔR2=0.041,p<0.001),且U显著负向预测Y2(β=-0.237,p<0.001);模型3加入交互项U×Y1后,交互项系数显著为负(β=-0.137,p<0.001),模型解释力进一步提升(ΔR2=0.023,p<0.001),表明U对Y1与Y2的关系具有显著负向调节作用。图 4所绘的斜率图可以直观看出,在低U情境下,Y1对Y2的正向影响更强;而在高U情境下,该正向影响被明显削弱。这一结果正好验证了高U能够有效缓冲Y1对Y2风险的促进作用,这充分表明U对Y1与Y2之间的关系存在负向调节效应,假设H8获得实证支持。
3.1. 常用方法方差
3.2. 测量模型
3.3. 假设检验
-
本研究基于SOR模型验证了车载信息过载对驾驶行为的动态影响机制,假设H1-H7均得到支持(p<0.001),表明模型在复杂驾驶场景中具有解释效力。H8的效应分析进一步证实驾驶信息需求在驾驶意图→行为转化中的调节作用,这一结果为理论扩展提供了一定的实证支持。
本研究揭示了多模态信息过载对驾驶行为的作用机制及干预路径。首先,视觉与听觉信息过载均显著提升认知负荷并正向预测不安全驾驶意图,其中视觉通道影响强度较听觉高0.216(p<0.01)。这一差异源于驾驶任务中视觉信息处理的主导性。持续的道路监控需求使视觉干扰更易引发注意力资源竞争。建议IVIS应建立动态视觉优先级管理机制,智能座舱阶段的IVIS需通过多屏联动来实现功能场景化,例如通过路况复杂度识别自动过滤非关键HUD信息[37]。
其次,认知负荷在信息过载与不安全驾驶意图间呈现部分中介效应,这一结果同样验证了关于认知资源耗竭引发决策简化的机制。研究发现,高认知负荷会通过降低对行人或信号灯等的相关情境感知能力间接提升事故风险,且其负面影响具有累积特性。串行中介模型进一步揭示了信息过载(S阶段)→认知负荷(O阶段)→驾驶意图(R1)→驾驶行为(R2)的链式传导路径,完整映射了扩展SOR理论框架中刺激-有机体-反应的动态转化过程。该结果量化证明了认知负荷超额对驾驶安全的多层次作用。既能直接削弱决策效率,又通过意图到行为转化机制放大风险。因此,未来IVIS优化需超越减少信息量的单一思路,探索认知资源动态适配技术。
最后需要提到的一点,在复杂驾驶环境下,即使是程度微弱的调节效应,也可能通过累积作用对驾驶安全性产生影响[38]。从表 6数据分析结果可以看出,驾驶信息需求在驾驶意图与驾驶行为的关联中起到显著的负向调节作用,其产生的标准化调节系数β=-0.137。通过本研究的这一新颖设计,一定程度上弥补了传统SOR模型在个体适应性机制研究领域的空白,同时为需求-能力匹配理论提供了一定程度的实证支持。研究表明,对于信息需求程度较高的驾驶员而言,其信息筛选与整合能力通常更强,能在复杂驾驶环境下主动筛除冗余信息,从而实现对不安全意图向危险驾驶行为转化的有效抑制。本研究结论对个性化IVIS的设计同样具有重要启示意义,例如,系统可依据驾驶员的经验水平自动调节信息呈现的密度。
驾驶信息需求的调节效应凸显了个体适应性是影响安全决策的核心要素。具体而言,即在信息过载程度一致的情况下,高信息需求驾驶员可通过主动调控的方式降低行为风险,这也与文献[39]提出的有限认知资源优化理论保持一致。但低信息需求驾驶员由于信息处理能力不足,更倾向于依赖系统辅助,为了更好地适配不同需求的驾驶员,这就要求后续的IVIS优化需注重引导与干预的双重功效[40]。
-
本研究通过新颖性地将驾驶信息需求这一要素整合至SOR分析框架中,系统阐明了多模态信息过载下差异化的认知传导路径与行为转化机制,为IVIS的迭代优化提供了一定的理论支持:首先,通过将SOR模型拓展应用到动态驾驶场景中,有效校验了该模型在复杂人机交互场景下的解释力度;其次,量化分析出了多模态信息过载的潜在路径,分析出视觉信息过载占据主导性影响,并以此构建出了感知到认知再到行为的研究框架,加深了当前多模态交互领域的理论研究;最后,提出需求-能力匹配的调节机制,引入驾驶信息需求这一变量,并实证检验其对不安全驾驶意图到危险驾驶行为转化的负向调节作用,为个性化IVIS优化设计奠定了理论基础。另外借助刺激分化-中介链式-需求调节模型的构建,突破了当前驾驶行为单一效应分析的研究局限,迈向更加复杂的动态交互关系,进而为人机协同模式的创新优化提供了一定的理论支持。
本研究为IVIS开发者与整车制造商各自提供了可行的优化路径。对IVIS开发者而言,可根据本研究结论,针对视觉信息过载的主导性影响构建动态分级显示机制。该机制应融合路况复杂度、驾驶阶段及眼动数据,通过熵权算法实时计算信息优先级权重,实施分层输出策略。如碰撞预警这类安全关键信息则采用全屏强视觉提示,变道指引这类导航辅助信息则压缩为HUD微型图标,其他如娱乐通知这类非必要信息则延迟至低速场景进行推送。该方案通过自适应分级大幅度提升信息处理效率,较此前特斯拉V11系统的固定优先级模式更具场景适应性。
对整车制造商而言,同样可以根据本结论,基于驾驶信息需求的调节效应开发出一套针对性较强的生物反馈式通道管理系统。其通过实时监测驾驶员的注视时长或心率变化性这一类认知状态指标,该系统自动触发多模态转换。当发生认知负荷超额时,将文本信息转为语音播报以缓解视觉负荷,并针对不同需求用户提供个性化配置接口。相较于宝马Dee概念车的统一信息屏蔽策略,此需求分层设计或许能更精准平衡信息供给与认知能力,有效降低驾驶员的决策风险。
-
本研究存在以下局限:样本集中于电动汽车高频用户,对老年驾驶员这一类低频群体以及跨文化样本的代表性不足;横断面数据可能难以反映瞬时认知负荷变化;驾驶信息需求的测量未涵盖其全部方面,可能会削弱调节效应解释力。未来研究可从以下方面深化:其一,扩展样本多样性,纳入传统车辆驾驶员及多国群体,结合驾驶模拟器与生理传感器追踪动态认知负荷;其二,构建多维度个体差异模型,整合驾驶风格、人格特质等变量,探索环境因素与信息需求的交互效应;其三,尝试开发出基于人工智能的认知负荷实时预测技术,推动智能系统与驾驶员认知能力的动态适配。
下载: