-
开放科学(资源服务)标识码(OSID):

-
四川是我国西部地区粮食主产省份,其水稻种植面积和总产量分别约占粮食作物的29%和43%[1-2]。然而,四川盆地是典型的弱光稻区,具有多阴雨、寡光照的环境特点[3-4]。弱光是制约区域水稻产量进一步提高的重要环境因素之一[5-6]。因此,在明确弱光胁迫对水稻的影响机制的基础上,进一步构建弱光稻区的高产栽培技术具有重要意义。水稻产量的形成过程实际上就是干物质的积累转运过程,提高水稻干物质积累速率,协调营养器官储藏物质的转运再利用,是提高水稻产量的有效途径[7]。弱光胁迫下,水稻比叶质量、净光合速率和CO2同化速率均呈降低趋势,导致叶片光合生产能力下降,干物质积累量减少,同化物分配紊乱,最终使水稻因结实率、千粒质量等的降低而大幅减产[8-11]。施肥是水稻高产栽培的重要一环,合理的肥料运筹可提高水稻的光合作用,增强抗逆性,从而提高水稻产量[12-14]。钾是植物所必需的三大营养元素之一,与植物对逆境胁迫的耐受性和生存能力密切相关[15-16],显著影响水稻的干物质积累与产量[17-18]。合理的钾肥运筹可显著增加水稻的叶片生物量、叶面积指数和叶绿素含量,增强对光能的截获和利用,促进干物质的合成积累以及向生殖器官的转运,最终显著提高籽粒产量[19-21]。目前,尚无关于弱光胁迫下钾肥运筹对水稻的干物质积累、分配和转运特性影响的系统研究,本研究拟通过大田遮阴试验,探究不同光照条件下钾肥运筹对水稻干物质积累、分配和转运特性的影响及其与水稻产量的关系,以期为弱光稻区钾肥运筹技术的改良提供理论和实践依据。
全文HTML
-
试验于2021年和2022年在四川省成都市温江区公平街道四川农业大学惠和农场(30°43′N,103°52′E)进行。两年试验田土壤基础肥力和水稻季气象条件见表 1。供试品种为三系杂交籼稻F优498,该品种由四川农业大学水稻研究所、江油市川江水稻研究所和湖南川农高科种业有限公司用F32B和蜀恢498组配而成。钾肥(氯化钾)由中化化肥有限公司生产,K2O含量60%。
-
两年均采用两因素裂区试验设计。主区因素为不同光照处理,分为自然光照(CK)和遮50%光强(SH)2个处理组;副区因素为不同钾肥运筹处理,分为不施钾对照(K0-0)、基钾单施(K90-0,90 kg/hm2K2O作基肥一次施用)、穗钾单施(K0-90,90 kg/hm2K2O作穗肥一次施用)、基穗全施(K90-90,基肥和穗肥分别施用90 kg/hm2 K2O)4个处理组。共8个处理,每处理3次重复。参照文献[22]的方法,于抽穗前在高约2.0 m的钢架上挂孔径为0.50 mm的白色棉纱布1层遮阴(约50%遮光率),持续至成熟期。小区面积为30 m2,各小区四周起宽25 cm、高30 cm的田埂,后用薄膜包埂,防止串水串肥。两年均于4月底育秧,秧龄30 d时人工移栽,双本植,行穴距33.3 cm×20.0 cm。各处理均按180 kg/hm2 N和90 kg/hm2 P2O5施用氮磷肥。氮肥按基蘖肥和穗肥6∶4的比例施用,基蘖肥按基肥和分蘖肥7∶3的比例施用,穗肥按促花肥和保花肥6∶4的比例施用;磷肥作基肥一次性施用。病虫害防治和水分管理同当地高产栽培技术。
-
分别在抽穗前、抽穗后20 d和成熟期于各小区按平均茎蘖法取样3穴,样品按叶片、茎鞘及穗进行分装,105 ℃下杀青1 h,75 ℃烘至恒质量后称重,计算干物质积累、分配及转运的相关指标[23-25]:
式中:DMA表示干物质积累量(kg·hm-2),T1和T2表示相邻两个生育时期的干物质量;GR表示生长速率(kg·hm-2·d-1);DRDM表示各器官干物质分配比例(%),To和Ts分别表示器官干物质量和植株干物质量;DMRA表示干物质转运量,Th和Tm分别表示抽穗前茎鞘(叶)干物质量和成熟期茎鞘(叶)干物质量;DMRR表示干物质转运率;CRRDM表示转运贡献率,Tg表示成熟期籽粒干物质量。
-
运用Microsoft Excel 2021录入处理数据,用SPSS 25.0软件进行方差分析,用OriginPro 2023作图。
1.1. 试验地点与材料
1.2. 试验设计
1.3. 测定项目与方法
1.4. 数据处理与分析
-
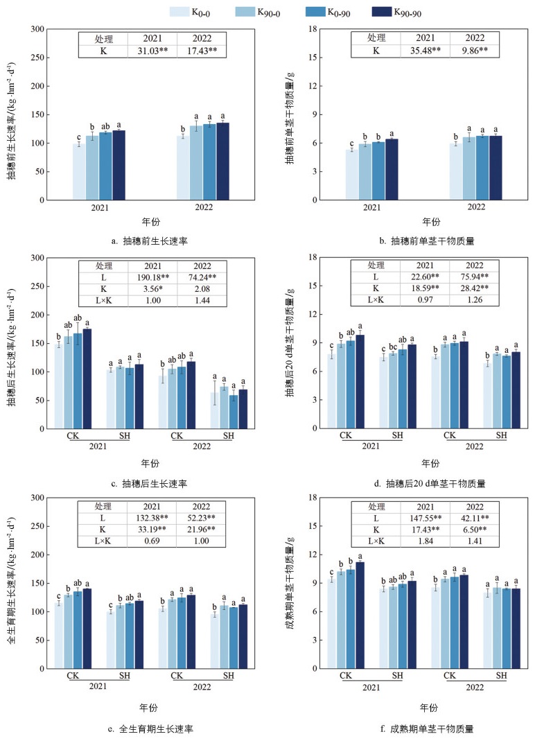
图 1表明,光照处理和钾肥运筹(除2022年抽穗后水稻生长速率外)显著或极显著影响各时期水稻的生长速率和单茎干物质量。较CK处理,SH处理显著降低了水稻抽穗后和全生育期的生长速率,导致抽穗后20 d和成熟期单茎干物质量分别显著降低了9.6%~14.9%和6.5%~17.4%。较K0-0处理,除2022年SH处理下K0-90外,钾肥运筹有效提高了两年水稻各生育阶段的生长速率,进而使抽穗前、抽穗后20 d和成熟期单茎干物质量分别增加了10.8%~21.1%、6.1%~26.3%和5.3%~18.6%。较K90-0和K0-90处理,除2022年SH处理外,K90-90处理提高了抽穗前和抽穗后水稻的生长速率,进而使全生育期生长速率提高了1.3%~8.3%。这最终使抽穗前、抽穗后20 d和成熟期(除2022年SH处理外)单茎干物质量较K90-0和K0-90处理分别提高了2.0%~9.3%、1.7%~11.5%和2.0%~9.2%。整体来看,SH处理降低了水稻的生长速率和单茎干物质量,而钾肥可促进各生育阶段水稻干物质的积累。
-
由图 2可知,光照处理(除两年抽穗后20 d叶片和2022年成熟期茎鞘外)和钾肥运筹(除2022年抽穗前穗部外)显著或极显著影响水稻各器官和植株干物质量,二者互作仅显著影响2021年成熟期叶片干物质量。较CK处理,除2022年成熟期茎鞘干物质量外,SH处理显著降低了抽穗后20 d和成熟期水稻叶片、茎鞘和穗部的干物质量,进而导致2021年和2022年成熟期水稻植株干物质量分别显著降低了13.2%~15.3%和8.8%~13.7%。与K0-0处理相比,钾肥运筹有效提高了各时期水稻各器官干物质量,使抽穗前、抽穗后20 d和成熟期穗部干物质量分别显著增加7.7%~19.5%、16.2%~39.9%和8.4%~28.0%,植株干物质量显著增加了14.6%~24.1%、14.4%~31.2%和11.2%~22.4%。较K90-0和K0-90处理,K90-90处理可有效提高各时期水稻叶片、茎鞘和穗部的干物质量,进而使2021年和2022年成熟期植株群体干物质量分别增加了3.0%~8.3%和1.3%~6.2%。较K90-0处理,除2022年抽穗后20 d和成熟期外,K0-90处理下各时期干物质量均呈增加趋势。综上可知,SH处理阻碍了植株和各器官的干物质积累,而钾肥运筹,特别是K0-90处理可有效提高不同光照条件下水稻的干物质量。
-
随生育进程的推进,水稻叶片和茎鞘的干物质分配比例逐渐降低,穗部的干物质分配比例则呈上升趋势,且抽穗前到抽穗后20 d的上升幅度明显大于抽穗后20 d到成熟期(图 3)。相较于CK处理,SH处理提高了抽穗后20 d两年茎鞘和2022年叶片,以及成熟期两年叶片和2022年茎鞘的干物质分配比例,使抽穗后20 d和成熟期穗部干物质分配比例分别降低了0.3%~6.4%和4.2%~8.1%。钾肥运筹导致各器官干物质分配比例明显变化,但时期间存在差异。抽穗前,钾肥运筹提高了叶片干物质分配比例,但降低了穗部干物质分配比例。抽穗后20 d,钾肥运筹则降低了2021年不同光照条件下茎鞘的干物质分配比例,使穗部干物质分配比例提高了0.7%~4.8%;2022年则呈相反趋势,钾肥运筹提高了叶片(除CK处理下K90-90外)和茎鞘(除SH处理下K0-90外)的干物质分配比例,使穗部干物质分配比例降低了0.5%~3.5%。成熟期,除2021年SH处理下K90-0和K90-90外,钾肥运筹可降低茎鞘干物质分配比例,有效提高穗部干物质分配比例。整体来看,SH处理导致各时期叶片和茎鞘干物质分配比例增多,而穗部干物质分配比例减少,钾肥运筹则可提高成熟期穗部干物质分配比例。
-
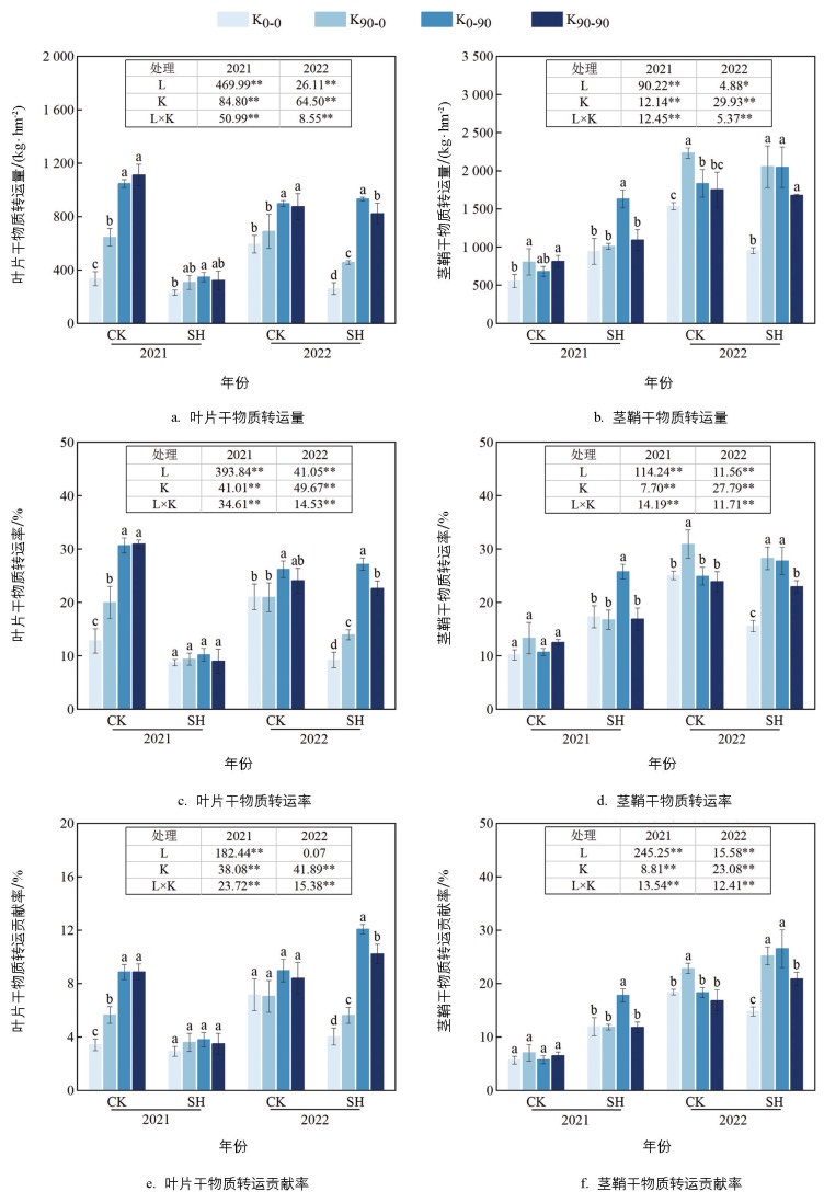
如图 4所示,水稻叶片和茎鞘干物质转运量、转运率以及转运贡献率受光照处理(除2022年叶片干物质转运贡献率外)、钾肥运筹及二者互作的显著或极显著影响。2021年,较CK处理,SH处理显著降低了叶片的干物质转运量、转运率和转运贡献率,但茎鞘干物质转运量、转运率和转运贡献率则分别显著增加了25.3%~139.8%、3.4%~15.0%和4.8%~12.0%。2022年,除K0-90处理外,SH处理导致叶片和茎鞘干物质转运量和转运率均不同程度降低;就转运贡献率而言,SH处理导致K0-0和K90-0叶片干物质转运贡献率分别降低了3.1%和1.4%,K0-90和K90-90分别增加了3.1%和1.8%,SH处理同时使茎鞘干物质转运贡献率(除K0-0外)增加了2.3%~8.3%。与K0-0相比,钾肥运筹可有效促进叶片和茎鞘储藏物质的转运再利用,使叶片干物质转运量、转运率、转运贡献率分别增加了16.4%~257.2%、0.3%~18.2%和0.6%~8.0%,茎鞘干物质转运量增加6.9%~115.6%;此外,钾肥运筹还显著增加了2022年SH处理下茎鞘的干物质转运率和转运贡献率。较K90-0,K0-90和K90-90大幅提高了两年CK处理和2022年SH处理下叶片的干物质转运量、转运率及转运贡献率。此外,较K90-0(除2022年外)和K90-90处理,K0-90处理显著提高了SH处理下茎鞘的干物质转运量、转运率及转运贡献率。综上可知,SH处理抑制了叶片干物质的转运,但增强了茎鞘干物质的转运再利用,而钾肥运筹,特别是K0-90处理可有效提升叶片和茎鞘干物质的转运再利用。
-
由上文各数据做相关性分析得出各项指标值(表 2),可知不同光照条件下水稻产量与干物质积累转运特性密切相关。不同光照条件下,水稻产量与各阶段水稻生长速率(除SH处理抽穗后20 d外)、各时期单茎和群体干物质量、叶片干物质转运量、转运率和转运贡献率,以及茎鞘干物质转运量均呈显著或极显著正相关。
2.1. 弱光胁迫下钾肥运筹对水稻干物质积累特性的影响
2.1.1. 弱光胁迫下钾肥运筹对水稻生长速率和单茎干物质量的影响
2.1.2. 弱光胁迫下钾肥运筹对水稻各器官和植株干物质量的影响
2.2. 弱光胁迫下钾肥运筹对水稻各器官干物质分配特性的影响
2.3. 弱光胁迫下钾肥运筹对水稻干物质转运特性的影响
2.4. 产量与干物质积累转运特性的相关性分析
-
水稻产量的形成实际上是干物质积累、分配与转运的综合结果[26-27],受环境条件的显著影响。近年来由于温室气体排放增加、城市化及工业化快速发展,环境污染不断加剧,导致阴雨寡照天气频发[28],弱光环境已成为制约我国西南地区水稻生产的关键环境因素之一[29]。弱光胁迫下水稻光合作用受阻,同化物合成减少,导致植株干物质积累不足、分配紊乱,最终影响水稻产量[30]。相关分析结果表明,不同光照条件下水稻产量均与各时期干物质量及叶片和茎鞘干物质转运量呈显著正相关。弱光胁迫显著降低了水稻抽穗后的生长速率,使抽穗后20 d和成熟期水稻各器官和单茎干物质量均显著下降,进而使成熟期水稻群体干物质量显著降低了8.8%~15.3%,最终导致水稻因结实率和千粒质量降低而大幅减产[31]。本研究同时发现,弱光胁迫增加了各时期叶片的干物质分配比例,但降低了穗部干物质分配比例。弱光胁迫下,水稻合成的干物质主要供给茎鞘和叶片的生长,而转运至籽粒的干物质量大幅降低以维持水稻的正常生长发育[31]。水稻产量的形成由花前营养器官储存物质的活化再利用与花后叶片光合产物向籽粒的供给共同决定 [29]。弱光胁迫下,水稻干物质生产能力显著下降,籽粒灌浆更加依靠于花前茎叶储藏物质的转运再利用[32]。进一步分析发现,弱光胁迫显著降低了叶片干物质转运量、转运率和转运贡献率(除2022年K0-90和K90-90处理外),弱光胁迫下水稻可通过降低叶片的衰老速度从而最大化利用有限的光能[33-34]。弱光胁迫同时显著提高了茎鞘干物质转运量、转运率和转运贡献率,这与文献[35-36]的研究结果一致。可见,弱光胁迫下由于叶片“源”功能的减弱,水稻主要通过增强茎鞘储藏物质的活化再利用,以降低弱光胁迫对水稻产量的不利影响[37]。
-
钾是维持水稻正常生长发育所需的重要元素之一,参与许多作物基本生理过程,在提高作物的抗逆性和产量过程中发挥着重要作用[38-39]。合理的钾肥运筹可有效提高植株的叶面积和叶绿素含量,促进光合电子的吸收与传递,从而提高植株对光能的捕获、吸收和利用,增强叶片的强光合生产能力,促进干物质的积累和产量的形成[40-41]。本研究结果表明,不同光照条件下钾肥运筹能显著提升水稻各生育阶段的生长速率,促进各器官干物质的积累,从而使成熟期群体干物质量显著增加11.2%~22.4%。钾肥运筹同时可提高水稻的抗性,调节植株体内同化物运输与利用间的平衡状态[42]。较不施钾肥处理,钾肥运筹可有效促进叶片和茎鞘储藏物质的转运再利用,从而提高成熟期穗部干物质量。钾肥运筹通过增强K+在植物体内的介导作用以调节光合产物向籽粒的运转,从而影响作物产量[43-44]。前人研究指出,钾肥施用量和施用时期对作物干物质积累以及产量影响不尽相同[45-47]。本研究中,随施钾量的增加,不同光照条件下水稻各时期群体干物质量呈增加趋势,但成熟期K0-90和K90-90处理对群体干物质量的影响的差异无统计学意义。文献[48]研究发现,植物干物质最大积累速率和干物质积累随施钾量的增加呈先增后降的趋势,当施钾量高于90 kg/hm2时,产量随施钾量的增加而下降。可见,过高的钾肥用量不利于水稻干物质的积累和产量的形成。进一步分析发现,弱光胁迫下钾肥运筹特别是K0-90处理可有效提高水稻叶片和茎鞘的干物质转运量、转运率和转运贡献率。这与文献[49]中钾肥基施效应差、重施分蘖肥和穗肥效应高的结果相似。综上可知,弱光胁迫下K0-90处理可有效提高水稻的干物质积累,并促进叶片和茎鞘干物质的转运利用,从而缓解弱光对水稻的不利影响。
-
弱光胁迫显著降低了水稻的生长速率和干物质积累,抑制了叶片干物质的转运,导致穗部干物质量显著降低。钾肥运筹则可提高水稻的生长速率和干物质积累量,促进叶片以及茎鞘的干物质转运再利用,进而增加成熟期穗部干物质分配比例,使成熟期穗部干物质量显著增加。不同施钾处理间,K0-90处理可有效提高弱光胁迫下叶片和茎鞘干物质转运量、转运率和转运贡献率,降低弱光胁迫对水稻产量的不利影响。
下载: